An Experiment Study on the Dynamic Behavior of Concrete Used in a Mine Sealing Wall under a High Temperature
Abstract
:1. Introduction
2. Materials and Methods
2.1. Materials
2.2. SHPB Test
3. Test Results and Discussion
3.1. Failure Mode
3.1.1. Dynamic Splitting Test
3.1.2. Dynamic Compressive Test
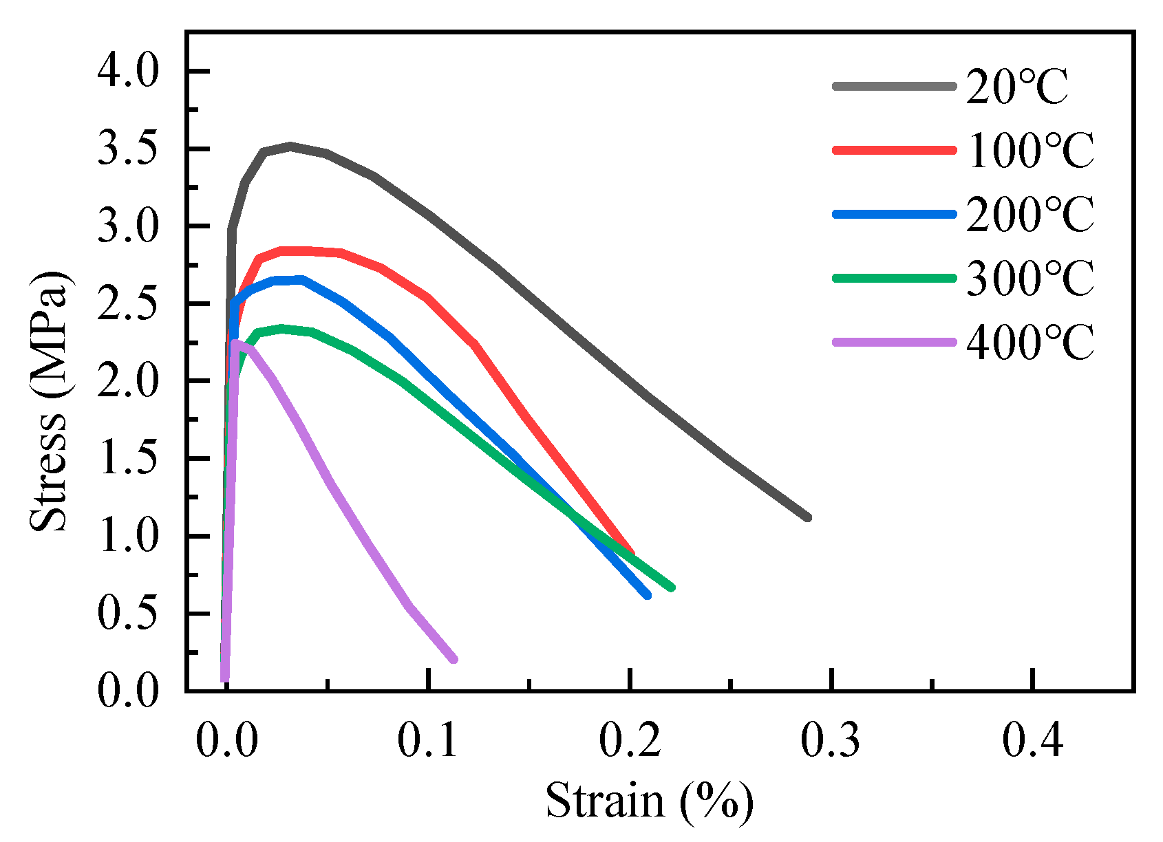
3.2. Dynamic Stress–Strain Characteristics
3.2.1. Dynamic Splitting Test
3.2.2. Dynamic Compressive Test
3.3. Energy Dissipation Analysis
4. Conclusions
- (1)
 - In the impact splitting test, the specimen was first slightly damaged at the loading point, and gradually extended to the core area of the specimen to form a triangular crushing zone. Finally, a penetrating crack was formed in the loading direction, and the specimen was split into two parts. In the impact compression test, the specimen was damaged from the edge and cracks appeared on the surface. The direction of the cracks was consistent with the direction of the loading. With an increase in the load, micro-cracks developed and merged, resulting in the surface block of the specimen falling off, the main crack developing in the core concrete, and the specimen presenting axial splitting failure. After the high-temperature treatment, the specimen showed brittle failure and was finally crushed into fine blocks.
