Optical-Fiber-Embedded Beam for Subgrade Distributed Settlement Monitoring: Experiments and Numerical Modeling
Abstract
1. Introduction
2. Action Mechanism and Calibration of the Optical-Fiber-Embedded Beam (OFEB)
2.1. Principle of DPP-BOTDA
2.2. Test Principle of the Optical-Fiber-Embedded Beam
2.3. Calibration Test
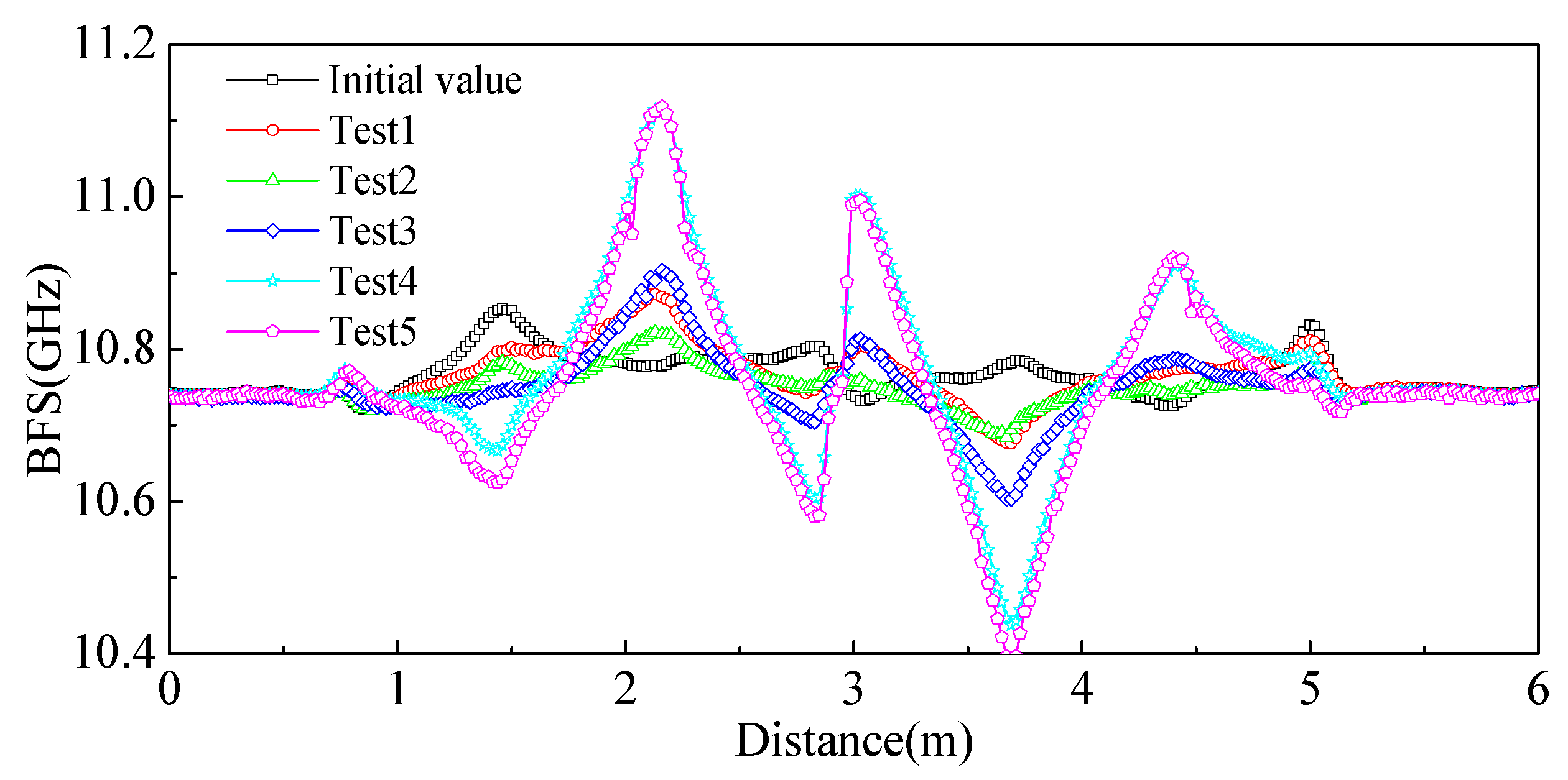
2.4. Test Results
3. Similarity Model Test of a Highway Subgrade
3.1. Model Design
3.2. Sensor Installation and Test Process
3.3. Experimental Results and Analysis
4. Numerical Simulation Verification and Analysis
4.1. Numerical Model
4.2. Numerical Results and Analysis
5. Conclusions
- (1)
- The results of a calibration test show that beam deflection can be accurately measured by the embedded optical fiber, where the relative error between the measurements of the optical fiber and a displacement transducer is approximately 5%. The OFEB can be used to make dense displacement measurements and is therefore suitable for monitoring large-scale settlement in a subgrade.
