Next Article in Journal
Application of the [WO2(C5H7O2)2] Complex in Hydrothermal Synthesis of WO3 Film and Study of Its Electrochromic Properties
Previous Article in Journal
Nonuniform Deformation Instability Mechanism of Gob-Side Entry Retained in Inclined Coal Seam and Stability Control
 
 
Font Type:
Arial Georgia Verdana
Font Size:
Aa Aa Aa
Line Spacing:
Column Width:
Background:
Article

Efficient Multi-UAV Path Planning for Collaborative Area Search Operations

Department of Computer Science, Kookmin University, Seoul 02707, Republic of Korea
*
Author to whom correspondence should be addressed.
Appl. Sci. 2023, 13(15), 8728; https://doi.org/10.3390/app13158728
Submission received: 21 June 2023 / Revised: 26 July 2023 / Accepted: 27 July 2023 / Published: 28 July 2023
(This article belongs to the Section Computing and Artificial Intelligence)

Abstract

Efficient UAV path-planning algorithms significantly improve inspection efficiency and reduce costs. However, due to the limitation of battery capacity, the endurance of existing UAVs is limited, making it difficult for them to directly undertake information collection, cruising, and inspection tasks over large work areas. This paper considers the problem of path allocation for multiple UAVs to minimize work time and reports research on multi-UAV (unmanned aerial vehicle) multi-task long-duration operation path planning. We propose a multi-UAV collaborative search algorithm based on the greedy algorithm (MUCS-GD) and a multi-UAV collaborative search algorithm based on the binary search algorithm (MUCS-BSAE), and later apply two UAV collaborative search algorithms to five UAV flight paths: (1) a snake curve path, (2) a “square wave signal” curve path, (3) a Peano curve path, (4) a Hilbert curve path, and (5) a Moore curve path, and compare the simulation results. We found that the performance of MUCS-BSAE was better than that of MUCS-GD in all of the above flight paths. In addition, the path with the “square wave signal” curve was the near-optimal path among all the flight paths. Finally, we improved the MUCS-BSAE applied on the “square wave signal” curve path and obtained an improved collaborative search algorithm for multiple UAVs based on the binary search algorithm (IMUCS-BSAE), which further reduced the working time of the UAV.

1. Introduction

An unmanned aerial vehicle (UAV) is an unmanned vehicle that can be operated by radio remote control technology or controlled autonomously by an onboard microcomputer program control system. In recent years, benefiting from the discovery of lightweight polymer materials and the development and maturity of embedded automation, signal processing, wireless communication, computer vision, and other technologies, the technology has gradually developed towards miniaturization and intelligence, which is widely used in battlefield reconnaissance [1,2,3,4], combined attack, emergency rescue [5,6], and search missions [7,8]. Because of their low cost, high flexibility, and stealth, UAVs have become one of the necessary tools for intelligence and unmanned search missions. UAVs have an important impact on current global economic growth. Commercial UAV production of micro UAVs is currently valued at $58.4 million. Statista estimates that the global economic impact of drone technology will reach $13 billion by 2025. This includes direct contributions from manufacturing, services, and related industries [9]. The global UAV market is expected to grow at a CAGR (compound annual growth rate) of about 9.6% between 2018 and 2029 to reach about $70 billion [10]. Existing consumer-grade UAVs are easy to purchase, maneuverable, simple to operate, and inexpensive to use. With the help of cameras and various sensors, they can traverse complex terrain and collect data on target areas in an efficient and safe manner. The continuous flight time of UAVs is very limited, in order to expand the range of flights that UAVs can cover, their practical application requires the introduction of unmanned loaders to act as a power supply base. The loading vehicle is used to carry the UAV to the vicinity of the target node, and then the UAV is dispatched to perform the mission. This strategy can save power for UAVs to cover a wider area.
In many similar applications, the use of UAVs is closely related to the problem of CPP (coverage path planning) [11]. This problem relates to ensuring that every area in the environment is covered by the flight path of the UAV—CPP provides a solution for guiding the path planning of the UAV. Due to the limitations of a single UAV in terms of flight distance, large-area surveillance, and search capabilities, UAV swarms composed of multiple UAVs have become increasingly valuable in UAV applications [12]. Compared to individual UAVs, UAV swarms offer significant size and coordination advantages that can increase the effectiveness and reliability of mission accomplishment [13].
The first problem in implementing highly collaborative UAV swarms is planning of the paths of the UAV swarms in a scientific and reasonable way. There have been many studies on single UAV path planning, but there are relatively few studies on path planning for UAV swarms. More and more research activity is shifting from path planning for single UAVs to path planning for swarms of UAVs. Unlike path planning for a single UAV, path planning for a UAV swarm needs to consider not only the flight of a single UAV, but also the number of UAVs in the swarm, path allocation, cooperation methods, etc., which is essentially a multi-objective optimization problem with complex constraints [14,15,16]. An intelligent optimization algorithm is extensively used to solve path planning problems because of its less demanding properties and high robustness in optimizing the problem.
The multiple UAV path planning problem for visiting multiple target nodes is, in essence, similar to the MTSP (multiple traveling salesman problem). Assigning target nodes to multiple UAVs is a complex permutation and combination problem. It can be solved by exhaustive or heuristic algorithms. The exhaustive method involves searching for the optimal solution by arranging and combining all possible results. When the MTSP problem is small in size, it can be solved using exact algorithms, such as branch and bound algorithms. However, with increase in the scale of an MTSP, the solution space will increase exponentially. Due to a large amount of calculation involved in an exact algorithm, the efficiency of the algorithm is low. It is difficult to find the optimal solution in a limited time, so most scholars use a heuristic algorithm to solve the MTSP. These include the PSO (particle swarm optimization) algorithm [17]. the SA (simulated annealing) algorithm [18], the TS (Tabu search) algorithm [19], the ACO (ant colony optimization) algorithm [20], the GA (genetic algorithm) algorithm [21], etc. The PSO algorithm can make full use of group experience to adjust the running results of the algorithm and has a fast convergence speed, but its local optimization ability is poor. The SA algorithm and TS algorithm are based on individual independent running algorithms; the solution results will be affected by the initial solution. The GA algorithm performs crossover and mutation with a probability mechanism and the algorithm is random, but the convergence speed of the algorithm is slow, and it is difficult to maintain an ideal path between retaining excellent individuals and maintaining the diversity of the population. At the same time, the quality of the algorithm solution is also related to the selection of the initial population. How to effectively apply swarm intelligence algorithms to the path planning of UAVs is worth further study.
As described in this paper, unmanned vehicles can carry multiple drones, and they can transport the drones to the working environment to avoid the power loss of drones flying long distances in non-working areas. When the unmanned vehicle arrives at the working environment, it can be used as a landing platform for the UAVs and assume the role of a power replenishment base station. The cooperative search problem in a work area environment is decomposed into region coverage and target search tasks. In the task environment, the target is static. It is assumed that each UAV has: (1) A target awareness device for target detection. (2) Communication equipment for exchanging information. UAV swarms need to perform two different types of target-related tasks: coverage and search. The term “coverage” refers to UAVs visiting as many locations as possible within a given area, and “search” refers to information collection or target search for all areas visited, while minimizing their overall mission execution time. During mission execution, UAVs need to take a series of actions to complete their tasks, such as moving to a specific location, taking pictures, or scanning for information collection. In our research, path planning and the way paths are distributed are considered simultaneously to ensure that UAVs use routes as efficiently as possible during mission execution. The purpose is to achieve a near-optimal distribution of multiple UAV routes within the mission area, i.e., to maximize the coverage area so that the UAV swarm can reach all locations and complete the search mission in the shortest possible time.

Our Contribution

This paper focuses on simulation of the multi-UAV coverage path planning problem and the corresponding solution algorithms. The main research outcomes of this paper are the following:
  • We formulate the covering path planning problem in a more rigorous manner as an objective optimization problem with multiple constraints.
  • We add a new constraint, “energy”, to the previously proposed algorithm and optimize it.
  • We compare the performance of the proposed heuristic algorithm for each of the six different route cases.
The remainder of the paper is organized as follows: Section 2 describes the relevant theories and the research status of UAV path planning. First, UAV energy consumption is briefly analyzed. Then, the research status of UAV path planning is introduced from three points of view: a single UAV performing a single objective task, a single UAV performing a multi-objective task, and a multi-UAV performing a multi-objective task. Finally, the route planning is further analyzed with the help of the traveling salesman problem. Our methodology is presented in Section 3 and Section 4. The methodology is divided into two parts: Section 3 concerns the planning of the UAV path, and Section 4 concerns the multi-UAV cooperative search algorithm. Section 3 focuses on the influence of UAV energy consumption and time on cost and describes the multi-UAV path planning scheme. In Section 4, according to the system scenario and assumed conditions, problem modeling is carried out to minimize the total UAV time. Multiple path planning is carried out, and the multi-UAV cooperative search algorithm is used to plan the flight path with minimum total energy consumption. In Section 5, the algorithm is simulated and compared with the existing algorithm to analyze its performance. Section 6 discusses the results and implications of the study, as well as the limitations of the study. Finally, Section 7 concludes the paper. The overall structure of this paper is shown in Figure 1.

