Evaluation of Lens Doses among Medical Staff Involved in Nuclear Medicine: Current Eye Radiation Exposure among Nuclear-Medicine Staff
Abstract
1. Introduction
2. Materials and Methods
2.1. Dosimeters
2.2. Subjects
2.3. Data Analysis
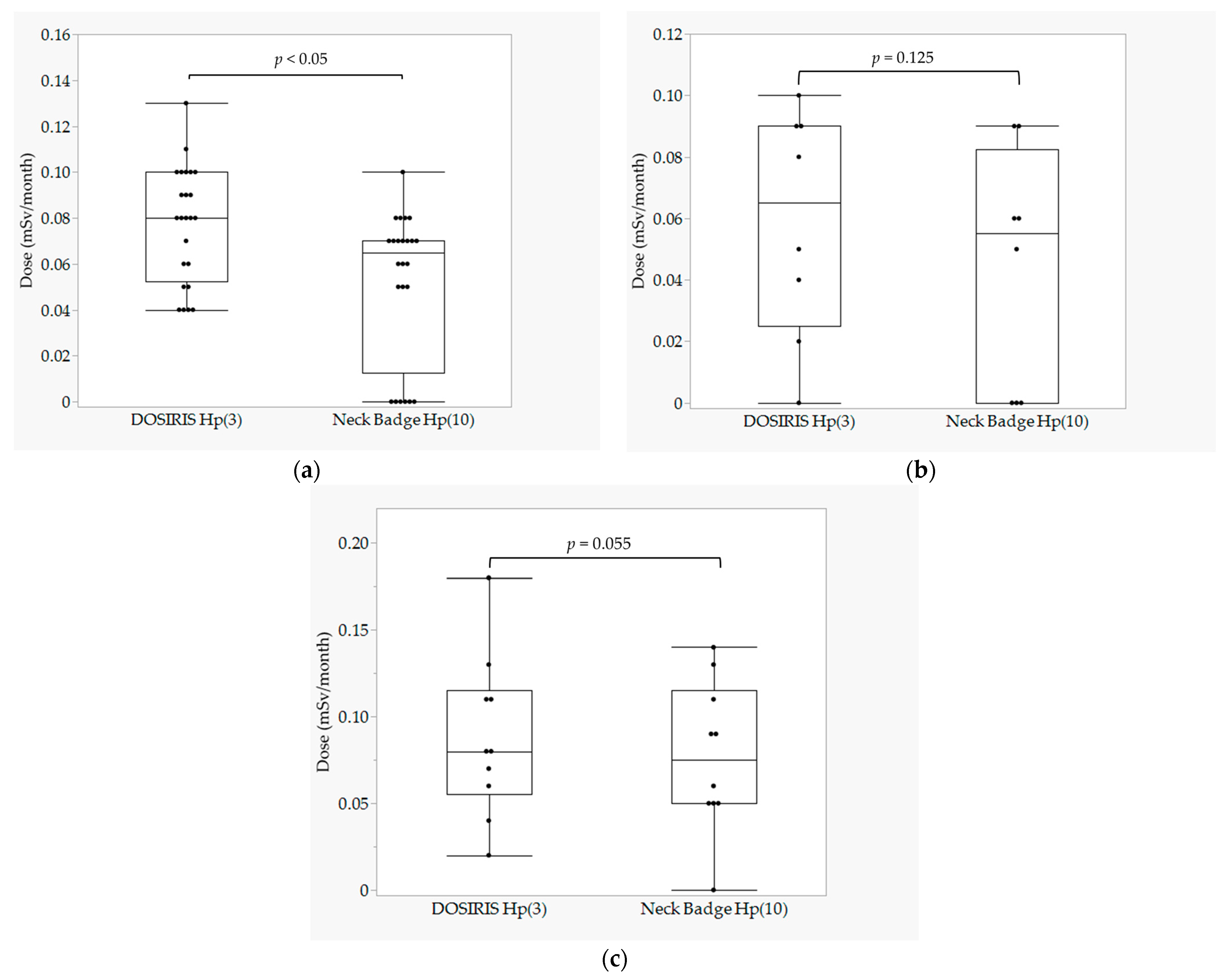
3. Results
3.1. Lens Doses for PET Nurses
3.2. Lens Doses for PET RTs
3.3. Lens Doses for RI RTs
3.4. Comparison of Dosimeter Lens Doses
3.5. Relationships of Lens Doses with the Numbers of Procedures Performed and Amounts of PET Drugs Administered to Patients
4. Discussion
5. Conclusions
Author Contributions
Funding
Institutional Review Board Statement
Informed Consent Statement
Data Availability Statement
Acknowledgments
Conflicts of Interest
References
- Chida, K. What are useful methods to reduce occupational radiation exposure among radiological medical workers, especially for interventional radiology personnel? Radiol. Phys. Technol. 2022, 15, 101–115. [Google Scholar] [CrossRef] [PubMed]
- Valentin, J. Avoidance of Radiation Injuries from Medical Interventional Procedures. ICRP Publication 85. Ann. ICRP 2000, 30, 7–67. [Google Scholar] [CrossRef] [PubMed]
- ICRP Statement on Tissue Reactions, April 2011. Available online: https://www.icrp.org/page.asp?id=123 (accessed on 29 June 2023).
