Numerical Simulation of Acoustic Wave Generated by DC Corona Discharge Based on the Shock Wave Theory
Abstract
1. Introduction
2. Numerical Model
2.1. Hydrodynamic Model of Corona Discharge
2.2. Explosion Shock Wave Model of Plasma
2.3. Acoustic Wave Propagation Model
2.4. Model Overview
3. Results and Discussion
3.1. Numerical Simulation of the Corona
3.2. Numerical Simulation of the Shock Wave
3.3. Numerical Simulation of the Acoustic Wave
4. Conclusions
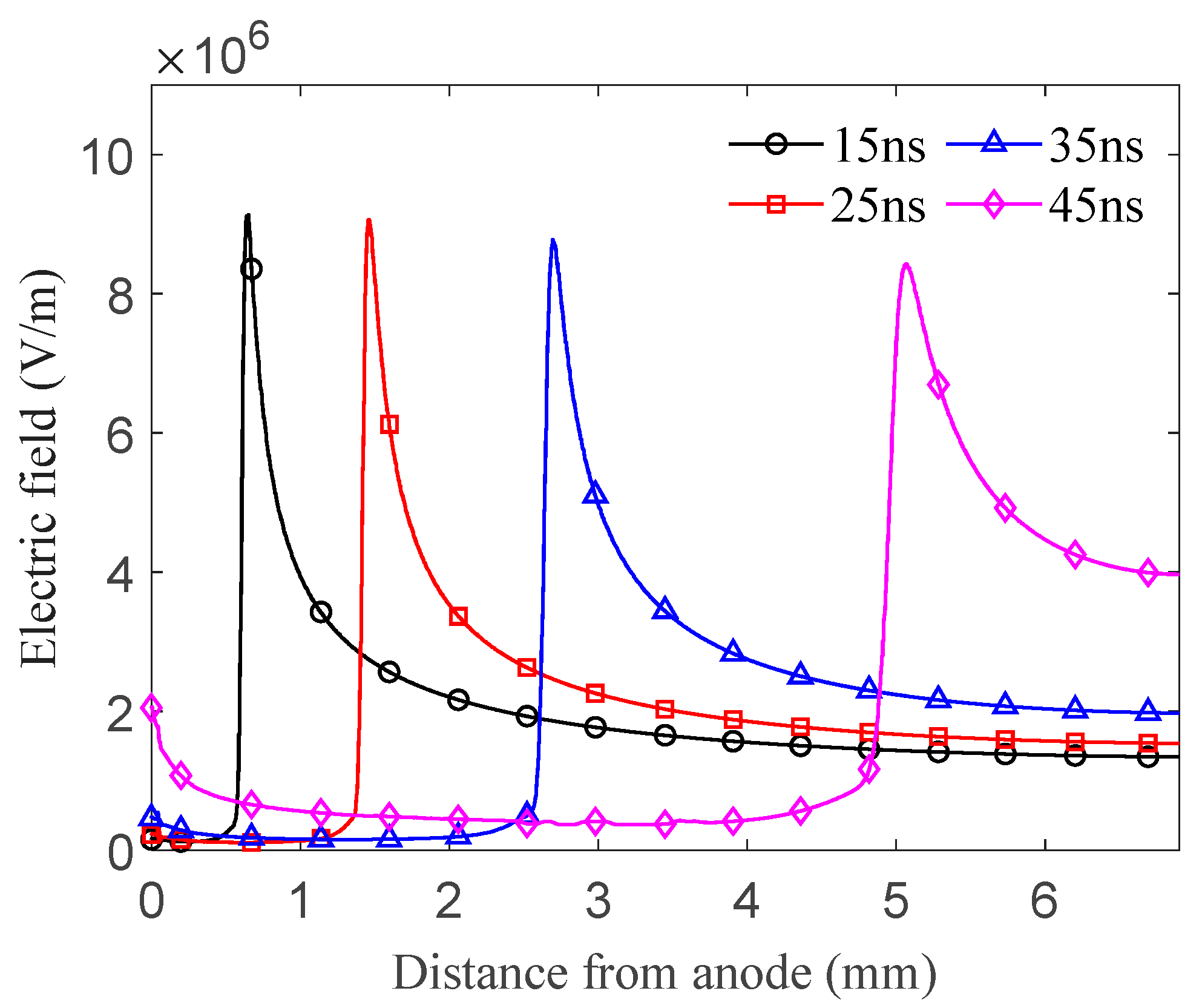
- The plasma generated by the corona is mainly distributed near the axis of the corona field, where its electric field changes violently. During the formation of the plasma channel, a large amount of positive and negative ions is accumulated inside the channel, and the space charges counteract each other; thus, the overall performance is neutral, and the electric field inside the channel is very small. The continuous ionization in front of the plasma causes the accumulation of positive ions, and the electric field in front of it reaches its maximum value;
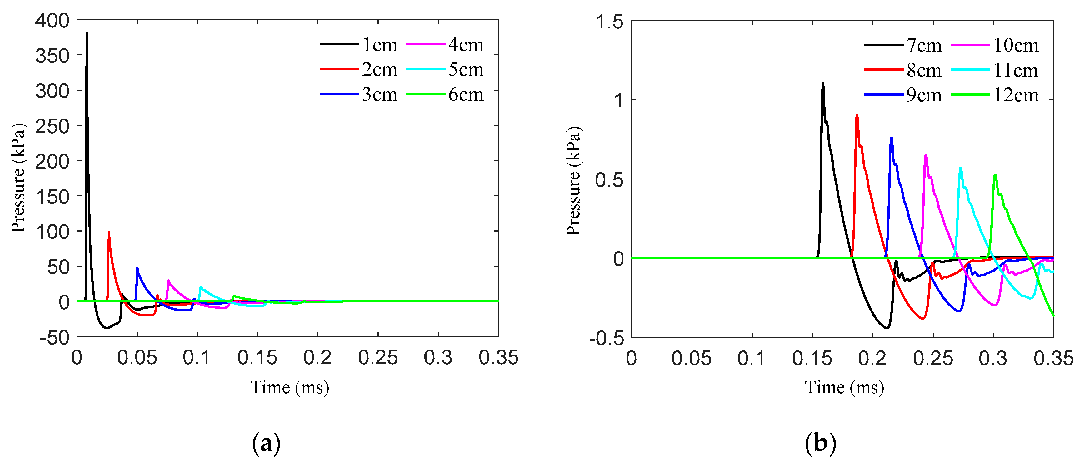
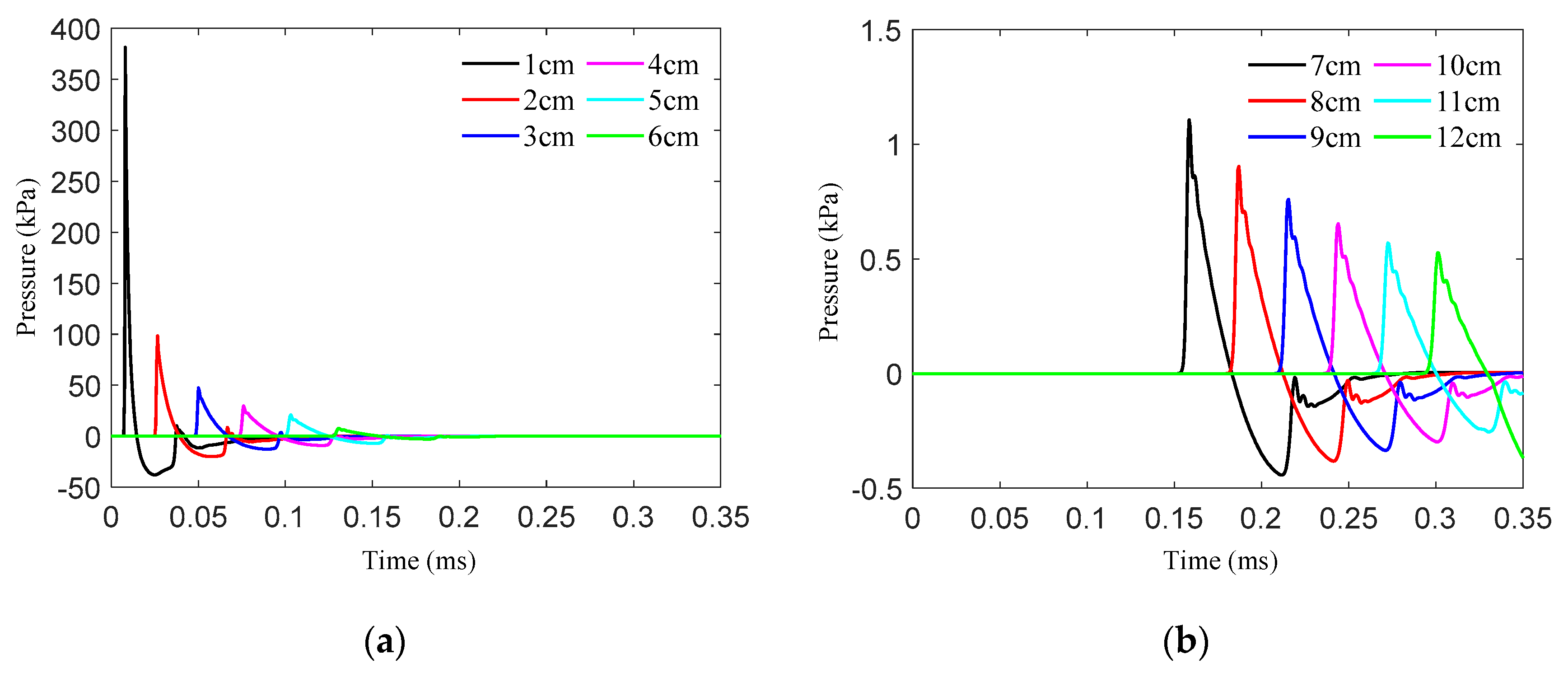
- The shock wave generated by plasma explosion propagates outward from the explosion point in the form of an arc, and there are obvious positive and negative pressure zones. The negative pressure zone is generated by excessive expansion caused by the inertia action of the shock wave, and its action time is longer than that of the positive zone. The propagation velocity decays extremely fast near the explosion point; then, it slowly decreases and decays to sound velocity at 10 cm;
- After attenuation, the shock wave pressure of the wavefront can be approximately equivalent to the sound pressure waveform. The sound wave expands outward in the form of a spherical wave, and it will be reflected when it propagates to the concrete surface. The positive peak value of the sound pressure pulse is always greater than negative, and the absolute ratio of them is between 1.3 and 1.6. After the sound pressure transforms from the expansion state of the positive half-wave to the compression state, it is affected by the viscosity of the air, and the negative half-peak value is smaller.