2. Related Work

In this section, we introduce related historical research on UAV flight path planning and discuss the remaining issues. We also analyze the problems related to cooperative area search and the energy consumption of multiple UAVs.
UAV networks have received more and more attention from researchers, and how to plan reasonable flight paths for UAVs has become a hot issue in research in UAV networks in recent years [22]. The path planning problem for a single UAV is considered in [23,24]. In [23,25], each UAV considered visits only one target node, so the focus is on collision avoidance between the UAV and obstacles in the environment when performing path planning to ensure that the UAV can complete its task safely. Refs. [26,27] focused on the collision avoidance problem among individual UAVs considering the existence of multiple UAVs visiting different single target nodes in the same time and space. Refs. [24,28] investigated the path planning problem of a single UAV visiting multiple target nodes to determine the optimal flight order of the UAV between each target node so that the UAV flies along the shortest path and the energy consumption of the UAV is reduced while performing its mission. When the number of target nodes increases, multiple UAVs can be used to collaborate to access the target nodes together, considering the efficiency of the UAVs to accomplish the task. In refs. [29,30], the multi-UAV path planning problem of visiting multiple target nodes for a given number of UAVs was investigated and flight paths planned with minimum total UAV energy consumption while completing the target node assignment.
In the above studies, the study of the energy constraint problem of a single UAV is limited, and the influence of the number of target nodes and the distribution of target node locations on the energy consumption of a single UAV is not deeply explored in the path planning process. However, the energy that a UAV can carry by itself is limited. Therefore, when planning a path for a UAV, the energy consumption limit of a single UAV must be considered, and an energy consumption analysis requires to be performed to ensure that the UAV can visit all the target nodes before running out of energy.
In ref. [31], an algorithm was used for online cooperative search within an unknown environment by a group of UAVs, which can guarantee maximum coverage in the case of of emergencies but not complete coverage. In fact, none of the existing swarm intelligence methods represents a complete coverage path planning algorithm and none can guarantee complete coverage. Therefore, there is more interest in the academic community in methods based on the idea of task assignments. These methods use certain strategies to divide the task load and extend the coverage path planning approach from a single UAV to multiple UAVs. Table 1 summarizes the above techniques by field of study.

2.1. Multi-UAV Cooperative Area Search Problem

Multi-UAV cooperative area search involves use of multiple UAVs to search a work area, collect target information in the mission area, and obtain overall information for the work area. It is necessary to study how to make real-time path decisions in the collaborative search process of multiple UAVs, and to determine how to evaluate the effectiveness of multi-UAV collaborative search tasks, which are problems that need to be studied with regard to collaborative regional search of multiple UAVs. Some solutions have been proposed in previous studies, such as using multiple UAVs to find unknown targets as soon as possible, increasing the coverage of the mission area [32], using the decision process based on a backtracking algorithm to optimize the cooperative search problem of multiple UAVs [33], and so on. These schemes can provide a basis and inspiration for multi-UAV cooperative area searches.

2.2. Multi-UAV Cooperative Search Energy Consumption Problem

Due to the variety of tasks that UAVs carry out and the unpredictability of the environment in which they operate, UAVs must be able to build an ad hoc network while carrying out their tasks. Each UAV connected to a network has to be able to send and receive messages, or to perform the role of a message router. The network is also continually being accessed or exited by UAVs, making it a very dynamic network. The network’s dynamic nature has a significant influence on how the UAVs share information, collaborate on decisions, and use energy judiciously. Small UAVs carry limited battery energy, and reducing energy consumption is particularly important for UAV ad hoc networks. It is of practical significance to study how to maximize the use of limited battery energy and to reduce energy consumption, so as to prolong the life cycle of a UAV self-grouping network, reduce mutual interference between nodes, and improve the collaborative search efficiency of multi-UAVs. The collaborative search algorithm can evenly distribute the energy consumption of each UAV, equalize the energy consumption of each node, balance the overall load of the network, prevent some nodes from prematurely exiting the network due to energy consumption, and increase the stability of the network. An important goal of collaborative search algorithms is to improve the efficiency of the UAV swarm to complete the task [34].
For small UAVs with limited energy, we hope to save energy while maintaining network connectivity, extend the network lifetime and improve mission execution time, and finally achieve the purpose of improving the collaborative search efficiency of multi-UAVs. This paper considers how to improve the collaborative search efficiency of multiple UAVs by means of a collaborative search algorithm. In addition, the energy consumption of each UAV achieved is more balanced, so as to avoid the premature failure of some nodes due to energy exhaustion, resulting in network interruption or serious efficiency decline, and to enhance the overall stability of the network.
The study of multi-UAV long-time operation represents the problem primarily as a scheduling problem—a typical problem is the MTSP. The essence of the MTSP is a multiple Hamiltonian loop problem, the main idea of which is to divide m cities into n classes, with each group corresponding to one merchandiser. Since the actual model is widely used when path planning problems and logistics problems are considered, MTSP and its related extensions have long attracted researchers to solve it [35]. In ref. [36], an aggregated clustering approach was used to solve the MTSP for multiple starting points. In ref. [37], graph theory was used to decompose the MTSP into TSPs and then proceed to obtain the optimal solution for the model. In addition, ref. [38] specifically considered the practical application of the MTSP in material distribution and route planning and proposed a corresponding algorithm to solve the problem—the basic idea was to first divide the service area according to the traveler’s travel paths, and then to carry out route planning. In ref. [39], a starting point fixed MTSP was established and was solved using ACO. Different starting points were set for the experiments, and it was demonstrated that choosing different starting points would have different effects on the algorithm’s solution effectiveness.
The multi-UAV path planning problem for accessing multiple target nodes is similar in nature to the standard MTSP but is different in certain respects. In the standard MTSP problem, assigning target nodes to multiple UAVs is a complex permutation problem, but the distance traveled by each traveler is not limited, whereas in the problem solved in this chapter, the energy of the UAVs is limited and the UAVs consume energy during flight, hovering and data collection and they visit different target points and incur different energy consumption costs in the process. Therefore, the energy consumption of the UAV during flight, hovering and data collection between each target node must be considered when path planning is performed. We propose a multi-UAV cooperative search algorithm based on the greedy algorithm (MUCS-GD) and a multi-UAV cooperative search algorithm based on the binary search algorithm (MUCS-BSAE). MUCS-GD assigns paths for multi-UAV collaborative searching based on UAV energy consumption, while MUCS-BSAE assigns paths for multi-UAV collaborative search by balancing the work duration of each UAV under the constraint of energy consumption.

3. Path Planning Design

This section belongs to the path planning design part of our methodology, as shown in Figure 2. In this section, we describe in detail the five routes used in the UAV flight in this paper and the route generation method.
There are three main types of existing multi-UAV search studies [40]. The first type divides the area into multiple sub-areas equal to the number of UAVs, and then each sub-area is covered by a single UAV assigned to it [Figure 3a]. The second type divides the path of single aircraft coverage path planning into multiple segments, and each segment is covered by a single UAV [Figure 3b]. The third category divides the paths in parallel, using multiple UAVs to complete the coverage task in parallel [Figure 3c].
The third method of parallel coverage is to arrange multiple UAVs forward in parallel and to treat the whole as a single UAV with a larger coverage area to complete the coverage task. This method extends the coverage area of UAVs, and the degree of cooperation between multiple aircraft is higher so that relatively more complex tasks can be accomplished. However, it is not flexible enough to have fixed positions and a simple formation between multiple aircraft. It is not usually adopted in collaborative search studies of multiple UAVs.
These methods can effectively extend the coverage path planning method of a single machine to multiple UAVs and improve the coverage speed. However, these methods still cannot avoid the problems of backtracking traversal, repeated coverage, and low efficiency [41].
The CPP is one of the important research problems in the field of UAV control, and other researchers have provided some necessary standards when addressing the coverage planning path problem.
  • The UAV must pass all target cells in the work area to complete coverage of the area.
  • The paths must not overlap when the UAV covers the area.
  • The planned paths must be continuous and orderly.
  • The UAV must avoid all obstacles.
  • The planned path contains only simple actions.
  • The planned path is the shortest path.
These criteria are not satisfied in all cases, and some conditions are even contradictory in certain environments but are still important indicators for research covering path planning studies.
Path planning is an important part of UAV autonomous tasks. It requires quickly finding a good path formed by successively connecting multiple line segments or multiple waypoints in the planning space. There are two means of path representation: the first is a time series composed of speed and heading (based on dynamics). The second is a time series composed of the spatial position coordinates (based on geometry). Path planning of the UAV cluster needs to further consider the environmental constraints, self-constraints, and intra-cluster constraints on the basis of the general path planning model.
We make the following assumptions for this problem:
  • Ignoring the impact of uncertain factors in the environment on the flight of the UAV, it is assumed that the UAV flies in a straight line and the flight height is fixed, and that no collision occurs between the UAVs performing the task together.
  • Starting from the central base station, the UAV needs to complete data collection from at least one target cell before returning to the central base station.
  • To ensure the reliability of data transmission, the UAV needs to hover over the target cell. That is, the UAV collects data only when hovering. The hover time at each target cell can be configured before departure.
  • Due to the significant difference between the communication energy consumption of UAVs used for data collection and the hovering and flying energy consumption of UAVs, and since this paper mainly addresses the path allocation of multi-UAV flying on different paths under the energy constraints of UAVs, we do not include the communication energy consumption of UAVs in our consideration of overall energy consumption.
  • Each target cell in the network can only be accessed once by one UAV.
  • The data in the target cell is not required to be transmitted back to the central base station in real-time. The UAV only needs to visit all the target cells in a period of time and to bring the data back to the central base station.
  • The energy carried by a single UAV is limited and equal; this energy can ensure that the UAV can access at least one target cell in the network, complete data acquisition, and return to the central base station.