- Vaes, B.; Van Keer, K.; Struelens, L.; Schoonjans, W.; Nijs, I.; Vandevenne, J.; Van Poucke, S. Eye lens dosimetry in anesthesiology: A prospective study. J. Clin. Monit. Comput. 2017, 31, 303–308. [Google Scholar] [CrossRef] [PubMed]
- Kato, M.; Chida, K.; Ishida, T.; Toyoshima, H.; Yoshida, Y.; Yoshioka, S.; Moroi, J.; Kinoshita, T. Occupational radiation exposure of the eye in neurovascular interventional physician. Radiat. Prot. Dosim. 2019, 185, 151–156. [Google Scholar] [CrossRef] [PubMed]
- Heusch, P.; Kröpil, P.; Buchbender, C.; Aissa, J.; Lanzman, R.S.; Heusner, T.A.; Ewen, K.; Antoch, G.; Fürst, G. Radiation exposure of the radiologist's eye lens during CT-guided interventions. Acta Radiol. 2014, 55, 86–90. [Google Scholar] [CrossRef]
- Otomo, K.; Inaba, Y.; Abe, K.; Onodera, M.; Suzuki, T.; Sota, M.; Haga, Y.; Suzuki, M.; Zuguchi, M.; Chida, K. Spatial Scattering Radiation to the Radiological Technologist during Medical Mobile Radiography. Bioengineering 2023, 10, 259. [Google Scholar] [CrossRef]
- Kaartinen, S.; Husso, M.; Matikka, H. Operator’s eye lens dose in computed tomography-guided interventions. Eur. Radiol. 2021, 31, 4377–4385. [Google Scholar] [CrossRef]
- Yanada, A.; Ohtomo, K.; Satou, F.; Haga, Y.; Sota, M.; Kaga, Y.; Abe, M.; Kato, S.; Inaba, Y.; Chida, K. The lens exposure of the nurse engaged in cardiovascular IVR: The dose difference by the position of the dosimeter. Jpn. J. Radiat. Saf. Manag. 2021, 20, 52–60. (In Japanese) [Google Scholar]
- Cornacchia, S.; Errico, R.; La Tegola, L.; Maldera, A.; Simeone, G.; Fusco, V.; Niccoli-Asabella, A.; Rubini, G.; Guglielmi, G. The new lens dose limit: Implication for occupational radiation protection. Radiol. Med. 2019, 124, 728–735. [Google Scholar] [CrossRef]
- Haga, Y.; Chida, K.; Kimura, Y.; Yamanda, S.; Sota, M.; Abe, M.; Kaga, Y.; Meguro, T.; Zuguchi, M. Radiation eye dose to medical staff during respiratory endoscopy under X-ray fluoroscopy. J. Radiat. Res. 2020, 61, 691–696. [Google Scholar] [CrossRef]
- Martin, C.J. Eye lens dosimetry for fluoroscopically guided clinical procedures: Practical approaches to protection and dose monitoring. Radiat. Prot. Dosim. 2016, 169, 286–291. [Google Scholar] [CrossRef]
- Borrego, D.; Kitahara, C.M.; Balter, S.; Yoder, C. Occupational Doses to Medical Staff Performing or Assisting with Fluoroscopically Guided Interventional Procedures. Radiology 2020, 294, 353–359. [Google Scholar] [CrossRef]
- Endo, M.; Haga, Y.; Sota, M.; Tanaka, A.; Otomo, K.; Murabayashi, Y.; Abe, M.; Kaga, Y.; Inaba, Y.; Suzuki, M.; et al. Evaluation of novel X-ray protective eyewear in reducing the eye dose to interventional radiology physicians. J. Radiat. Res. 2021, 62, 414–419. [Google Scholar] [CrossRef]
- IAEA TECDOC No.1731 Implications for Occupational Radiation Protection of the New Dose Limit for the Lens of the Eye; TECDOC Series. 2013. Available online: https://www-pub.iaea.org/mtcd/publications/pdf/te-1731_web.pdf (accessed on 29 June 2023).