Author Contributions
Funding
Institutional Review Board Statement
Informed Consent Statement
Data Availability Statement
Conflicts of Interest
References
- Stracqualursi, E.; Araneo, R.; Celozzi, S. The Corona Phenomenon in Overhead Lines: Critical Overview of Most Common and Reliable Available Models. Energies 2021, 14, 6612. [Google Scholar] [CrossRef]
- Rao, H.; Zhang, D.; Zhao, X.; Guo, Q. Practice and Analyses of UHVDC Power Transmission. High Volt. Eng. 2015, 41, 2481–2488. [Google Scholar]
- Wang, Q.; Kundur, D.; Yuan, H.; Liu, Y.; Lu, J.; Ma, Z. Noise Suppression of Corona Current Measurement from HVDC Transmission Lines. IEEE Trans. Instrum. Meas. 2016, 65, 264–275. [Google Scholar]
- Zhang, H.; Wu, H.; Hu, Q.; He, G.; Shu, L. Review of Audible Noise of Overhead Transmission Lines. High Volt. Apparatus 2022, 58, 1–6. [Google Scholar]
- Si, Z.; Yang, F.; Yao, D.; Zhang, G.; Kou, X.; Gao, B.; Feng, Z. Ion Flow Field of AC and DC Parallel Lines under Different Weather Conditions. Int. J. Appl. Electromagn. Mech. 2020, 63, 217–228. [Google Scholar] [CrossRef]
- Liu, Z. Findings in Development of ±1100kV UHVDC Transmission. Proc. CSEE 2020, 40, 7782–7792. [Google Scholar]
- Li, L.; Meng, W.; Li, Q.; Wang, Y.; Zheng, X.; Wang, H. Research Progress on Audible Noise Emitted from HVDC Transmission Lines. Energies 2023, 16, 4614. [Google Scholar] [CrossRef]
- Zhang, B.; Li, Z.; He, J. A Numerical Model of Acoustic Wave Caused by a Single Positive Corona Source. Phys. Plasmas 2017, 24, 103521. [Google Scholar] [CrossRef]
- Li, X.; Cui, X.; Lu, T.; Liu, Y.; Zhang, D.; Wang, Z. The Correlation Between Audible Noise and Corona Current in Time Domain Caused by Single Positive Corona Source on the Conductor. IEEE Trans. Dielectr. Electr. Insul. 2015, 22, 1314–1320. [Google Scholar]