3.1. Search Path for UAV

We divide the area to be covered by the search in a uniform grid shape. The distribution of this grid shape is uniform in space, so this grid-based partitioning method can also be approximately classified as cell decomposition. The first proposal for a grid-based partitioning method to solve the CPP problem was provided in [42]. The authors proposed a beginning cell and a target cell in their method. The wavefront algorithm is applied from the target cell to the beginning cell, with the grid serving as a representation of the coverage region. In order to reach the beginning cell, a “wavefront” is propogated from the target cell across unoccupied cells and through any other barriers. Specifically, each grid cell is given a unique number by using the “wavefront” transmission from the destination cell to the beginning cell, as shown in Figure 4. Prior to assigning 1 to all surrounding cells, 0 is first assigned to the target cell. The remaining cell 1’s neighbors that have not been given a number will be given the number 2, after which, up until the “wavefront” reaches the beginning position, the procedure is progressively repeated. The sequence of numbers assigned to the cells in this area is the sequence of positions reached by the UAV in the area and is also the flight path of the UAV.
We define the target region to be a rectangle divided into a grid of ( m × D ) × ( n × D ) by square cells with side length D. Thus, the width of the region is W = m × D and the length of the region is L = n × D . A vehicle equipped with N UAVs and capable of charging the UAVs can park at the center of the detection area on one side outside the detection area. The corresponding coordinates are S = ( x S , y S ) . The UAVs depart from this location. The cell ( i , j ) is the cell located in row i and column j of the grid. Therefore, the center position of cell ( i , j ) is C i , j = ( i × D + D 2 , j × D + D 2 ) .
The centroids of all cells in this target region can be represented as an m × n dimensional matrix:
A ( x , y ) C 0 , n 1 , C 1 , n 1 C m 1 , n 1 C 0 , 1 , C 1 , 1 C m 1 , 1 C 0 , 0 , C 1 , 0 C m 1 , 0
where A 11 to A m 1 denotes the near row to the starting point S. We propose five paths for the collaborative search of multiple UAVs.

3.1.1. Snake Curve Path

According to the distribution of cells in the space region, the region can be divided into odd rows and even rows. When an even number of rows appears, the UAV enters the nearest cell from the starting position S. It moves the shape of a square wave signal to the leftmost cell of the target area. When the UAV reaches the position opposite the starting point S, it moves the shape of a square wave signal to the side close to the starting point S, and, finally, returns to the starting point S from the cell to the right of the cell closest to the starting point.
In the case of an odd number of rows, the UAV enters the leftmost cell near the starting point S in the target area from the starting position S and moves to the side of the cell closest to the starting point S. When the UAV reaches the position opposite the starting point, it will move to the side close to the starting point S in the shape of the square wave signal. Finally, the start point S is returned from the cell to the right of the target region and close to the start point S, as shown in Figure 5. The pseudo-code for generating the snake curve path is in Algorithm 1.

3.1.2. “Square Wave Signal” Curve Path

The “square wave signal” curve path was introduced in our published work [43]. Here, we introduce this route again. Static targets have two characteristics: a relatively fixed position and insensitivity to time. For these two traits, we need to create logical search plans. The space region is split into the cases of an odd-numbered sequence and a double-numbered sequence based on how the cells are distributed there. When the series is even, the UAV moves from the beginning point S into the closest cell. Before completing the last row’s detection job and returning to the beginning location S, it proceeds first to the far left cell at the space area, then moves in the form of a square wave signal. The steps for odd-numbered columns are the same as those for even-numbered columns, but when it reaches the last column before the last column on the other side of the starting position, the UAV moves in the shape of a square wave signal with a step D in the direction closest to the unmanned vehicle to the side near the initial position, completes the task of detecting the last row, and then returns to the initial position S, as shown in Figure 6.
Algorithm 1 Make snake curve path
Input: A, NearPointxy, X M a x , Y M a x
Output: Path
1:
A: Centers of the grid cells within the target region.
2:
NearPoint: The point closest to the starting point within the target region.
3:
X M a x : n column
4:
Y M a x : m row
5:
X ← The column of NearPoint in A.
6:
Y ← The row of NearPoint in A.
7:
if  Y M a x is even then
8:
    for i 1 to Y M a x  do
9:
        if i is odd then
10:
           Add from C[i][X] to C[i][1] to the Path.
11:
        else
12:
           Add from C[i][1] to C[i][X] to the Path.
13:
    for i Y M a x to 1 do
14:
        if i is odd then
15:
           Add from C[i][ X M a x ] to C[i][X + 1] to the Path.
16:
        else
17:
           Add from C[i][X + 1] to C[i][ X M a x ] to the Path.
18:
else
19:
    for i 1 to Y M a x  do
20:
        if i is odd then
21:
           Add from C[i][X] to C[i][1] to the Path.
22:
        else
23:
           Add from C[i][1] to C[i][X] to the Path.
24:
    for i Y M a x to 1 do
25:
        if i is odd then
26:
           Add from C[i][ X M a x ] to C[i][X + 1] to the Path.
27:
        else
28:
           Add from C[i][X + 1] to C[i][ X M a x ] to the Path.

3.1.3. Peano Curve Path

In 1890, Giuseppe Peano, an Italian mathematician, invented a curve that can fill a square, which is called the Peano curve [44]. The construction method of this curve is to first take a square, then to divide it into nine equal small squares, and to connect the centers of these small squares with line segments. Next, each small square is divided into nine equal small squares again and their centers are connected. This process is repeated infinitely many times—the resulting curve is the Peano curve. We apply this curve to the path-planning algorithm of UAVs.
When the target area is divided into 9 n n 1 square cells with side length D, the UAV enters the cell on the left side of the space area near the starting point S from the starting point S. It moves in the shape of the letter “S” and connects the center points of all cells in the target area with a non-intersecting curve by rotation or translation according to the Peano transformation rule, and returns to the starting position S from the cell opposite to the starting point on the right side of the space area, as shown in Figure 7. The pseudo-code to generate the Peano curve path is in Algorithm 2.
Algorithm 2 Make Peano Curve Path
Input: Matrix A = [ C 0 , 0 , , C m 1 , 0 ; ; C 0 , n 1 , , C m 1 , n 1 ]
Output: P
1:
P: The path of UAVs
2:
A: Explore points within a region
3:
X: m Columns
4:
Y: n Rows
5:
if X and Y are 3 to the Nth power then
6:
    N log 3 ( X )
7:
//Stage 1: Initialize starting point and direction
8:
Peano = PeanoCurve(N)
9:
//Stage 2: Generate Path P based on the Peano curve rule
10:
P = Peano.PeanoRule ( C )

3.1.4. Hilbert Curve Path

The Hilbert curve is a continuous fractal space-filling curve, which was first described by the German mathematician David Hilbert in 1891 [45]. It is capable of filling a planar square with Hausdorff dimension 2 and has filling properties similar to those of a Z-curve. The Hilbert curve is constructed by copying four copies of the curve of the previous order, flipping the lower left and lower right curves along the diagonal, and adding three line segments to connect these four copies. The nth-order Hilbert space-filling curve is a continuous fractal path that traverses all cells divided into 2 n × 2 n square regions and does not intersect itself during the traversal. This shows that the Hilbert curve has three important advantages. First, it can map a multidimensional (mainly two-dimensional) space into a one-dimensional space, making it possible to traverse the multidimensional space without duplicating any subspace. Second, any subspace can be further partitioned without breaking the continuous curve. Third, the maximum number of contiguous cells in a Hilbert curve is three. Therefore, in almost all cases, skipping cells can reduce the total distance of the Hilbert curve. Due to these characteristics, Hilbert curves have been widely used [46]. In our collaborative UAV search scenario, we use Hilbert curves as the path planning strategy to achieve efficient traversal of all devices in the target area.
When the target region is divided into 4 n n 1 by square cells with side length D, the UAV enters the cell near the starting point S on the left side of the spatial region from the starting point S, moves in the shape of a door, and connects all the cell centroids in the target region with a non-crossing and non-overlapping curve by rotation or translation according to the Hilbert transformation rule, and, finally, enters the cell near the starting point S from the right side of the spatial region cells near the starting point S and returns to the starting point position S, as shown in Figure 8. The pseudo-code to generate the Hilbert curve path is shown in Algorithm 3.
Algorithm 3 Make Hilbert Curve Path
Input: Matrix A = [ C 0 , 0 , , C m 1 , 0 ; ; C 0 , n 1 , , C m 1 , n 1 ]
Output: P
1:
P: The path of UAVs
2:
A: Explore points within a region
3:
X: m Columns
4:
Y: n Rows
5:
if X and Y are 2 to the Nth power then
6:
    N log 2 ( X )
7:
//Stage 1: Initialize starting point and direction
8:
Hilbert = HilbertCurve(N)
9:
//Stage 2: Generate Path P based on the Hilbert curve rule
10:
P = Hilbert.HilbertRule ( C )