- Ishii, H.; Chida, K.; Satsurai, K.; Haga, Y.; Kaga, Y.; Abe, M.; Inaba, Y.; Zuguchi, M. A phantom study to determine the optimal placement of eye dosemeters on interventional cardiology staff. Radiat. Prot. Dosim. 2019, 185, 409–413. [Google Scholar] [CrossRef]
- Yokoyama, S.; Suzuki, S.; Toyama, H.; Arakawa, S.; Inoue, S.; Kinomura, Y.; Kobayashi, I. Evaluation of eye lens doses of interventional cardiologists. Radiat. Prot. Dosim. 2017, 173, 218–222. [Google Scholar] [CrossRef] [PubMed]
- Vano, E.; Gonzalez, L.; Fernández, J.M.; Haskal, Z.J. Eye lens exposure to radiation in interventional suites: Caution is warranted. Radiology 2008, 248, 945–953. [Google Scholar] [CrossRef]
- Vano, E.; Fernandez, J.M.; Resel, L.E.; Moreno, J.; Sanchez, R.M. Staff lens doses in interventional urology. A comparison with interventional radiology, cardiology and vascular surgery values. J. Radiol. Prot. 2016, 36, 37–48. [Google Scholar] [CrossRef]
- Moriarty, H.K.; Clements, W.; Phan, T.; Wang, S.; Goh, G.S. Occupational radiation exposure to the lens of the eye in interventional radiology. J. Med. Imaging Radiat. Oncol. 2022, 66, 34–40. [Google Scholar] [CrossRef] [PubMed]
- Haga, Y.; Chida, K.; Kaga, Y.; Sota, M.; Meguro, T.; Zuguchi, M. Occupational eye dose in interventional cardiology procedures. Sci. Rep. 2017, 7, 569. [Google Scholar] [CrossRef]
- Jacob, S.; Donadille, L.; Maccia, C.; Bar, O.; Boveda, S.; Laurier, D.; Bernier, M.O. Eye lens radiation exposure to interventional cardiologists: A retrospective assessment of cumulative doses. Radiat. Prot. Dosim. 2013, 153, 282–293. [Google Scholar] [CrossRef] [PubMed]
- Urboniene, A.; Sadzeviciene, E.; Ziliukas, J. Assessment of eye lens doses for workers during interventional radiology procedures. Radiat. Prot. Dosim. 2015, 165, 299–303. [Google Scholar] [CrossRef] [PubMed]
- O’Connor, U.; Walsh, C.; Gallagher, A.; Dowling, A.; Guiney, M.; Ryan, J.M.; McEniff, N.; O’Reilly, G. Occupational radiation dose to eyes from interventional radiology procedures in light of the new eye lens dose limit from the International Commission on Radiological Protection. Br. J. Radiol. 2015, 88, 20140627. [Google Scholar] [CrossRef] [PubMed]
- Matsubara, K.; Lertsuwunseri, V.; Srimahachota, S.; Krisanachinda, A.; Tulvatana, W.; Khambhiphant, B.; Sudchai, W.; Rehani, M. Eye lens dosimetry and the study on radiation cataract in interventional cardiologists. Phys. Med. 2017, 44, 232–235. [Google Scholar] [CrossRef]
- Morishima, Y.; Chida, K.; Meguro, T. Effectiveness of additional lead shielding to protect staff from scattering radiation during endoscopic retrograde cholangiopancreatography procedures. J. Radiat. Res. 2018, 59, 225–232. [Google Scholar] [CrossRef] [PubMed]
- Inaba, Y.; Hitachi, S.; Watanuki, M.; Chida, K. Occupational Radiation Dose to Eye Lenses in CT-Guided Interventions Using MDCT-Fluoroscopy. Diagnostics 2021, 11, 646. [Google Scholar] [CrossRef]