- (2)
- The results of a test on a subgrade similarity model test show that the OFEB can measure subgrade settlement and settlement variations before the subgrade soil slips or decouples from the beam. The relative error between the measurements of the optical fiber and the displacement transducer is less than 8.1%. The main sources of error are artificial error, the effect of the boundary constraint, and the pipe bending stiffness. However, the OFEB is not suitable for measuring large subgrade settlements.
- (3)
- A numerical simulation shows that the optimal ratio of the elastic moduli of the beam and soil lies between 30 and 40. The measurement range of the OFEB can be appropriately increased by selecting a small-diameter beam and by improving the coupling between the beam and the soil. Increasing the interfacial friction can only improve the beam–soil coupling performance to a limited extent.
Author Contributions
Funding
Institutional Review Board Statement
Informed Consent Statement
Data Availability Statement
Conflicts of Interest
References
- Feng, S.X.; Lei, H.Y. A settlement prediction model considering tidal loading and traffic loading of soft soil subgrade. Comput. Geotech. 2022, 144, 104639. [Google Scholar] [CrossRef]
- Zhao, H.Y.; Indraratna, B.; Ngo, T. Numerical simulation of the effect of moving loads on saturated subgrade soil. Comput. Geotech. 2021, 131, 103930. [Google Scholar] [CrossRef]
- Liu, X.L.; Chen, Y.X.; Meng, Q.L.; Song, J.B.; Zhang, X.M. Thaw settlement of runways in permafrost regions under aircraft load. Eur. J. Environ. Civ. Eng. 2023, 27, 500–518. [Google Scholar] [CrossRef]
- Bado, M.F.; Casas, J.R. A review of recent distributed optical fiber sensors applications for civil engineering structural health monitoring. Sensors 2021, 21, 1818. [Google Scholar] [CrossRef]
- Xing, X.M.; Chang, H.C.; Chen, L.F.; Zhang, J.H.; Yuan, Z.H.; Shi, Z.N. Radar interferometry time series to investigate deformation of soft clay subgrade settlement—A case study of Lungui Highway, China. Remote Sens. 2019, 11, 429. [Google Scholar] [CrossRef]
- Dai, K.; Liu, G.; Li, Z.; Ma, D.; Wang, X.; Zhang, B.; Tang, J.; Li, G. Monitoring highway stability in permafrost regions with X-band temporary scatterers stacking InSAR. Sensors 2018, 18, 1876. [Google Scholar] [CrossRef]
- Zhang, W.P. Application of 3D Laser Scanning in Deformation Detection of Qinghai-Tibet Highway Subgrade. Master’s Thesis, Chang’ an University, Xi’an, China, 2017. [Google Scholar]
- Min, Y.; Tao, J.; Ren, W. A high-precision online monitoring system for surface settlement imaging of railway subgrade. Measurement 2020, 159, 107707. [Google Scholar] [CrossRef]
- Zhu, H.H.; Shi, B.; Zhang, C.C. FBG-based monitoring of geohazards: Current status and trends. Sensors 2017, 17, 452. [Google Scholar] [CrossRef]
- Liu, J.; Wang, Y.; Lu, Y.; Wei, J.H.; Kanungo, D.P. Application of distributed optical fiber sensing technique in monitoring the ground deformation. J. Sens. 2017, 2017, 6310197. [Google Scholar] [CrossRef]
- Horiguchi, T.; Kurashima, T.; Tateda, M. Tensile strain dependence of Brillouin frequency shift in silica optical fibers. IEEE Photonics Technol. Lett. 1989, 1, 107–108. [Google Scholar]