3.1.5. Moore Curve Path

The Moore curve is a variant of the Hilbert curve [47]. When the target region is divided into 4 n n 1 by square cells with side length D, the UAV enters the cell nearest to the starting point S from the starting point S. According to the Moore transformation rule, the center points of all cells in the target region are connected by a curve that does not cross or overlap, and, finally, from the right side of the cell nearest to the starting point S, it returns to the starting point position S, as shown in Figure 9. The pseudo-code to generate the Moore curve path is in Algorithm 4.
Algorithm 4 Make Moore Curve Path
Input: Matrix A = [ C 0 , 0 , , C m 1 , 0 ; ; C 0 , n 1 , , C m 1 , n 1 ]
Output: P
  • P: The path of UAVs
  • A: Explore points within a region
  • X: m Columns
  • Y: n Rows
  • if X and Y are 2 to the Nth power then
  •     N log 2 ( X )
  • //Stage 1: Initialize starting point and direction
  • Moore = MooreCurve(N)
  • //Stage 2: Generate Path P based on the Moore curve rule
  • P= Moore.MooreRule ( C )

4. Multi-UAV Collaborative Search Algorithm

This section concerns the multi-UAV collaborative search algorithm part of our methodology, which is shown in Figure 10. In this section, we describe our proposed multi-UAV collaborative search algorithm in detail.
We denote the grid cells on the path as P = [ P 0 , P 1 , P 2 , …, P m n 1 ], where P i denotes the ith cell on the path. The Euclidean distance between the centers of two neighboring cells a and b is denoted as d i s t a , b . The nearest cell and the farthest cell, close to the departure side, can be found by:
j = argmin j d i s t ( S , C 0 , j )
j + = argmax j d i s t ( S , C 0 , j )
According to the rules of different routes, C 0 , j + or C 0 , j is chosen as the position of the first target cell for the UAV to reach. When the UAV reaches a cell, it will take photos at the cell’s hovering time T, and, once all sensing is finished, it will return to its beginning location S. The UAV travels at the pace V specified by the route. In the working process of the UAV, we do not consider the acceleration and deceleration of the UAV when hovering in each target cell, and the default speed V is a constant value. Our algorithm is based on the assumption that the working structure is on a two-dimensional plane. In the algorithm, we assume that all the UAVs are at the same altitude and the atmospheric pressure is not taken into account. We do not consider 3D structures or other realistic constraints and only focus on the route in the plane; that is, the UAV path changes only along the horizontal axis.
The following is an expression for the amount of tracking time needed for a UAV to travel through each compartment. It should be mentioned that the tracking time reduces if more than one UAV is used. The utmost surveillance period is therefore the time after that.
M a x t i m e = d i s t S , P 0 + d i s t S , P m n 1 V + i = 0 m n 2 d i s t P i , P i + 1 V + m n T

4.1. Multiple UAVs Collaborative Search Algorithm Based on Greedy Algorithm

We describe a basic multi-UAV collaborative search algorithm based on the greedy algorithm called MUCS-GD. We define the initial power of the UAV as E, the moving speed as V, the power consumed per second at the current speed V as S E L , the hovering time as S T , and the power consumed per second while hovering as S T L . We calculate the energy required for the UAV to move from P i position to P i + 1 , the energy required to hover S T at P i + 1 , and the energy required to return to the initial position S at P i + 1 . If the current remaining energy of the UAV is not enough to reach the next position p i + 1 and to return to the initial position S after hovering S T at position p i + 1 , the UAV needs to return to the starting position S immediately; otherwise, the UAV moves from position P i to position p i + 1 and deducts the energy consumed from P i to p i + 1 and the energy required for S T to hover at position p i + 1 . This rule is followed and so on until the last target cell is detected by the UAV. The algorithm calculates the number of UAVs required to complete the exploration of the area under the current conditions and assigns a working path to each UAV. The details of the MUCS-GD algorithm are shown in Algorithm 5.

4.2. Multiple UAVs Collaborative Search Algorithm Based on Binary Search Algorithm with Energy

We propose a collaborative multi-UAV search algorithm based on binary search called MUCS-BS, which has been presented in our published works [43]. In the MUCS-BS, the binary search technique is used to distribute the running time t to the appropriate number of UAVs based on the total amount of time M a x t i m e required for a UAV to find all cells and return to its beginning location. We set the number of UAVs loaded by the unmanned vehicle to N, denoted as the set D = { 1 , 2 , , N } . When the UAV is located at P i , we calculate how long it takes for the UAV to reach P i + 1 , how long it takes to hover in the P i + 1 cell, and how long it takes to return to the starting position S from the P i + 1 area. The UAV moves from P i to the P i + 1 area, the remaining working time itself needs to be calculated, minus the time from P i to P i + 1 , the hovering time T and the time needed to return to the initial position from P i + 1 . If the remaining working time of the UAV is sufficient to meet the above requirements, the UAV moves from P i to the P i + 1 cell; otherwise, it returns to the starting position of S. This rule is followed to determine the number of cells each UAV can reach in the currently allocated time t. More specifically, if the first UAV successfully completes the job of covering the P i cell within the allotted period t, the second UAV will fly from the starting point s to the P i + 1 cell and carry on along the path, and so on. A shorter working period t must be assigned if n cells are allocated and there are still UAVs without assignments. If all of the UAVs have been assigned, but there are still cells that have not been assigned. This indicates that more time needs to be given because the time that is presently allotted t is insufficient. By using the binary search technique, the shortest working time for each UAV is determined, and task paths are then given to each UAV.
In MUCS-BS [43], we find the least time-consuming path assignment for the multi-UAV collaborative search task. However, we have to consider that UAVs consume energy when they move or hover in the air, so we needed to improve our MUCS-BS algorithm under energy constraints. We defined a multi-UAV collaborative search algorithm called MUCS-BSAE based on a binary search algorithm under energy constraints. MUCS-BSAE, like MUCS-BS, needs to preset the number of UAVs and the total time M a x t i m e based on one UAV detecting all cells and returning to the starting position. The binary search algorithm is used to assign the running time t to the corresponding number of UAVs. The procedure is the same as for MUCS-BS, but the UAVs are assigned and there are no remaining cells. We calculate whether each UAV can complete the corresponding search mission at time t based on the energy consumption. If there are UAVs with uncompleted tasks among all UAVs, this means that the current allocated time t is too much and the allocated time needs to be reduced. The shortest working time is assigned to the least number of UAVs by the dichotomous finding method and the energy constraint, and the working path is assigned to each UAV. The pseudo-code code for the MUCS-BSAE algorithm is shown in Algorithm 6.
Algorithm 5 MUCS-GD (Greedy algorithm)
Input: P, S, E, V, SEL, ST, STEL
Output: MovePath, T, UE
1:
P: path
2:
S: Starting point of UAVs
3:
InitE: Energy of UAVs
4:
V: The speed of the UAVs
5:
SEL: Energy lost per second at the current speed
6:
ST: Hovering time of the UAVs
7:
STEL: Energy lost per second while hovering
8:
LastPath ← S
9:
StartPoint ← S
10:
MovePath
11:
T ← 0
12:
E ← InitE
13:
for each p P  do
14:
     L a s t T o N o w d i s t ( L a s t P o i n t , p ) S E L V
15:
     N o w T o S t a r t d i s t ( p , S ) S E L V
16:
     S t a y L o s s E n e r g y S T S T L
17:
    if  E > = L a s t T o N o w + S t a y L o s s E n e r g y + N o w T o S t a r t  then
18:
        p append to MovePath
19:
         E E L a s t T o N o w S t a y L o s s E n e r g y
20:
        LastPoint ← p
21:
        if p is the last element in path then
22:
            E E N o w T o S t a r t
23:
           T ← T + d i s t ( p , S ) V
24:
    else
25:
        T ← T + d i s t ( L a s t P o i n t , p ) V
26:
        StartPoint append to MovePath
27:
         E E N o w T o S t a r t
28:
        brea
29:
UE ← InitE − E
30:
return MovePath, T, UE