- Bernier, M.O.; Journy, N.; Villoing, D.; Doody, M.M.; Alexander, B.H.; Linet, M.S.; Kitahara, C.M. Cataract Risk in a Cohort of U.S. Radiologic Technologists Performing Nuclear Medicine Procedures. Radiology 2018, 286, 592–601. [Google Scholar] [CrossRef] [PubMed]
- ICRP. The 2007 Recommendations of the International Commission on Radiological Protection. ICRP publication 103. Ann. ICRP 2007, 37, 1–332. [Google Scholar] [CrossRef]
- Ishii, H.; Haga, Y.; Sota, M.; Inaba, Y.; Chida, K. Performance of the DOSIRIS™ eye lens dosimeter. J. Radiol. Prot. 2019, 39, N19–N26. [Google Scholar] [CrossRef]
- Kato, M.; Chida, K.; Ishida, T.; Sasaki, F.; Toyoshima, H.; Oosaka, H.; Terata, K.; Abe, Y.; Kinoshita, T. Occupational radiation exposure dose of the eye in department of cardiac arrhythmia physician. Radiat. Prot. Dosim. 2019, 187, 361–368. [Google Scholar] [CrossRef]
- Kato, M.; Chida, K.; Munehisa, M.; Sato, T.; Inaba, Y.; Suzuki, M.; Zuguchi, M. Non-Lead Protective Aprons for the Protection of Interventional Radiology Physicians from Radiation Exposure in Clinical Settings: An Initial Study. Diagnostics 2021, 11, 1613. [Google Scholar] [CrossRef]
- Chida, K.; Kaga, Y.; Haga, Y.; Kataoka, N.; Kumasaka, E.; Meguro, T.; Zuguchi, M. Occupational dose in interventional radiology procedures. Am. J. Roentgenol. 2013, 200, 138–141. [Google Scholar] [CrossRef]
- Chida, K.; Takahashi, T.; Ito, D.; Shimura, H.; Takeda, K.; Zuguchi, M. Clarifying and visualizing sources of staff-received scattered radiation in interventional procedures. Am. J. Roentgenol. 2011, 197, W900–W903. [Google Scholar] [CrossRef] [PubMed]
- Chida, K.; Saito, H.; Otani, H.; Kohzuki, M.; Takahashi, S.; Yamada, S.; Shirato, K.; Zuguchi, M. Relationship between fluoroscopic time, dose—Area product, body weight, and maximum radiation skin dose in cardiac interventional procedures. Am. J. Roentgenol. 2006, 186, 774–778. [Google Scholar] [CrossRef]
- Chida, K.; Ohno, T.; Kakizaki, S.; Takegawa, M.; Yuuki, H.; Nakada, M.; Takahashi, S.; Zuguchi, M. Radiation dose to the pediatric cardiac catheterization and intervention patient. Am. J. Roentgenol. 2010, 195, 1175–1179. [Google Scholar] [CrossRef] [PubMed]
- Kato, M.; Chida, K.; Sato, T.; Oosaka, H.; Tosa, T.; Munehisa, M.; Kadowaki, K. The necessity of follow-up for radiation skin injuries in patients after percutaneous coronary interventions: Radiation skin injuries will often be overlooked clinically. Acta Radiol. 2012, 53, 1040–1044. [Google Scholar] [CrossRef] [PubMed]
- Chida, K.; Inaba, Y.; Masuyama, H.; Yanagawa, I.; Mori, I.; Saito, H.; Maruoka, S.; Zuguchi, M. Evaluating the performance of a MOSFET dosimeter at diagnostic X-ray energies for interventional radiology. Radiol. Phys. Technol. 2009, 2, 58–61. [Google Scholar] [CrossRef]
- Matsunaga, Y.; Chida, K.; Kondo, Y.; Kobayashi, K.; Kobayashi, M.; Minami, K.; Suzuki, S.; Asada, Y. Diagnostic reference levels and achievable doses for common computed tomography examinations: Results from the Japanese nationwide dose survey. Br. J. Radiol. 2019, 92, 20180290. [Google Scholar] [CrossRef] [PubMed]