- Tanner, M.G.; Dyer, S.D.; Baek, B.; Hadfield, R.H.; Woo Nam, S. High-resolution single-mode fiber-optic distributed Raman sensor for absolute temperature measurement using superconducting nanowire single-photon detectors. Appl. Phys. Lett. 2011, 99, 201110. [Google Scholar] [CrossRef]
- Uchida, S.; Levenberg, E.; Klar, A. On-specimen strain measurement with fiber optic distributed sensing. Measurement 2015, 60, 104–113. [Google Scholar] [CrossRef]
- Dong, Y.K. High-performance distributed Brillouin optical fiber sensing. Photonic Sens. 2021, 11, 69–90. [Google Scholar] [CrossRef]
- Dong, Y.K.; Zhang, H.Y.; Chen, L.; Bao, X.Y. 2 cm spatial-resolution and 2 km range Brillouin optical fiber sensor using a transient differential pulse pair. Appl. Opt. 2012, 51, 1229–1235. [Google Scholar] [CrossRef]
- Palmieri, L.; Schenato, L. Distributed optical fiber sensing based on Rayleigh scattering. Open Opt. J. 2013, 7, 104–127. [Google Scholar] [CrossRef]
- Barrias, A.; Casas, J.R.; Villalba, S. A review of distributed optical fiber sensors for civil engineering applications. Sensors 2016, 16, 748. [Google Scholar] [CrossRef]
- Glišić, B.; Posenato, D.; Inaudi, D. Integrity monitoring of an old steel bridge using fiber optic distributed sensors based on Brillouin scattering. In Proceedings of the Nondestructive Characterization for Composite Materials, Aerospace Engineering, Civil Infrastructure, and Homeland Security, San Diego, CA, USA, 20–22 March 2007. [Google Scholar]
- Xu, J.L.; Dong, Y.K.; Zhang, Z.H.; Li, S.L.; He, S.Y.; Li, H. Full scale strain monitoring of a suspension bridge using high performance distributed fiber optic sensors. Meas. Sci. Technol. 2016, 27, 124017. [Google Scholar] [CrossRef]
- Ye, C.; Butler, L.J.; Elshafie, M.Z.; Middleton, C.R. Evaluating prestress losses in a prestressed concrete girder railway bridge using distributed and discrete fibre optic sensors. Constr. Build. Mater. 2020, 247, 118518. [Google Scholar] [CrossRef]
- Seo, H. Monitoring of CFA pile test using three dimensional laser scanning and distributed fiber optic sensors. Opt. Lasers Eng. 2020, 30, 106089. [Google Scholar] [CrossRef]
- Kania, J.G.; Sorensen, K.K.; Fellenius, B.H. Application of distributed fibre optic cables in piles. Geotech. Eng. 2020, 51, 94–102. [Google Scholar]
- Xu, D.S.; Yin, J.H.; Liu, H.B. A new measurement approach for deflection monitoring of large-scale bored piles using distributed fiber sensing technology. Measurement 2018, 117, 444–454. [Google Scholar] [CrossRef]
- Gao, L.; Han, C.; Xu, Z.Q.; Jin, Y.J.; Yan, J.Q. Experimental study on deformation monitoring of bored pile based on BOTDR. Appl. Sci. 2019, 9, 2435. [Google Scholar] [CrossRef]
- Wang, H.P.; Xiang, P.; Jiang, L.Z. Optical Fiber Sensor Based In-Field Structural Performance Monitoring of Multilayered Asphalt Pavement. J. Light. Technol 2018, 36, 3624–3632. [Google Scholar] [CrossRef]
- Rabaiotti, C.; Hauswirth, D.; Fischli, F.; Facchini, M.; Puzrin, A. Structural health monitoring of airfield pavements using distributed fiber-optics sensing. In Proceedings of the 4th Conference on Smart Monitoring, Assessment and Rehabilitation of Civil Structures (SMAR 2017), Zürich, Switzerland, 13–15 September 2017. [Google Scholar]