4.3. Improved Multiple UAVs Collaborative Search Algorithm Based on Binary Search Algorithm with Energy

We define an improved multi-UAV collaborative search algorithm based on the MUCS-BSAE algorithm called IMUCS-BSAE. We use the “square wave signal” curve path as the working path of the UAV and use the MUCS-BSAE algorithm to assign the working path of each UAV. The following changes are made when the route planned by the above exploration strategy occurs: When the UAV reaches the cell with coordinates C ( n 1 ) h ( h = 0 , 1 , 2 , , m 1 ) ( h m 2 ) , there is not enough energy left or time left to reach the next cell with coordinates C ( n 1 ) ( h + 1 ) . The next UAV will fly from the starting location S to the cell with coordinates C ( n 1 ) ( h + 1 ) and continue its mission from cell C ( n 1 ) ( h + 1 ) ) to C 2 ( h + 1 ) following the route. It can be seen that, in this case, the UAV wastes unnecessary energy as a result. Therefore, we improve on the “square wave signal” curve path. When the UAV reaches the cell with coordinate C ( n 1 ) h and cannot reach the next cell with coordinate C ( n 1 ) ( h + 1 ) , the next UAV will enter the cell with coordinate C 2 ( h + 1 ) . The next UAV will enter the cell with coordinates C ( 2 ( h + 1 ) , and, according to the distribution of the remaining cells in the space area, the remaining cells will be regenerated into a new path P according to the rules for generating the “square wave signal” curve path (the last column of the exploration region is not covered by this rule). Table 2 summarizes the parameter values used in this paper.
Algorithm 6 MUCS-BSAE (Binary Search and Energy)
Input: P, S, E, V, SEL, ST, STEL, N, M a x t i m e
Output: output MovePath, Time
1:
N: Number of UAVs
2:
P: Path
3:
M a x t i m e : The time it takes for a single UAV to fly back to its origin
4:
S: Starting point of UAVs
5:
E: Energy of UAVs
6:
V: The speed of the UAVs
7:
SEL: Energy consumed per second at the current speed
8:
ST: Hovering time of the UAVs
9:
STEL: energy consumed per second while staying
10:
LastPath
11:
L ← 0
12:
U M a x t i m e
13:
while True do
14:
    t L + U 2
15:
    Set an empty matrix Matrix
16:
    Set an empty list List
17:
    for  i = 1 to N do
18:
        MovePath T i m e M o v e ( P , S , T , V , S T )
19:
        Remove MovePath element from Path and generate new Path
20:
        Save the path of the current UAV
21:
        Matrix [ i ] MovePath
22:
        List ← L + MovePath
23:
    if Martix ≠ LastPath and List = P then
24:
        U ← t
28:
        LastPath ← Martix
26:
    else if Martix = LastPath and List = P then
27:
        Flag, T ← EnergyMove(Martix, P, S, E, V, SEL, ST, STEL)
28:
        if Flag = False then
29:
           U ← t
30:
        else
31:
           break;
32:
    else
33:
        L ← t
34:
return Martix, T

5. Evaluation

In this section, we evaluate the performance of our proposed algorithm in different working regions using different search paths.

5.1. Evaluation Environment

For the evaluation, we created a target area model of a rectangle, the area size of which we varied by manually setting the length and width of the rectangle. The simulation experimental evaluation was carried out using Visual Studio Code in the Ventura version system with Mac, Python version 3.10, Intel Core i9-9880H @ 2.3 GHz, and 16 GB RAM. We evaluated the performance of our proposed algorithm using the MTSP algorithm as the baseline algorithm.

5.2. Performance Comparison of MUCS-GD Algorithm and MUCS-BSAE Algorithm

First, we set up square working areas with side lengths of S L = 800 m = 16 D . We set the camera surveillance radius of the UAV as R, which is 25 m . Due to the different speed limits, the UAVs receive in different countries, we set the maximum speed of the UAVs to V, which is 20 m/s. The UAV needs to hover over each target node area for 1 s to collect data. We set the unmanned vehicle loaded with N UAVs as the middle position 30 m away from the working area. The coordinate position of the unmanned vehicle is S = ( x s = S L 2 = 400 , y s = 30 ) . The initial energy value of the drone is 100%. Table 3 shows the percentage of energy consumed per second by the UAV in relation to the corresponding speed. Speed 0m/s represents the percentage of energy consumed per second while the UAV is hovering in the air. As the flight speed of the UAV increases, the percentage energy consumption of the UAV increases linearly [48].
We use the search paths proposed in Section 3 for the working area separately, and we evaluate the proposed search paths using the MUCS-GD algorithm based on that proposed in Section 4. In order to more clearly show the algorithm’s performance under different paths, we use the MTSP path as the baseline path for comparison.
Figure 11 shows the five search paths, the MTSP path, the snake curve path, the “square wave signal” curve path, the Hilbert curve path, and the Moore curve path, as the UAV flight paths in a square working area of ( 16 D × 16 D ) m2. The UAVs fly at V = (5 m /s, 10 m/s, 15 m/s, 20 m/s) at different flight speeds. Based on using the MUCS-GD algorithm to assign the working path for each UAV, the time comparison graph for completing the search of the whole working area is shown. From Figure 11, we can see no major difference in the route planning algorithms that can be applied to this region when using the MUCS-GD algorithm. When the speed of the UAV is V = 5 m/s, using the MTSP path as a UAV flight path requires using more UAVs to show similar performance than the other path algorithms. When the UAV speed is V = 10 m/s, our “square wave signal” curve path algorithm demonstrates strong performance using fewer UAVs than the other path algorithms, but does not significantly increase the time to complete the task.
Figure 11 shows the five search paths, the MTSP path, the snake curve path, the “square wave signal” curve path, the Hilbert curve path, and the Moore curve path, as the UAV flight paths in a square working area of 800 m2. The UAVs fly at V = (5 m /s, 10 m/s, 15 m/s, 20 m/s) at different flight speeds. Based on using the MUCS-BSAE algorithm to assign the working path for each UAV, the time comparison graph for completing the search of the whole working area is shown. In Figure 12, we can see that the efficiency of the “square wave signal” curve path is very different compared to the other search paths. Working on the same number of UAVs, the working time of the “square wave signal” curve path is significantly lower than for the other search paths. It also shows better performance at all speeds compared to the other search paths. Moreover, when using the MTSP path as the UAV flight path, the MTSP path is the most time-consuming path at all flight speeds. From Figure 12, we can see that the curve path algorithm using the “square wave signal” exhibits better performance than the other search paths.
It can be seen that the “square wave signal” curve path is better than the other search paths among the above search paths. Based on the “square wave signal” curve path, through Figure 13, it is easy to observe that the performance of the MUCS-BSAE algorithm is significantly better than that of the MUCS-GD algorithm. The performance is 14.4%, 25.8%, 23.0% and 17.7% better than the MUCS-GD algorithm for speeds of 5 m/s, 10 m/s, 15 m/s and 20 m/s, respectively.

5.3. Comparison of Search Paths

In order to comprehensively demonstrate the superiority of the curve search path based on square wave signals, we established six square working areas with side lengths S L . We set the moving speed of the UAV as V = 5 m/s, which hovers for 1 s upon arriving at a target node area for information collection.
S L = ( 1350 m = 27 D , 1400 m = 28 D , 1450 m = 29 D , 1500 m = 30 D , 1550 m = 31 D , 1600 m = 32 D ).
Figure 14 shows the working performance of different search paths in six square work areas of different sizes, where the bar chart represents the time required for the UAVs to complete the tasks. The point chart in the corresponding color of the bar chart represents the number of UAVs under the working time. If a certain search path cannot be applied in the work area of that size, both the bar chart and the point chart at the corresponding position will have a value of 0. From Figure 14, we can easily find that the MTSP path, the “square wave signal” curve search path, and the snake curve search path have better practicality and can adapt to work areas of any size, while the Peano curve path, the Hilbert curve path, and the Moore curve path can only be applied in specific work areas. Moreover, we can clearly see that the “square wave signal” curve path has a significant efficiency advantage when working with other search paths using the same number of UAVs. Therefore, we can demonstrate that in a square work area, the “square wave signal” curve search path has better applicability and can achieve the highest work efficiency.
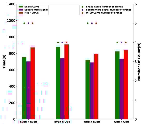
In Figure 14, we can observe that the MTSP path, the “square wave signal” curve search path, and the snake curve search path have better applicability in the square work area. We further evaluated the performance of these three path-planning algorithms in various regions. As shown in Figure 5, the square work area has the same length and width, and the entire work area has either an odd number of target detection cells multiplied by an odd number or an even number of target detection cell multiplied by an even number. In contrast, the rectangular work area has unequal length and width, and the entire work area can have an odd number multiplied by an even number of target detection cells or an even number multiplied by an odd number of target detection cells. We set the speed of UAV at V = 5 m/s. The working area of the odd-numbered target detection cell multiplied by the odd-numbered nodes is set to 750 m × 750 m ( 15 D × 15 D ). The working area of the even-numbered target detection cells multiplied by the even-numbered nodes is set to 800 m × 800 m ( 16 D × 16 D ). The working area of the odd-numbered target detection cell multiplied by the even-numbered nodes is set to 750 m × 800 m ( 15 D × 16 D ). The working area of the even-numbered target detection cells multiplied by the odd-numbered nodes is set to 800 m × 750 m ( 16 D × 15 D ). In these four cases, Figure 15 shows the performance of the MTSP path, the “square wave signal” curve search path, and the snake curve search path. It is easy to see that, in any situation, the “square wave signal” curve search path is significantly superior to the snake curve search path and the MTSP path.