- Ren, C.; Wang, J.; Yan, P.; Shao, T.; Zhang, C.; Zhang, S. Experimental Study on Sound Characteristics Produced by DC Corona and Pulsed Discharges. IEEE Trans. Plasma Sci. 2016, 44, 2196–2203. [Google Scholar] [CrossRef]
- Xiao, S. Summary of Research on Audible Corona Noise in High Voltage Transmission Lines. Resour. Conserv. Environ. Prot. 2017, 74–76. [Google Scholar] [CrossRef]
- Li, X.; Cui, X.; Lu, T.; Wang, J.; Hiziroglu, H.R. Experimental Study on Spectral Characteristics of Corona-Generated Audible Noise from a DC Conductor. IEEE Trans. Plasma Sci. 2018, 46, 3690–3699. [Google Scholar] [CrossRef]
- Lu, T.; Zhang, D.; Li, X. Sound Pressure Level of the Audible Noise from Single Positive Corona Source Based on the Time Domain Measurement Results. High Volt. Eng. 2015, 41, 971–978. [Google Scholar]
- Li, X.; Cui, X.; Lu, T.; Wang, D.; Wang, Z.; Zhang, H. A Platform for Multiple DC Corona Effects Measurements and Analysis. In Proceedings of the 2015 IEEE International Instrumentation and Measurement Technology Conference (I2MTC) Proceedings, Pisa, Italy, 11–14 May 2015; pp. 181–186. [Google Scholar]
- Maruvada, P.S.; Trinh, N.G. A Semi-empirical Formula for Evaluation of Audible Noise from Line Corona. In Proceedings of the IEEE Canadian Communications and EHV Conference, Montreal, QC, Canada, 9–10 November 1972; pp. 1105–1114. [Google Scholar]
- Ingard, U. Acoustic Wave Generation and Amplification in a Plasma. Phys. Rev. 1966, 145, 41–46. [Google Scholar] [CrossRef]
- Comber, M.G.; Nigbor, R.J.; Zaffanella, L.E. Transmission Line Reference Book—345 kV and Above; Electric Power Research Institute EPRI: Palo Alto, CA, USA, 1987; pp. 267–318. [Google Scholar]
- Chizhov, M.; Eingorn, M.; Kulinskii, V. Stable Sound Wave Generation in Weakly Ionized Air Medium. East. Eur. J. Enterp. Technol. 2014, 6, 45–51. [Google Scholar]
- Nikonov, V.; Bartnikas, R.; Wertheimer, M.R. Surface Charge and Photoionization Effects in Short Air Gaps Undergoing Discharges at Atmospheric Pressure. J. Phys. D Appl. Phys. 2001, 34, 2979–2986. [Google Scholar] [CrossRef]