- Fujibuchi, T. Radiation protection education using virtual reality for the visualisation of scattered distributions during radiological examinations. J Radiol Prot. 2021, 41, S317. [Google Scholar] [CrossRef]
- Chida, K.; Morishima, Y.; Masuyama, H.; Chiba, H.; Katahira, Y.; Inaba, Y.; Mori, I.; Maruoka, S.; Takahashi, S.; Kohzuki, M.; et al. Effect of radiation monitoring method and formula differences on estimated physician dose during percutaneous coronary intervention. Acta Radiol. 2009, 50, 170–173. [Google Scholar] [CrossRef]
- Koenig, A.; Maas, J.; Viniol, S.; Etzel, R.; Fiebich, M.; Thomas, R.; Mahnken, A. Scatter radiation reduction with a radiation-absorbing pad in interventional radiology examinations. Eur. J. Radiol. 2020, 132, 109245. [Google Scholar] [CrossRef]
- Zuguchi, M.; Chida, K.; Taura, M.; Inaba, Y.; Ebata, A.; Yamada, S. Usefulness of non-lead aprons in radiation protection for physicians performing interventional procedures. Radiat. Prot. Dosim. 2008, 131, 531–534. [Google Scholar] [CrossRef]
- Sato, T.; Eguchi, Y.; Yamazaki, C.; Hino, T.; Saida, T.; Chida, K. Development of a New Radiation Shield for the Face and Neck of IVR Physicians. Bioengineering 2022, 9, 354. [Google Scholar] [CrossRef]
- Ikezawa, K.; Hayashi, S.; Takenaka, M.; Yakushijin, T.; Nagaike, K.; Takada, R.; Yamai, T.; Matsumoto, K.; Yamamoto, M.; Omoto, S.; et al. Occupational radiation exposure to the lens of the eyes and its protection during endoscopic retrograde cholangiopancreatography. Sci. Rep. 2023, 13, 7824. [Google Scholar] [CrossRef] [PubMed]
- Guiu-Souto, J.; Sánchez-García, M.; Vázquez-Vázquez, R.; Otero, C.; Luna, V.; Mosquera, J.; Busto, R.L.; Aguiar, P.; Ruibal, Á.; Pardo-Montero, J.; et al. Evaluation and optimization of occupational eye lens dosimetry during positron emission tomography (PET) procedures. J. Radiol. Prot. 2016, 36, 299–308. [Google Scholar] [CrossRef] [PubMed]
- Lindholm, C.; Pekkarinen, A.; Sipilä, O.; Manninen, A.L.; Lehtinen, M.; Siiskonen, T. Estimation of Hp(3) among staff members in two nuclear medicine units in finland. Radiat. Prot. Dosim. 2020, 190, 176–184. [Google Scholar] [CrossRef]
- Sarti, G.; Busca, F.; Carpano, L.; Dottore, F.D.; Dall’ara, D.; Sanniti, S. Dose measurements to the lens in nuclear medicine and in fluoroscopy-guided interventional procedures: Analysis of the results and assessment of the effectiveness of protective eyewear anti-x. Radiat. Prot. Dosim. 2016, 170, 181–186. [Google Scholar] [CrossRef] [PubMed]
- Wrzesień, M.; Królicki, L.; Albiniak, Ł.; Olszewski, J. Is eye lens dosimetry needed in nuclear medicine? J. Radiol. Prot. 2018, 38, 763–774. [Google Scholar] [CrossRef]
- Dehghan, N.; Sina, S. Measurement of operational dosimetry quantities for nuclear medicine staff. Radiat. Prot. Dosim. 2020, 190, 119–124. [Google Scholar] [CrossRef]