 - (2)
 - In the impact splitting and impact compression tests, the specimen was in the elastic stage at the initial stage of loading, and quickly reached the peak of the dynamic strength. With an increase in the load, the strength of the specimen decreased sharply, the crack broke through quickly, and the specimen was crushed. After the action of high temperature, the free water and partially bound water inside the concrete produced water vapor pressure, which caused the concrete to be strained and produced micro-cracks and material deterioration, resulting in concrete damage. The dynamic impact resistance of the concrete decreased gradually with the temperature, the toughness of the concrete decreased significantly, and the specimens showed brittle failure in the failure stage. The next steps are to optimize the mix ratio and improve the strength of the sealing wall.
 - (3)
 - Under impact load, the concrete specimens consumed a lot of energy in the processes of crack initiation, development, penetration, and failure. At a high temperature, the cohesion and viscoelasticity of the specimens decreased due to various thermal damage changes caused by the temperature. The energy of the specimen for crack initiation development increased and the energy dissipation increased. However, the strength of the specimen decreased continuously with the increase in temperature, the absorbed energy was less under the same impact load, and the absorbed energy required for the specimen to achieve failure decreased. Finally, with the increase in the temperature, the dissipated energy generally showed a decreasing trend.
 
Author Contributions
Funding
Institutional Review Board Statement
Informed Consent Statement
Data Availability Statement
Acknowledgments
Conflicts of Interest
References
- Gao, Y.W.; Guo, Z.G.; Zhang, J.; Zheng, B.H. Present situation and prospect of research on prevention and control of thermal disasters in metal mines in China. Met. Mine 2022, 558, 196–204. [Google Scholar]
 - Zheng, Z.; Liu, R.T.; Li, S.C.; Zhang, Q.S. Numerical modeling and verification of grouting with mold bag treatment on seepage failure in foundation excavation. Geomat. Nat. Hazards Risk 2018, 9, 1172–1185. [Google Scholar] [CrossRef]
 - Zhang, D.; Wang, W.F.; Deng, J.; Wen, H.; Zhai, X. Experimental study and application of LASC foamed concrete to create airtight walls in coal mines. Adv. Mater. Sci. Eng. 2020, 2020, 6804906. [Google Scholar] [CrossRef]
 - Yi, X.; Kang, F.R.; Deng, J.; Xiang, Q.; Ma, L. Research and application on inorganic solidified foam filling material for mine. J. Saf. Sci. Technol. 2017, 13, 136–142. [Google Scholar]
 - Sun, C.D.; Feng, G.M. Technology of retaining roadway along gob by stowing with high-water-content material. J. Min. Strata Control Eng. 2010, 15, 58–61. [Google Scholar]
 - Du, Z.W.; Chen, S.J.; Ma, J.B.; Guo, Z.P.; Yin, D.W. Gob-side entry retaining involving bag filling material for support wall construction. Sustainability 2020, 12, 6353. [Google Scholar] [CrossRef]
 - Feng, G.M. Research on the Superhigh-Water Packing Material and Filling Mining Technology and Their Application. Ph.D. Thesis, China University of Mining and Technology, Xuzhou, China, 2019. [Google Scholar]
 - Yuan, Y. Research on Rapid Building Technology of Mined-Out Area Closed Wall. Master’s Thesis, Henan Polytechnic University, Jiaozuo, China, 2017. [Google Scholar]
 - Bao, X.Q.; Liu, S.; Ma, X.; Gao, L.; Shi, G.Q. Current situation and prospect of mine permanent sealing technology. Coal Sci. Technol. Mag. 2022, 43, 36–41+46. [Google Scholar]
