Knowledge Interpolated Conditional Variational Auto-Encoder for Knowledge Grounded Dialogues
Abstract
1. Introduction
- We introduce a novel Knowledge Interpolated conditional Variational auto-encoder (KIV) for knowledge grounded dialogue generation. This approach utilizes two distinct latent variables for context and knowledge and fuses them by linear interpolation;
- We explore deterministic and probabilistic methodologies for obtaining the interpolation weight that signifies the level of knowledge utilization;
- A series of extensive experiments are conducted to validate the effectiveness of our proposed model. These experiments further illustrate the interpretability of our interpolation methodologies.
2. Related Work
2.1. Knowledge Grounded Dialogue
2.2. Latent Space Interpolation
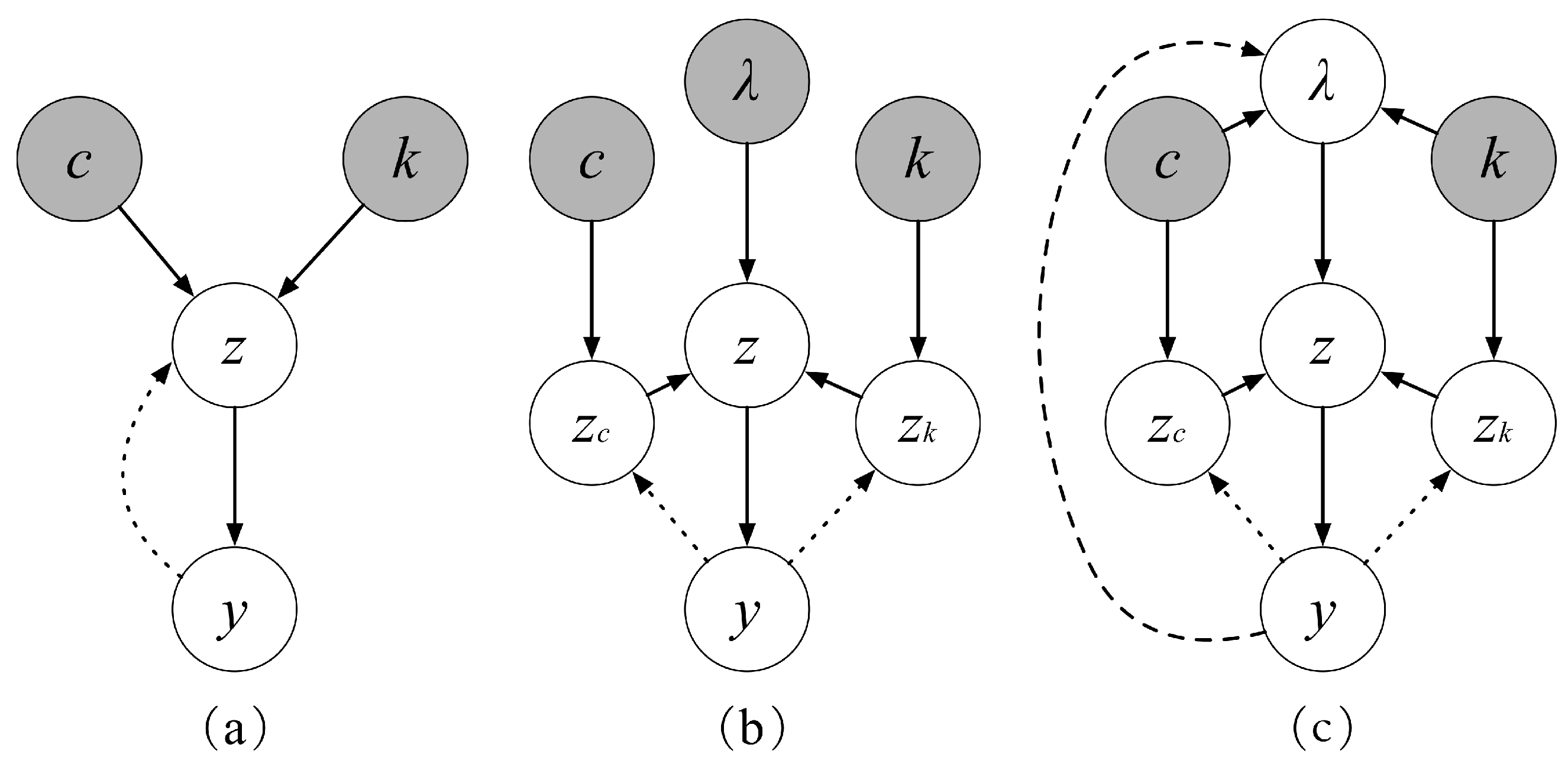
3. CVAE for Knowledge-Grounded Dialogue
4. Knowledge Interpolated Conditional Variational Auto-Encoder (KIV)
4.1. Context and Knowledge Encoders
4.2. Response Decoder
5. Interpolation of Latent Variables
5.1. Deterministic Interpolation Weight
5.2. Probabilistic Interpolation Weight
5.3. Model Training
6. Experiments and Analysis
6.1. Experimental Settings
6.1.1. Dataset
6.1.2. Baselines
- HRED [3]: A general knowledge-free model encodes the context at two hierarchical levels.