5.4. Improved MUCS-BSAE Algorithm Based on the Path Planned by the “Square Wave Signal” Curve Path

Below, we demonstrate the performance improvement of the improved MUCS-BSAE Algorithm under the “square wave signal” curve path. We set the working area as a square region of 800 m × 800 m ( 16 D × 16 D ), with three UAVs and a flight speed of V = 15 m/s set for each UAV. The UAVs work along the “square wave signal” curve path, with the starting coordinate set as S = ( x s = S L 2 = 400 , y s = 30 ) . Figure 16 shows the working routes of the UAVs in this scenario. We represent each area center with a point and use different colored lines to represent the routes of the three UAVs. The final working times of the IMUCS-BSAE Algorithm and the MUCS-BSAE Algorithm were 415.5 s and 423.2 s, respectively, resulting in a 2% increase in work efficiency. We can clearly see that the improved IMUCS-BSAE Algorithm avoids some of the ineffective paths and that the approach is demonstrated to be superior.
We further demonstrate the performance comparison between the IMUCS-BSAE algorithm and the MUCS-BSAE algorithm under different area size working areas. We set the working area of the UAV as a square area with a side length S L = ( 800 m = 16 D , 900 m = 18 D , 1000 m = 20 D , 1100 m = 22 D ) . Figure 17 shows the comparison results. It can be observed that the IMUCS-BSAE algorithm shows further performance improvement over the MUCS-BSAE algorithm.

6. Discussion

In practical environmental applications, when performing search and detection tasks in some open and flat dangerous areas, our algorithm can enable the UAV to act as a mobile acquisition sensor to collect environmental information of the area to be detected and the location information of the target to be searched, and to transmit the data back to the central base station with minimum time cost. Our multi-UAV cooperative search algorithm can efficiently complete the rapid collection of information in the detection area. After evaluation and testing, among the five paths proposed in this paper, the “square wave signal” curve path shows obvious superiority in the cruise route of the UAV. Compared with the MUCS-GD algorithm, the MUCS-BSAE algorithm shows satisfactory effects and performance. The IMUCS-BSAE algorithm is a further optimization of the MUCS-BSAE algorithm in rare cases. Our algorithm takes the UAV energy consumption limit and work efficiency into the performance evaluation range, which provides a basis for the practical application of the algorithm. Compared with existing related research Table 1, our algorithm supports multi-UAV cooperative search under the constraint of UAV energy consumption, and, because we use the “square wave signal” curve path as the flight path of the UAV, the scalability of the algorithm and the full coverage of the target area has strong robustness.
The goal of our research is to develop an efficient collaborative search algorithm for multiple UAVs. Through evaluation and testing, the function and performance of our proposed IMUCS-BSAE algorithm are consistent with the research objectives and achieve the expected results. However, in the extreme case that the working area is too large, the endurance of the UAV cannot support the UAV to fly to the farthest area of the working area, resulting in the situation that the UAV cannot completely cover the whole working area. In this paper, the applicability of the algorithm is limited by the fact that only one starting base station is set in this research scenario and the UAV must return to the central base station after performing the task. In future research, a UAV CPP with multiple starting locations will be considered to make the algorithm more applicable.

7. Conclusions

This paper discusses the current state of path planning for multiple UAVs and reports research addressing the issues described in the literature. In this paper, we compared the traditional MTSP as the baseline algorithm with our proposed two multi-UAV collaborative search algorithms using five search paths each. In order to overcome the energy limitation of a single UAV, we developed the multi-UAV path collaborative search algorithms MUCS-GD and MUCS-BSAE based on the five search paths, which divide the path planning for single aircraft coverage into multiple segments, each covered by one UAV, to improve the coverage speed and efficiency. After comparative evaluation, the performance of the MUCS-BSAE algorithm was found to be more than 14% higher than that of the MUCS-GD algorithm at any speed, and even up to 25.8% at 10 m/s speed. The multi-UAV path cooperative search algorithm was able to find the path assignment with the minimum number of UAVs to complete the entire work interval and the minimum total time consumption to reduce the system cost. The simulation results obtained show that the “square wave signal” search path performs best for UAV search work with the least total work time for a single UAV energy constraint. In addition, we also improved the MUCS-BSAE algorithm with the “square wave signal” search path as the working path to the IMUCS-BSAE algorithm to reduce the invalid path of the UAV, and further improved the performance of the algorithm by 2%, so as to find the path assignment result with the least total working time. The IMUCS-BSAE algorithm performance was compared with existing related research findings. Our algorithm supports multi-UAV cooperative search under the constraint of UAV energy consumption to ensure higher efficiency and stronger scalability of the algorithm.

Author Contributions

Conceptualization, Y.Y.; Methodology, Y.Y.; Software, Y.Y.; Validation, Y.Y.; Investigation, S.L.; Resources, S.L.; Writing—original draft, Y.Y.; Writing—review & editing, Y.Y. and S.L.; Visualization, Y.Y.; Supervision, S.L.; Project administration, S.L.; Funding acquisition, S.L. All authors have read and agreed to the published version of the manuscript.

Funding

This research was supported by the Global Scholarship Program for Foreign Graduate Students at Kookmin University in Korea and by the Basic Science Research Program through the National Research Foundation of Korea (NRF) funded by the Ministry of Education (2022R1F1A1074672).

Institutional Review Board Statement

Not applicable.

Informed Consent Statement

Not applicable.

Conflicts of Interest

The authors declare no conflict of interest.

Abbreviations

The following abbreviations are used in this manuscript:
UAVUnmanned Aerial Vehicle
MTSPMultiple Traveling Salesmen Problem
TSPTraveling Salesman Problem
CPPCoverage Path Planning
MUCS-BSMulti-UAV Cooperative Search Algorithm Based on Binary Search Algorithm
ACOAnt Colony Optimization
CAGRCompound Annual Growth Rate
MUCS-GDMulti-UAV Cooperative Search Algorithm Based on Greedy Algorithm
MUCS-BSAEMulti-UAV Cooperative Search Algorithm Based on Binary Search Algorithm with Energy
IMUCS-BSAEImproved Multiple UAVs Collaborative Search Algorithm Based on Binary Search Algorithm with Energy