- Schenato, L.; Camporese, M.; Bersan, S.; Cola, S.; Galtarossa, A.; Pasuto, A.; Palmieri, L. High density distributed strain sensing of landslide in large scale physical model. In Proceedings of the 25th International Conference on Optical Fiber Sensors, Jeju, Republic of Korea, 24–28 April 2017. [Google Scholar]
- Zhang, D.; Wang, J.C.; Zhang, P.S.; Shi, B. Internal strain monitoring for coal mining similarity model based on distributed fiber optical sensing. Measurement 2017, 97, 234–241. [Google Scholar] [CrossRef]
- Chai, J.; Lei, W.; Du, W.; Yuan, Q.; Zhu, L.; Zhang, D.; Li, H. Experimental study on distributed optical fiber sensing monitoring for ground surface deformation in extra-thick coal seam mining under ultra-thick conglomerate. Opt. Fiber Technol. 2019, 53, 102006. [Google Scholar] [CrossRef]
- Wu, J.H.; Shi, B.; Cao, D.F.; Jiang, H.T.; Wang, X.F.; Gu, K. Model test of soil deformation response to draining-recharging conditions based on DFOS. Eng. Geol. 2017, 226, 107–121. [Google Scholar] [CrossRef]
- Zhang, C.C.; Shi, B.; Gu, K.; Liu, S.P.; Wu, J.H.; Zhang, S.; Wei, G.Q. Vertically distributed sensing of deformation using fiber optic sensing. Geophys. Res. Lett. 2018, 45, 11732–11741. [Google Scholar] [CrossRef]
- Liu, J.; Song, Z.Z.; Lu, Y.; Bai, Y.X.; Qian, W.; Kanungo, D.P.; Chen, Z.H.; Wang, Y. Monitoring of vertical deformation response to water draining–recharging conditions using BOFDA-based distributed optical fiber sensors. Environ. Earth Sci. 2019, 78, 406. [Google Scholar] [CrossRef]
- Meng, S.J.; Sun, Y.Q.; Wang, M. Fiber Bragg grating sensors for subgrade deformation monitoring in seasonally frozen regions. Struct. Control Health Monit. 2020, 27, e2472. [Google Scholar] [CrossRef]
- Cheng, Y.K.; Shi, Z.W. Permanent Deformation and Temperature Monitoring of Subgrades Using Fiber Bragg Grating Sensing Technology. J. Sens. 2021, 2021, 8824058. [Google Scholar] [CrossRef]
- Zhang, D.Q.; He, J.P.; Xue, Y.; Xu, J.; Xu, X.J. Investigation of settlement monitoring method based on distributed Brillouin fiber optical sensor. Measurement 2019, 134, 118–122. [Google Scholar] [CrossRef]
- Wu, H.; Zhu, H.H.; Zhang, C.C.; Zhou, G.Y.; Zhu, B.; Zhang, W.; Azarafza, M. Strain integration-based soil shear displacement measurement using high-resolution strain sensing technology. Measurement 2020, 166, 108210. [Google Scholar] [CrossRef]
- Liu, S.P.; Gu, K.; Zhang, C.C.; Shi, B. Experimental research on strain transfer behavior of fiber-optic cable embedded in soil using distributed strain sensing. Int. J. Geomech. 2021, 21, 04021190. [Google Scholar] [CrossRef]
- Zhang, D.; Xu, Q.; Bezuijen, A.; Zheng, G.; Wang, H.X. Internal deformation monitoring for centrifuge slope model with embedded FBG arrays. Landslides 2017, 14, 407–417. [Google Scholar] [CrossRef]
- Zhang, C.C.; Zhu, H.H.; Shi, B. Role of the interface between distributed fibre optic strain sensor and soil in ground deformation measurement. Sci. Rep. 2016, 6, 36469. [Google Scholar] [CrossRef]