 - Yang, S.Q.; Zhong, Y.; Xia, C.B.; Cai, J.W.; Tang, Z.Q.; Liu, J. Experiment study on fire prevention and flame retardant performances of high water backfill material. Coal Sci. Technol. 2017, 45, 78–83, 179. [Google Scholar]
 - Qing, S.G.; Qin, W.G.; Ding, P.X.; Wang, Y.M. Model and simulation analysis of fire development and gas flowing influenced by fire zone sealing in coal mine. Process Saf. Environ. Protect. 2021, 149, 631–642. [Google Scholar]
 - Zhang, J. Numerical simulation of stress state and stability of closed seal under explosion load. China Min. Mag. 2021, 30, 121–128. [Google Scholar]
 - Cheng, J.W.; Zhang, X.X. Damage assessment of mine seal under blast impact load. China Saf. Sci. J. 2021, 31, 132–137. [Google Scholar]
 - Liu, F.X. Simulation and Experimental analysis of anti-explosion impact pressure of closed wall in coal mine. Saf. Coal Mines 2019, 50, 18–21. [Google Scholar]
 - Bi, J.; Liu, P.F.; Gan, F. Effects of the cooling treatment on the dynamic behavior of ordinary concrete exposed to high temperature. Constr. Build. Mater. 2020, 248, 118688. [Google Scholar] [CrossRef]
 - Liu, W.; Mu, C.M.; Liu, J.; Cai, T.Y. Study on static and dynamic mechanical properties of steel fiber self-compacting concrete after heating in a high-temperature. J. Build. Eng. 2023, 73, 106790. [Google Scholar] [CrossRef]
 - Xiao, J.Z.; Li, Z.W.; Xie, Q.H.; Shen, L.M. Effect of strain rate on compressive behaviour of high-strength concrete after exposure to elevated temperatures. Fire Saf. J. 2016, 83, 25–37. [Google Scholar] [CrossRef]
 - Zhai, C.C.; Chen, L.; Fang, Q.; Chen, W.S.; Jiang, X.Q. Experimental study of strain rate effects on normal weight concrete after exposure to elevated temperature. Mater. Struct. 2017, 50, 40. [Google Scholar] [CrossRef]
 - Zhang, C.; Suo, T.; Tan, W.L.; Zhang, X.Y.; Liu, J.J.; Wang, C.X.; Liu, Y.L. An experimental method for determination of dynamic mechanical behavior of materials at high temperatures. Int. J. Impact Eng. 2017, 102, 27–35. [Google Scholar] [CrossRef]
 - Chen, C.; Chen, X.D.; Li, X.J. Dynamic compressive behavior of 10-year-old concrete cores after exposure to high temperatures. J. Mat. Civ. Eng. 2020, 32, 04020076. [Google Scholar] [CrossRef]
 - Su, H.Y.; Xu, J.Y.; Ren, W.B. Experimental study on the dynamic compressive mechanical properties of concrete at elevated temperature. Mat. Des. 2014, 56, 579–588. [Google Scholar] [CrossRef]
 - Li, H.C.; Liu, D.S.; Huang, Y.H.; Liang, S.F.; Li, M.H. Tests for time effect on concrete dynamic mechanical property under high temperature. J. Vib. Shock 2015, 34, 182–188. [Google Scholar]
 - Chen, L.; Fang, Q.; Jiang, X.Q.; Ruan, Z.; Hong, J. Combined effects of high temperature and high strain rate on normal weight concrete. Int. J. Imp. Eng. 2015, 86, 40–56. [Google Scholar] [CrossRef]
 - Yu, X.; Chen, L.; Fang, Q.; Ruan, Z.; Hong, J.; Xiang, H.B. A concrete constitutive model considering coupled effects of high temperature and high strain rate. Int. J. Imp. Eng. 2017, 101, 66–77. [Google Scholar] [CrossRef]
 - Jin, L.; Hao, H.M.; Zhang, R.B.; Du, X.L. Meso-scale simulations of dynamic compressive behavior of concrete at elevated temperature. Eng. Mech. 2019, 36, 70–78, 118. [Google Scholar]
 - Jin, L.; Hao, H.M.; Zhang, R.B.; Du, X.L. Meso-scale simulations on dynamic splitting tensile behaviors of concrete at elevated temperatures. Explos. Shock Waves 2020, 40, 54–65. [Google Scholar]
 - Li, J.Q.; Zong, Z.H.; Shan, Y.L.; Yu, D.X.; Li, M.H.; Zhao, H. Dynamic compressive behavior of concrete-filled steel tubes under single and multiple impacts. J. Constr. Steel Res. 2023, 208, 107993. [Google Scholar] [CrossRef]