- Medici, S.; Pitzschke, A.; Cherbuin, N.; Boldini, M.; Sans-Merce, M.; Damet, J. Eye lens radiation exposure of the medical staff performing interventional urology procedures with an over-couch X-ray tube. Phys. Med. 2017, 43, 140–147. [Google Scholar] [CrossRef]
- Zagorska, A.; Romanova, K.; Hristova-Popova, J.; Vassileva, J.; Katzarov, K. Eye lens exposure to medical staff during endoscopic retrograde cholangiopancreatography. Phys. Med. 2015, 31, 781–784. [Google Scholar] [CrossRef]
- Suzuki, A.; Matsubara, K.; Chusin, T.; Suzuki, Y. Radiation doses to the eye lenses of radiologic technologists who assist patients undergoing computed tomography. Radiol. Phys. Technol. 2021, 14, 167–172. [Google Scholar] [CrossRef]
- Kidoń, J.; Polaczek-Grelik, K.; Żurek, P.; Wojakowski, W.; Ochala, A. Exposure of the eye lens and brain for interventional cardiology staff. Postepy Kardiol. Interwencyjnej 2021, 17, 298–304. [Google Scholar] [CrossRef]
- Kaljevic, J.; Ciraj-Bjelac, O.; Stankovic, J.; Arandjic, D.; Bozovic, P.; Antic, V. Occupational dose assessment in interventional cardiology in serbia. Radiat. Prot. Dosim. 2016, 170, 279–283. [Google Scholar] [CrossRef]
- Morishima, Y.; Chida, K.; Meguro, T.; Hirota, M.; Chiba, H.; Fukuda, H. Lens equivalent dose of staff during endoscopic retrograde cholangiopancreatography: Dose comparison using two types of dosemeters. Radiat. Prot. Dosim. 2022, 198, 1368–1376. [Google Scholar] [CrossRef]
- Danaei, Z.; Pooya, S.M.H.; Gharehbagh, E.J.; Baradaran, S. Assessment of whole body, skin and eye lens doses of the interventional radiologists at selected hospitals in iran. Radiat. Prot. Dosim. 2021, 193, 170–175. [Google Scholar] [CrossRef]
- Dabin, J.; Kopeć, R.; Struelens, L.; Szumska, A.; Tomaszuk, M.; Vanhavere, F. Eye lens doses in nuclear medicine: A multicentric study in belgium and poland. Radiat. Prot. Dosim. 2016, 170, 297–301. [Google Scholar] [CrossRef]
- Behrens, R.; Dietze, G. Monitoring the eye lens: Which dose quantity is adequate? Phys. Med. Biol. 2010, 55, 4047–4062. [Google Scholar] [CrossRef] [PubMed]
- Takahashi, Y.; Hosokawa, S.; Tsujiguchi, T.; Monzen, S.; Kanzaki, T.; Shirakawa, K.; Nemoto, A.; Ishimura, H.; Oriuchi, N. Time-related study on external exposure dose of 2-deoxy-2-[F-18]fluoro-D-glucose PET for workers’ safety. Radiol. Phys. Technol. 2020, 13, 98–103. [Google Scholar] [CrossRef] [PubMed]
- Ferrari, P.; Becker, F.; Carinou, E.; Chumak, V.; Farah, J.; Jovanovic, Z.; Krstic, D.; Morgun, A.; Principi, S.; Teles, P. Monte Carlo study of the scattered radiation field near the eyes of the operator in interventional procedures. J. Radiol. Prot. 2016, 36, 902–921. [Google Scholar] [CrossRef] [PubMed]
- Figueira, C.; Becker, F.; Blunck, C.; DiMaria, S.; Baptista, M.; Esteves, B.; Paulo, G.; Santos, J.; Teles, P.; Vaz, P. Medical staff extremity dosimetry in CT fluoroscopy: An anthropomorphic hand voxel phantom study. Phys. Med. Biol. 2013, 58, 5433–5448. [Google Scholar] [CrossRef]