References

  1. Pannozzi, P.; Valavanis, K.P.; Rutherford, M.J.; Guglieri, G.; Scanavino, M.; Quagliotti, F. Urban monitoring of smart communities using UAS. In Proceedings of the 2019 International Conference on Unmanned Aircraft Systems (ICUAS), Atlanta, GA, USA, 11–14 June 2019; pp. 866–873. [Google Scholar]
  2. Ni, J.; Tang, G.; Mo, Z.; Cao, W.; Yang, S.X. An improved potential game theory based method for multi-UAV cooperative search. IEEE Access 2020, 8, 47787–47796. [Google Scholar] [CrossRef]
  3. Zhang, H.; Sun, M.; Li, Q.; Liu, L.; Liu, M.; Ji, Y. An empirical study of multi-scale object detection in high resolution UAV images. Neurocomputing 2021, 421, 173–182. [Google Scholar]
  4. Wang, W.; Jiang, B.; Yang, J.; Li, C. Research on UAV application in mountain anti-terrorism combat. J. Phys. Conf. Ser. 2021, 1792, 012079. [Google Scholar]
  5. Lin, L.; Goodrich, M.A. UAV intelligent path planning for wilderness search and rescue. In Proceedings of the 2009 IEEE/RSJ International Conference on Intelligent Robots and Systems, St. Louis, MO, USA, 10–15 October 2009; pp. 709–714. [Google Scholar]
  6. Kohlbrecher, S.; Kunz, F.; Koert, D.; Rose, C.; Manns, P.; Daun, K.; Schubert, J.; Stumpf, A.; von Stryk, O. Towards highly reliable autonomy for urban search and rescue robots. In RoboCup 2014: Robot World Cup XVIII 18; Springer: Berlin/Heidelberg, Germany, 2015; pp. 118–129. [Google Scholar]
  7. Yu, X.; Gao, X.; Wang, L.; Wang, X.; Ding, Y.; Lu, C.; Zhang, S. Cooperative multi-uav task assignment in cross-regional joint operations considering ammunition inventory. Drones 2022, 6, 77. [Google Scholar] [CrossRef]
  8. Silvagni, M.; Tonoli, A.; Zenerino, E.; Chiaberge, M. Multipurpose UAV for search and rescue operations in mountain avalanche events. Geomat. Nat. Hazards Risk 2017, 8, 18–33. [Google Scholar]
  9. Placek, M. Commercial UAVs—Statistics Facts. 20 April 2022. Available online: https://www.statista.com/topics/3601/commercial-uavs/topicOverview (accessed on 21 July 2023).
  10. Salas, E.B. Global UAV Market Value in 2018 and 2029 (In Billion U.S. Dollars) [Graph]. 1 January 2019. Available online: https://www.statista.com/statistics/1052890/global-uav-market-value/ (accessed on 21 July 2023).
  11. Choset, H.; Pignon, P. Coverage path planning: The boustrophedon cellular decomposition. In Field and Service Robotics; Springer: London, UK, 1998; pp. 203–209. [Google Scholar]
  12. Šulák, V.; Kotuliak, I.; Čičák, P. Search using a swarm of unmanned aerial vehicles. In Proceedings of the 2017 15th International Conference on Emerging eLearning Technologies and Applications (ICETA), Stary Smokovec, Slovakia, 26–27 October 2017; pp. 1–6. [Google Scholar]
  13. Sahingoz, O.K. Mobile networking with UAVs: Opportunities and challenges. In Proceedings of the 2013 International Conference on Unmanned Aircraft Systems (ICUAS), Atlanta, GA, USA, 28–31 May 2013; pp. 933–941. [Google Scholar]
  14. Wang, Q.; Chen, H.; Qiao, L.; Tian, J.; Su, Y. Path planning for UAV/UGV collaborative systems in intelligent manufacturing. IET Intell. Transp. Syst. 2020, 14, 1475–1483. [Google Scholar] [CrossRef]
  15. Xu, C.; Xu, M.; Yin, C. Optimized multi-UAV cooperative path planning under the complex confrontation environment. Comput. Commun. 2020, 162, 196–203. [Google Scholar] [CrossRef]
  16. Gao, Y.; Li, Y.; Guo, Z.; Tan, X. Adaptive risk-free coordinated trajectory planning for UAV cluster in dynamic obstacle environment. Aerosp. Syst. 2022, 5, 419–428. [Google Scholar] [CrossRef]
  17. Chen, J.; Ye, F.; Li, Y. Travelling salesman problem for UAV path planning with two parallel optimization algorithms. In Proceedings of the 2017 Progress in Electromagnetics Research Symposium-Fall (PIERS-FALL), Singapore, 19–22 November 2017; pp. 832–837. [Google Scholar]
  18. Daryanavard, H.; Harifi, A. UAV path planning for data gathering of IoT nodes: Ant colony or simulated annealing optimization. In Proceedings of the 2019 3rd International Conference on Internet of Things and Applications (IoT), Granada, Spain, 22–25 October 2019; pp. 1–4. [Google Scholar]
  19. Junwei, Z.; Jianjun, Z. Study on multi-UAV task clustering and task planning in cooperative reconnaissance. In Proceedings of the 2014 Sixth International Conference on Intelligent Human-Machine Systems and Cybernetics, Hangzhou, China, 26–27 August 2014; Volume 2, pp. 392–395. [Google Scholar]
  20. Ding, L.; Zhao, D.; Ma, H.; Wang, H.; Liu, L. Energy-efficient min-max planning of heterogeneous tasks with multiple uavs. In Proceedings of the 2018 IEEE 24th international conference on parallel and distributed systems (ICPADS), Singapore, 11–13 December 2018; pp. 339–346. [Google Scholar]
  21. Zorlu, O. Routing unmanned aerial vehicles as adapting to capacitated vehicle routing problem with genetic algorithms. In Proceedings of the 2015 7th International Conference on Recent Advances in Space Technologies (RAST), Istanbul, Turkey, 16–19 June 2015; pp. 675–679. [Google Scholar]
  22. Vashisth, A.; Batth, R.S. An Overview, Survey, and Challenges in UAVs Communication Network. In Proceedings of the 2020 International Conference on Intelligent Engineering and Management (ICIEM), London, UK, 17–19 June 2020; pp. 342–347. [Google Scholar]
  23. Xu, C.; Liao, X.; Yue, H.; Deng, X.; Chen, X. 3-D path-searching for UAVs using geographical spatial information. In Proceedings of the IGARSS 2019—2019 IEEE International Geoscience and Remote Sensing Symposium, Yokohama, Japan, 28 July–2 August 2019; pp. 947–950. [Google Scholar]
  24. Gao, M.; Liu, Y.; Wei, P. Opposite and Chaos Searching Genetic Algorithm Based for UAV Path Planning. In Proceedings of the 2020 IEEE 6th International Conference on Computer and Communications (ICCC), Virtual, 11–14 December 2020; pp. 2364–2369. [Google Scholar]
  25. Zhang, D.; Xian, Y.; Li, J.; Lei, G.; Chang, Y. UAV path planning based on chaos ant colony algorithm. In Proceedings of the 2015 International Conference on Computer Science and Mechanical Automation (CSMA), Hangzhou, China, 23–25 October 2015; pp. 81–85. [Google Scholar]
  26. Tian, G.; Zhang, L.; Bai, X.; Wang, B. Real-time dynamic track planning of multi-UAV formation based on improved artificial bee colony algorithm. In Proceedings of the 2018 37th Chinese control conference (CCC), Wuhan, China, 25–27 July 2018; pp. 10055–10060. [Google Scholar]
  27. Ahmed, S.; Mohamed, A.; Harras, K.; Kholief, M.; Mesbah, S. Energy efficient path planning techniques for UAV-based systems with space discretization. In Proceedings of the 2016 IEEE Wireless Communications and Networking Conference, Doha, Qatar, 3–6 April 2016; pp. 1–6. [Google Scholar]
  28. Sonmez, A.; Kocyigit, E.; Kugu, E. Optimal path planning for UAVs using genetic algorithm. In Proceedings of the 2015 International Conference on Unmanned Aircraft Systems (ICUAS), Denver, CO, USA, 9–12 July 2015; pp. 50–55. [Google Scholar]
  29. Monwar, M.; Semiari, O.; Saad, W. Optimized path planning for inspection by unmanned aerial vehicles swarm with energy constraints. In Proceedings of the 2018 IEEE Global Communications Conference (GLOBECOM), Abu Dhab, United Arab Emirates, 9–13 December 2018; pp. 1–6. [Google Scholar]
  30. Qie, H.; Shi, D.; Shen, T.; Xu, X.; Li, Y.; Wang, L. Joint optimization of multi-UAV target assignment and path planning based on multi-agent reinforcement learning. IEEE Access 2019, 7, 146264–146272. [Google Scholar]
  31. Hou, Y.; Liang, X.; He, L.; Liu, L. Cooperative area search algorithm for UAV swarm in unknown environment. J. Beijing Univ. Aeronaut. Astronaut. 2019, 45, 347–356. [Google Scholar]
  32. Shen, G.; Lei, L.; Zhang, X.; Li, Z.; Cai, S.; Zhang, L. Multi-UAV Cooperative Search Based on Reinforcement Learning with a Digital Twin Driven Training Framework. IEEE Trans. Veh. Technol. 2023, 72, 8354–8368. [Google Scholar] [CrossRef]
  33. Peng, H.; Su, F.; Bu, Y.; Zhang, G.; Shen, L. Cooperative area search for multiple UAVs based on RRT and decentralized receding horizon optimization. In Proceedings of the 2009 7th Asian Control Conference, Hong Kong, China, 27–29 August 2009; pp. 298–303. [Google Scholar]
  34. Li, L.; Xu, S.; Nie, H.; Mao, Y.; Yu, S. Collaborative Target Search Algorithm for UAV Based on Chaotic Disturbance Pigeon-Inspired Optimization. Appl. Sci. 2021, 11, 7358. [Google Scholar] [CrossRef]
  35. Khamyat, C. Solving The Oil Delivery Trucks Routing Problem with Modify Multi-Traveling Salesman Problem Approach Case Study: The SME’s Oil Logistic Company in Bangkok, Thailand. In Managing Intellectual Capital and Innovation for Sustainable and Inclusive Society: Managing Intellectual Capital and Innovation; Proceedings of the MakeLearn and TIIM Joint International Conference 2015; ToKnowPress: Bangkok, Thailand, 2015; pp. 339–344. [Google Scholar]