 - Wang, Y.T.; Liu, D.S.; Li, S.L.; Jiang, Y.Q. Dynamic performance of concrete based on a Φ75 mm SHPB system under high temperature. J. Vib. Shock 2014, 33, 12–17. [Google Scholar]
 - Li, L.; Wang, Z.C.; Wu, J.; Du, X.L.; Wang, H.W.; Liu, W.L. Comparative study on the dynamic mechanical properties of steel fiber reinforced concrete at high temperatures and after high temperature cooling. Constr. Build. Mater. 2022, 346, 128448. [Google Scholar] [CrossRef]
 - Zhang, Z.G.; Xu, J.Y.; Su, H.Y.; Liu, Z.Q. Dynamic strength property of concrete at exposure to elevated temperature. Bull. Chin. Ceram. Soc. 2015, 34, 501–505. [Google Scholar]
 - Wu, H.S.; Shen, A.Q.; Ren, G.P.; Ma, Q.; Wang, Z. Dynamic mechanical properties of fiber-reinforced concrete: A review. Constr. Build. Mater. 2023, 366, 130145. [Google Scholar] [CrossRef]
 - Liu, J.H.; Zhou, Y.C.; Yang, H.T.; Fu, S.F.; Gu, Y. Energy and damage characteristics of shaft lining concrete subjected to impact. J. China Coal Soc. 2019, 44, 2983–2989. [Google Scholar]
 - Yang, J.H.; Li, X.Y.; Ye, Y.Q.; Wang, X.Y. Strength and energy dissipation effect of fiber reinforced all-lightweight concrete based on SHPB impact tests. J. Vib. Shock 2020, 39, 148–153+177. [Google Scholar]
 - Feng, S.W.; Zhou, Y.; Li, Q.M. Damage behavior and energy absorption characteristics of foamed concrete under dynamic load. Constr. Build. Mater. 2022, 357, 129340. [Google Scholar] [CrossRef]
 - Liu, J.; Ren, Y.Z.; Chen, R.; Wu, Y.D.; Lei, W.D. The Effect of Pore Structure on Impact Behavior of Concrete Hollow Brick, Autoclaved Aerated Concrete and Foamed Concrete. Materials 2022, 15, 4075. [Google Scholar] [CrossRef] [PubMed]
 - Chao, X.Q. Application of flexible mold inorganic filling material in rapid sealing of roadway. China Min. Mag. 2021, 30, 66–270. [Google Scholar]
 - Mohammad, R.K.; Kerstin, W. A review on split Hopkinson bar experiments on the dynamic characterisation of concrete. Constr. Build. Mater. 2018, 190, 1264–1283. [Google Scholar]
 













| Cement | Sand | Stone | Suspension Agent | Reinforcement Agent | Expansion Agent | 
|---|---|---|---|---|---|
| 350 | 600 | 1550 | 10 | 5 | 3.5 | 
Disclaimer/Publisher’s Note: The statements, opinions and data contained in all publications are solely those of the individual author(s) and contributor(s) and not of MDPI and/or the editor(s). MDPI and/or the editor(s) disclaim responsibility for any injury to people or property resulting from any ideas, methods, instructions or products referred to in the content.  | 
© 2023 by the authors. Licensee MDPI, Basel, Switzerland. This article is an open access article distributed under the terms and conditions of the Creative Commons Attribution (CC BY) license (https://creativecommons.org/licenses/by/4.0/).
Share and Cite
Wang, Q.; Luo, Z. An Experiment Study on the Dynamic Behavior of Concrete Used in a Mine Sealing Wall under a High Temperature. Appl. Sci. 2023, 13, 9339. https://doi.org/10.3390/app13169339
Wang Q, Luo Z. An Experiment Study on the Dynamic Behavior of Concrete Used in a Mine Sealing Wall under a High Temperature. Applied Sciences. 2023; 13(16):9339. https://doi.org/10.3390/app13169339
Chicago/Turabian StyleWang, Qiusha, and Zhenmin Luo. 2023. "An Experiment Study on the Dynamic Behavior of Concrete Used in a Mine Sealing Wall under a High Temperature" Applied Sciences 13, no. 16: 9339. https://doi.org/10.3390/app13169339
APA StyleWang, Q., & Luo, Z. (2023). An Experiment Study on the Dynamic Behavior of Concrete Used in a Mine Sealing Wall under a High Temperature. Applied Sciences, 13(16), 9339. https://doi.org/10.3390/app13169339
        