- Thao, N.T.P.; Trung, N.T.; Son, N.D. Calculating equivalent dose received from a patient undergoing nuclear medicine procedure by merge phantoms tool and GAMOS/Geant4 6.0.0 software. Phys. Med. 2019, 68, 41–46. [Google Scholar] [CrossRef] [PubMed]
- Schnerr, R.S.; de Jong, A.N.; Landry, G.; Jeukens, C.R.; Wierts, R. Monte Carlo simulations of ceiling scatter in nuclear medicine. Med. Phys. 2017, 44, 1113–1119. [Google Scholar] [CrossRef] [PubMed]
- Osanai, M.; Sato, H.; Sato, K.; Kudo, K.; Hosoda, M.; Hosokawa, S.; Kitajima, M.; Tsushima, M.; Fujita, A.; Hosokawa, Y.; et al. Occupational Radiation Dose, Especially for Eye Lens: Hp(3), in Medical Staff Members Involved in Computed Tomography Examinations. Appl. Sci. 2021, 11, 4448. [Google Scholar] [CrossRef]
- Inaba, Y.; Chida, K.; Kobayashi, R.; Kaga, Y.; Zuguchi, M. Fundamental study of a real-time occupational dosimetry system for interventional radiology staff. J. Radiol. Prot. 2014, 34, N65–N71. [Google Scholar] [CrossRef]
- Hattori, K.; Inaba, Y.; Kato, T.; Fujisawa, M.; Yasuno, H.; Yamada, A.; Haga, Y.; Suzuki, M.; Zuguchi, M.; Chida, K. Evaluation of a New Real-Time Dosimeter Sensor for Interventional Radiology Staff. Sensors 2023, 23, 512. [Google Scholar] [CrossRef]









| Number of Nurses | Neck Badge Hp(10) (mSv/6 Month) | Neck Badge Hp(0.07) (mSv/6 Month) | DOSIRIS Hp(3) (mSv/6 Month) | Number of Procedures (/6 Months) | Injected Dose (GBq/6 Month) |
|---|---|---|---|---|---|
| Ns.1 | 0.34 | 0.32 | 0.57 | 321 | 104.07 |
| Ns.2 | 0.4 | 0.39 | 0.43 | 304 | 98.29 |
| Ns.3 | 0.19 | 0.18 | 0.4 | 240 | 77.34 |
| Ns.4 | 0.31 | 0.3 | 0.46 | 271 | 87.11 |
| mean ± SD | 0.31 ± 0.076 | 0.29 ± 0.076 | 0.47 ± 0.064 | 284 ± 34.12 | 91.70 ± 10.29 |
| median (IQR) | 0.33 (0.28–0.36) | 0.31 (0.27–0.34) | 0.45 (0.42–0.49) | 287.50 (263.25–308.25) | 92.70 (84.67–99.74) |
| Staff | Neck Badge Hp(10) (mSv/Year) | Neck Badge Hp(0.07) (mSv/Year) | DOSIRIS Hp(3) (mSv/Year) | Number of Procedures (/Year) | Injected Dose (GBq/Year) |
|---|---|---|---|---|---|
| PET nurses | 0.62 ± 0.15 | 0.60 ± 0.15 | 0.93 ± 0.13 | 568.00 ± 68.24 | 183.40 ± 20.58 |
| PET radiographer | 0.53 ± 0.44 | 0.53 ± 0.44 | 0.71 ± 0.41 | 852.00 ± 188.40 | 270.44 ± 59.38 |
| RI radiographer | 0.92 ± 0.49 | 0.82 ± 0.53 | 1.10 ± 0.53 | 667.20 ± 372.90 |
| Neck Badge Hp(10) (mSv/Month) | Neck Badge Hp(0.07) (mSv/Month) | DOSIRIS Hp(3) (mSv/Month) | Number of Procedures (/Month) | Injected Dose (GBq/Month) | ||
|---|---|---|---|---|---|---|
| PET radiographer | Mean ± SD | 0.044 ± 0.036 | 0.044 ± 0.036 | 0.059 ± 0.034 | 71.0 ± 15.70 | 22.54 ± 4.95 |
| Median (IQR) | 0.055 (0–0.068) | 0.055 (0–0.068) | 0.065 (0.035–0.09) | 74 (71.0–80.25) | 24.31 (21.42–25.12) | |
| RI radiographer | Mean ± SD | 0.077 ± 0.041 | 0.068 ± 0.044 | 0.088 ± 0.044 | 55.6 ± 31.07 | |
| Median (IQR) | 0.075 (0.05–0.11) | 0.065 (0.05–0.096) | 0.08 (0.063–0.11) | 59.5 (24.75–84.25) | ||