- Bourdon, A.; Pasko, V.P.; Liu, N.Y.; Célestin, S.; Ségur, P.; Marode, E. Efficient Models for Photoionization Produced by Non-thermal Gas Discharges in Air Based on Radiative Transfer and the Helmholtz Equations. Plasma Sources Sci. Technol. 2007, 16, 656–678. [Google Scholar] [CrossRef]
- Yin, H.; Zhang, B.; He, J.; Zhuang, C. Modeling of Trichel Pulses in the Negative Corona on a Line-to-Plane Geometry. IEEE Trans. Magn. 2014, 50, 473–476. [Google Scholar] [CrossRef]
- Morrow, R.; Sato, N. The Discharge Current Induced by the Motion of Charged Particles in Time-dependent Electric Fields; Sato’s Equation Extended. J. Phys. D Appl. Phys. 1999, 32, L20–L22. [Google Scholar] [CrossRef]
- Liu, L.; Becerra, M. An Efficient Semi-Lagrangian Algorithm for Simulation of Corona Discharges: The Position-State Separation Method. IEEE Trans. Plasma Sci. 2016, 44, 2822–2831. [Google Scholar] [CrossRef]
- Liu, L.; Becerra, M. Application of the Position-State Separation Method to Simulate Streamer Discharges in Arbitrary Geometries. IEEE Trans. Plasma Sci. 2017, 45, 594–602. [Google Scholar]
- Georghiou, G.E.; Morrow, R.; Metaxas, A.C. A Two-dimensional, Finite-element, Flux-corrected Transport Algorithm for the Solution of Gas Discharge Problems. J. Phys. D Appl. Phys. 2000, 33, 2453–2466. [Google Scholar]
- Zhao, Z.; Tao, G.; Du, C. Application Research on JWL Equation of State of Detonation Products. Chin. J. High Press. Phys. 2009, 23, 277–282. [Google Scholar]
- Bass, H.E.; Sutherland, L.C.; Zuckerwar, A.J.; Blackstock, D.T.; Hester, D.M. Atmospheric Absorption of Sound: Further Developments. J. Acoust. Soc. Am. 1995, 97, 680–683. [Google Scholar]
- ANSI S1.26-2014; American National Standard method for Calculation of the Absorption of Sound by the Atmosphere. Acoustical Society of America: New York, NY, USA, 2014.
- Liu, T. Explosive Blast Injuries; Springer: Singapore, 2023; pp. 37–61. [Google Scholar]
- Li, X.; Cui, X.; Lu, T.; Zhang, D.; Liu, Y. Time-domain Characteristics of the Audible Noise Generated by Single Corona Source Under Positive Voltage. IEEE Trans. Dielectr. Electr. Insul. 2015, 22, 870–878. [Google Scholar]


