  36. Steven, A.; Hertono, G.F.; Handari, B.D. Implementation of clustered ant colony optimization in solving fixed destination multiple depot multiple traveling salesman problem. In Proceedings of the 2017 1st International Conference on Informatics and Computational Sciences (ICICoS), Semarang, Indonesia, 15–16 November 2017; pp. 137–140. [Google Scholar]
  37. Liu, M.; Zhao, L. Optimization of the emergency materials distribution network with time windows in anti-bioterrorism system. Int. J. Innov. Comput. Inf. Control 2009, 5, 3615–3624. [Google Scholar]
  38. Alencar, R.C.; Santana, C.J.; Bastos-Filho, C.J. Optimizing routes for medicine distribution using team ant colony system. In Hybrid Intelligent Systems: 18th International Conference on Hybrid Intelligent Systems (HIS 2018) Held in Porto, Portugal, 13–15 December 2018; Springer: Cham, Switzerland, 2020; pp. 40–49. [Google Scholar]
  39. Ramadhani, T.; Hertono, G.F.; Handari, B.D. An Ant Colony Optimization algorithm for solving the fixed destination multi-depot multiple traveling salesman problem with non-random parameters. In AIP Conference Proceedings; AIP Publishing LLC: Melville, NY, USA, 2017; p. 030123. [Google Scholar]
  40. Cong, L.; Yong, W.; Huan, Z.; Hanqiao, H.; Snapfei, W. Multi-UAV Formation Grouping Decision Making and Consistency. Electro-Opt. Control 2017, 24, 12–16. [Google Scholar]
  41. Di Franco, C.; Buttazzo, G. Coverage path planning for UAVs photogrammetry with energy and resolution constraints. J. Intell. Robot. Syst. 2016, 83, 445–462. [Google Scholar] [CrossRef]
  42. Choset, H. Coverage for robotics–a survey of recent results. Ann. Math. Artif. Intell. 2001, 31, 113–126. [Google Scholar] [CrossRef]
  43. Yu, Y.; Lee, S. A Collaborative UAV Routing Algorithm for Time Sensitive Surveillance Tasks. In Proceedings of the 2023 International Conference on Information Networking (ICOIN), Bangkok, Thailand, 11–14 January 2023; pp. 457–460. [Google Scholar]
  44. Peano, G.; Peano, G. Sur une Courbe, qui Remplit Toute une Aire Plane; Springer: Vienna, Austria, 1990. [Google Scholar]
  45. McKenna, D.M. Hilbert Curves: Outside-In and Inside-Gone; Mathemaesthetics, Inc.: Boulder, CO, USA, 2019. [Google Scholar]
  46. Chowdhury, S.A.; Benslimane, A.; Akhter, F. Autonomous mobile chargers for rechargeable sensor networks using space filling curve. In Proceedings of the 2018 IEEE International Conference on Communications (ICC), Kansas City, MO, USA, 20–24 May 2018; pp. 1–6. [Google Scholar]
  47. Moore, E.H. Errata: “on certain crinkly curves” [trans. amer. math. soc. 1 (1900), no. 1, 72–90; 1500526]. Trans. Am. Math. Soc. 1900, 1, 507. [Google Scholar] [CrossRef]
  48. Di Franco, C.; Buttazzo, G. Energy-Aware Coverage Path Planning of UAVs. In Proceedings of the 2015 IEEE International Conference on Autonomous Robot Systems and Competitions, Hamburg, Germany, 28 September–2 October 2015; pp. 111–117. [Google Scholar] [CrossRef]
Figure 1. The overall structure of this paper.
Figure 1. The overall structure of this paper.
Applsci 13 08728 g001
Figure 2. The structure of the path planning design part of the methodology.
Figure 2. The structure of the path planning design part of the methodology.
Applsci 13 08728 g002
Figure 3. Three multi-UAV research methods [40].
Figure 3. Three multi-UAV research methods [40].
Applsci 13 08728 g003
Figure 4. Area division method.
Figure 4. Area division method.
Applsci 13 08728 g004
Figure 5. Snake curve route map.
Figure 5. Snake curve route map.
Applsci 13 08728 g005
Figure 6. “Square wave signal” curve path.
Figure 6. “Square wave signal” curve path.
Applsci 13 08728 g006
Figure 7. Peano curve route map.
Figure 7. Peano curve route map.
Applsci 13 08728 g007
Figure 8. Hilbert Curve Route Map.
Figure 8. Hilbert Curve Route Map.
Applsci 13 08728 g008
Figure 9. Moore curve route map.
Figure 9. Moore curve route map.
Applsci 13 08728 g009
Figure 10. The structure of the multi-UAV collaborative search algorithm part of the methodology.
Figure 10. The structure of the multi-UAV collaborative search algorithm part of the methodology.
Applsci 13 08728 g010
Figure 11. Comparison of MUCS-GD based on different routes for a square area of ( 16 D × 16 D )m2.
Figure 11. Comparison of MUCS-GD based on different routes for a square area of ( 16 D × 16 D )m2.
Applsci 13 08728 g011
Figure 12. Comparison of MUCS-BSAE for the same number of UAVs based on different routes for a square area of ( 16 D × 16 D )2.
Figure 12. Comparison of MUCS-BSAE for the same number of UAVs based on different routes for a square area of ( 16 D × 16 D )2.
Applsci 13 08728 g012
Figure 13. Comparison of MUCS-BSAE with MUCS-GD ( 16 D × 16 D )2.
Figure 13. Comparison of MUCS-BSAE with MUCS-GD ( 16 D × 16 D )2.
Applsci 13 08728 g013
Figure 14. Comparison of working time based on different areas.
Figure 14. Comparison of working time based on different areas.
Applsci 13 08728 g014
Figure 15. Comparison based on rectangular area.
Figure 15. Comparison based on rectangular area.
Applsci 13 08728 g015
Figure 16. Comparison of improved MUCS-BSAE algorithm enhancement under the “square wave signal” curve path.
Figure 16. Comparison of improved MUCS-BSAE algorithm enhancement under the “square wave signal” curve path.
Applsci 13 08728 g016
Figure 17. Comparison of enhancement effects of the improved MUCS-BSAE algorithm for different working area sizes under the “square wave signal” curve path.
Figure 17. Comparison of enhancement effects of the improved MUCS-BSAE algorithm for different working area sizes under the “square wave signal” curve path.
Applsci 13 08728 g017
Table 1. Summary analysis and comparison of existing technologies.
Table 1. Summary analysis and comparison of existing technologies.
ReferencesSingle/Multi-UAVScalabilityEnergy Consumption ConstraintFull Coverage
[23,25]SingleLowNoNo
[25]SingleHighYesNo
[26]MultiLowNoNo
[27]MultiLowYesNo
[24]SingleHighNoNo
[29]MultiLowYesYes
[30]MultiHighNoNo
[31]MultiHighYesNo
In the table, four aspects of existing technologies are compared: whether the algorithm supports multi-UAV search, the scalability of the algorithm, whether there is an energy consumption constraint on the UAV, and whether the target area can be fully covered.
Table 2. Simulation Parameters.
Table 2. Simulation Parameters.
ParameterValueUnit
W: The width of the target area∈[100, 1350]m
L: The length of the target area∈[100, 1350]m
D: The side length of the square cell used to segment the target region50m
S: Coordinates of the takeoff position of the UAV--
C: Target region coordinates--
A: The set of coordinates of all target regions [ C 0 , 0 , C m 1 , n 1 ] -
P: The flight path coordinates of the UAV [ P 0 , P 1 , , P m n 1 ] -
T: The hovering time of the UAV1s
V: The flying speed of the UAV5, 10, 15, 20m/s
S E L : Energy consumed per second by the UAV at the current speedTable 3-
S T E L : Energy lost per second while hovering0.0757-
Table 3. UAV flight speed and energy consumption comparison table.
Table 3. UAV flight speed and energy consumption comparison table.
Speed (m/s)05101520
Energy consumption (%)0.07570.1100.1350.2100.300
Disclaimer/Publisher’s Note: The statements, opinions and data contained in all publications are solely those of the individual author(s) and contributor(s) and not of MDPI and/or the editor(s). MDPI and/or the editor(s) disclaim responsibility for any injury to people or property resulting from any ideas, methods, instructions or products referred to in the content.

Share and Cite

MDPI and ACS Style

Yu, Y.; Lee, S. Efficient Multi-UAV Path Planning for Collaborative Area Search Operations. Appl. Sci. 2023, 13, 8728. https://doi.org/10.3390/app13158728

AMA Style

Yu Y, Lee S. Efficient Multi-UAV Path Planning for Collaborative Area Search Operations. Applied Sciences. 2023; 13(15):8728. https://doi.org/10.3390/app13158728

Chicago/Turabian Style

Yu, Yang, and Sanghwan Lee. 2023. "Efficient Multi-UAV Path Planning for Collaborative Area Search Operations" Applied Sciences 13, no. 15: 8728. https://doi.org/10.3390/app13158728

APA Style

Yu, Y., & Lee, S. (2023). Efficient Multi-UAV Path Planning for Collaborative Area Search Operations. Applied Sciences, 13(15), 8728. https://doi.org/10.3390/app13158728

Note that from the first issue of 2016, this journal uses article numbers instead of page numbers. See further details here.

Article Metrics

Back to TopTop