| Author | Staff | Annual Lens Dose (mSv/Year) | Dosimeter (Detector Element) | Dosimeter Position |
|---|---|---|---|---|
| Guiu-Souto et al. [43] | PET nurses | 0.93 ± 0.13 | EPD® Mk2.3 ※1 (electronic personal dosimeter) | neck |
| C Lindholm et al. [44] | PET and RI radiological technicians | 1.1 ± 0.1 | EYE-D™ ※2 (TLD) | near the eyes |
| D. Sarti et al. [45] | 18F and 99mTc preparation workers | 0.16–0.88 | EYE-D™ ※2 (TLD) | near the eyes |
| 18F and 99mTc administration workers | 0.33–2.18 | EYE-D™ ※2 (TLD) | near the eyes | |
| M Wrzesien et al. [46] | PET nurses (preparation-administration) | 5–9 | TLD | near the eyes |
| RI nurses | 1.3 | TLD | near the eyes | |
| Dehghan N et al. [47] | nuclear medicine staff | 2.24 | TLD | near the eyes |
| this study | PET nurses | 0.93 ± 0.13 | DOSIRISTM | near the eyes |
| PET radiological technicians | 0.71 ± 0.41 | DOSIRISTM | near the eyes | |
| RI radiological technicians | 1.10 ± 0.53 | DOSIRISTM | near the eyes |
Disclaimer/Publisher’s Note: The statements, opinions and data contained in all publications are solely those of the individual author(s) and contributor(s) and not of MDPI and/or the editor(s). MDPI and/or the editor(s) disclaim responsibility for any injury to people or property resulting from any ideas, methods, instructions or products referred to in the content. |
© 2023 by the authors. Licensee MDPI, Basel, Switzerland. This article is an open access article distributed under the terms and conditions of the Creative Commons Attribution (CC BY) license (https://creativecommons.org/licenses/by/4.0/).
Share and Cite
Fujisawa, M.; Haga, Y.; Sota, M.; Abe, M.; Kaga, Y.; Inaba, Y.; Suzuki, M.; Meguro, T.; Hosoi, Y.; Chida, K. Evaluation of Lens Doses among Medical Staff Involved in Nuclear Medicine: Current Eye Radiation Exposure among Nuclear-Medicine Staff. Appl. Sci. 2023, 13, 9182. https://doi.org/10.3390/app13169182
Fujisawa M, Haga Y, Sota M, Abe M, Kaga Y, Inaba Y, Suzuki M, Meguro T, Hosoi Y, Chida K. Evaluation of Lens Doses among Medical Staff Involved in Nuclear Medicine: Current Eye Radiation Exposure among Nuclear-Medicine Staff. Applied Sciences. 2023; 13(16):9182. https://doi.org/10.3390/app13169182
Chicago/Turabian StyleFujisawa, Masaki, Yoshihiro Haga, Masahiro Sota, Mitsuya Abe, Yuji Kaga, Yohei Inaba, Masatoshi Suzuki, Taiichiro Meguro, Yoshio Hosoi, and Koichi Chida. 2023. "Evaluation of Lens Doses among Medical Staff Involved in Nuclear Medicine: Current Eye Radiation Exposure among Nuclear-Medicine Staff" Applied Sciences 13, no. 16: 9182. https://doi.org/10.3390/app13169182
APA StyleFujisawa, M., Haga, Y., Sota, M., Abe, M., Kaga, Y., Inaba, Y., Suzuki, M., Meguro, T., Hosoi, Y., & Chida, K. (2023). Evaluation of Lens Doses among Medical Staff Involved in Nuclear Medicine: Current Eye Radiation Exposure among Nuclear-Medicine Staff. Applied Sciences, 13(16), 9182. https://doi.org/10.3390/app13169182