- Dong, Y.K.; Bao, X.Y.; Li, W.H. Differential Brillouin gain for improving the temperature accuracy and spatial resolution in a long-distance distributed fiber sensor. Appl. Opt. 2009, 48, 4297–4301. [Google Scholar] [CrossRef]

















| Item | Indicators | Item | Indicators |
|---|---|---|---|
| Instrument function | Temperature, strain | Spatial resolution | 5 cm |
| Operating wavelength | 1550 nm | Sensing distance | 5 km |
| Frequency domain | 10–13 GHz | Accuracy | 1 °C/5 µε |
| Frequency step | 1 MHz (min) | Measuring time | 2 s to a few minutes |
| Sample interval | 2.5 cm (min) | Sensing fiber type | SM/PM fiber |
| Range of strain | −15,000–15,000 με | Connector type | FC/APC |
| Sensor | Test Settlement (mm) | ||
|---|---|---|---|
| Condition 1 | Condition 2 | Condition 3 | |
| Observation Pole 1 | 134 | 489 | 489 |
| Drawstring A | 9.56 | 14.75 | 125.3 |
| Optic Fiber at Position A | 10.14 | 15.94 | 78.48 |
| Observation Pole 2 | 138 | 491 | 491 |
| Drawstring B | 9.67 | 15.52 | 89.77 |
| Optic Fiber at Position B | 9.18 | 16.26 | 92.09 |
| Observation Pole 3 | 44 | 254 | 490 |
| Drawstring C | 7.16 | 9.93 | 50.05 |
| Optic Fiber at Position C | 6.95 | 10.59 | 51.45 |
| Material | Density ρ (kg/m3) | Elasticity Modulus E (MPa) | Poisson’s Ratio λ | Initial Yield Stress σy (MPa) |
|---|---|---|---|---|
| HDPE80 | 950 | 800 | 0.45 | 15.85 |
| Near-surface loess | 1900 | 20 | 0.37 | / |
| Condition | Pipe Elastic Modulus Eg (MPa) | Soil Elastic Modulus E0 (MPa) | Friction Coefficient μ | Pipe Diameter D (mm) |
|---|---|---|---|---|
| C1–C9 | 200–1000 (Step size 100) | 20 | 0.4 | 50 |
| C10–C11 | 800 | 10 and 15 | 0.4 | 50 |
| C12–C19 | 800 | 20 | 0.1–0.9 (step size 0.1) | 50 |
| C20–C23 | 800 | 20 | 0.4 | 40, 32, 25, and 20 |
Disclaimer/Publisher’s Note: The statements, opinions and data contained in all publications are solely those of the individual author(s) and contributor(s) and not of MDPI and/or the editor(s). MDPI and/or the editor(s) disclaim responsibility for any injury to people or property resulting from any ideas, methods, instructions or products referred to in the content. |
© 2023 by the authors. Licensee MDPI, Basel, Switzerland. This article is an open access article distributed under the terms and conditions of the Creative Commons Attribution (CC BY) license (https://creativecommons.org/licenses/by/4.0/).
Share and Cite
Li, Z.; Yuan, K.; Zhao, L.-G. Optical-Fiber-Embedded Beam for Subgrade Distributed Settlement Monitoring: Experiments and Numerical Modeling. Appl. Sci. 2023, 13, 9047. https://doi.org/10.3390/app13169047
Li Z, Yuan K, Zhao L-G. Optical-Fiber-Embedded Beam for Subgrade Distributed Settlement Monitoring: Experiments and Numerical Modeling. Applied Sciences. 2023; 13(16):9047. https://doi.org/10.3390/app13169047
Chicago/Turabian StyleLi, Zhen, Kun Yuan, and Li-Guo Zhao. 2023. "Optical-Fiber-Embedded Beam for Subgrade Distributed Settlement Monitoring: Experiments and Numerical Modeling" Applied Sciences 13, no. 16: 9047. https://doi.org/10.3390/app13169047
APA StyleLi, Z., Yuan, K., & Zhao, L.-G. (2023). Optical-Fiber-Embedded Beam for Subgrade Distributed Settlement Monitoring: Experiments and Numerical Modeling. Applied Sciences, 13(16), 9047. https://doi.org/10.3390/app13169047