| Boundary Conditions | Pin Electrode | Plate Electrode | Axis | Artificial Boundary 1 | Artificial Boundary 2 |
|---|---|---|---|---|---|
| Ne | |||||
| Np | |||||
| Nn | |||||
| U | Applied Voltage | 0 |
| A (MPa) | B (MPa) | R1 | R2 | ω | E0 (J/m3) | V |
|---|---|---|---|---|---|---|
| 3.74 × 105 | 3.747 × 103 | 4.15 | 0.9 | 0.35 | 3 × 109 | 1 |
| ρ0 (kg/m3) | γ | Temperature (K) | Specific Heat (J/kg.K) | e (J/kg) |
|---|---|---|---|---|
| 1.225 | 1.4 | 288.2 | 717.6 × 103 | 2.068 × 105 |
Disclaimer/Publisher’s Note: The statements, opinions and data contained in all publications are solely those of the individual author(s) and contributor(s) and not of MDPI and/or the editor(s). MDPI and/or the editor(s) disclaim responsibility for any injury to people or property resulting from any ideas, methods, instructions or products referred to in the content. |
© 2023 by the authors. Licensee MDPI, Basel, Switzerland. This article is an open access article distributed under the terms and conditions of the Creative Commons Attribution (CC BY) license (https://creativecommons.org/licenses/by/4.0/).
Share and Cite
Yang, F.; Li, L.; Li, Z.; Wang, P. Numerical Simulation of Acoustic Wave Generated by DC Corona Discharge Based on the Shock Wave Theory. Appl. Sci. 2023, 13, 9251. https://doi.org/10.3390/app13169251
Yang F, Li L, Li Z, Wang P. Numerical Simulation of Acoustic Wave Generated by DC Corona Discharge Based on the Shock Wave Theory. Applied Sciences. 2023; 13(16):9251. https://doi.org/10.3390/app13169251
Chicago/Turabian StyleYang, Fan, Liugang Li, Zhimin Li, and Pengbo Wang. 2023. "Numerical Simulation of Acoustic Wave Generated by DC Corona Discharge Based on the Shock Wave Theory" Applied Sciences 13, no. 16: 9251. https://doi.org/10.3390/app13169251
APA StyleYang, F., Li, L., Li, Z., & Wang, P. (2023). Numerical Simulation of Acoustic Wave Generated by DC Corona Discharge Based on the Shock Wave Theory. Applied Sciences, 13(16), 9251. https://doi.org/10.3390/app13169251