- GTTP [51]: This model, based on HRED, incorporates grounded knowledge through a copying mechanism, enabling it to copy phrases from the knowledge at the appropriate decoding step.
- TMem [7]: Transformer Memory Network first concatenates the representations of context and knowledge and employs a transformer-based framework to generate knowledge grounded responses.
- SKT [25]: The sequential latent variable model is utilized to capture the knowledge selection process in multi-turn dialogue generation.
- KIVc: This is a variant of our proposed model which directly concatenates the context latent variable and the knowledge latent variable . This conditions the response generation without any variable interpolation, i.e., Equation (2) is replaced with with the encoders and decoder remaining the same.
6.1.3. Metrics
- PPL: It is the exponentiation of the word entropy, and describes how well the generative model predicts the expected responses. It does not directly capture coherence, as a low perplexity value indicates an accurate prediction, but can not guarantee a coherent text. Coherence depends on factors like transitions, readability, consistent topics, and logical structures. Diversity in text generation refers to variations and novelty, which perplexity does not capture.
- AVE, EXT, and GRY: Rather than using n-gram overlapping-based metrics like Bilingual Evaluation Understudy (BLEU) or Recall-Oriented Understudy for Gisting Evaluation (ROUGE), we report word embedding-based similarity metrics [52] to capture the semantic alignment between generated responses and ground truth. Specifically, we adopt three embedding metrics: Embedding Average (AVE), Embedding Extreme (EXT), and Greedy Matching (GRY).
- (Dist1) and (Dist2) [53]: We use (Dist1) and (Dist2) to evaluate the diversity of responses, which calculates the ratio of unique unigrams (or bigrams) to the total number of generated words. It determines the ratio of unique n-grams to the total number of n-grams produced. A higher distinct value suggests a greater range of content. However, in certain instances, a higher distinctness can result in reduced coherence as it may introduce unrelated ideas that disrupt the overall flow and cohesiveness of the text.
- : We use to measure the engagement of knowledge. To assess whether the knowledge is articulated diversely and engagingly, we define a unique automatic metric that measures the ratio of knowledge utilization in responses based on the word overlap between responses and provided knowledge. We initially compute as the average BLEU score, considering the generated response as the hypothesis and given knowledge as the reference. An exceptionally high signifies an excessive copy of external knowledge and makes the response less engaging. We further consider of the gold standard response created by human y as the ground truth and compute the average absolute difference between and , namely , to measure the engagement of knowledge:where N is the number of samples in the test set, y and are gold and generated responses from the same context and knowledge. A lower indicates a closer knowledge copy ratio of generated responses to ground truths, showing better knowledge engagement.
6.2. Implementation Details
6.3. Metric-Based Evaluation
6.4. Human Evaluation
6.5. Qualitive Analysis
6.5.1. Impact of Interpolation Weight
6.5.2. Case Study
6.5.3. More Generated Examples
7. Conclusions
Author Contributions
Funding
Institutional Review Board Statement
Informed Consent Statement
Data Availability Statement
Conflicts of Interest
Appendix A. Derivation of Lower Bound
References
- Shang, L.; Lu, Z.; Li, H. Neural Responding Machine for Short-Text Conversation. In Proceedings of the 53rd Annual Meeting of the Association for Computational Linguistics, ACL 2015, Beijing, China, 26–31 July 2015; pp. 1577–1586. [Google Scholar]
- Sordoni, A.; Galley, M.; Auli, M.; Brockett, C.; Ji, Y.; Mitchell, M.; Nie, J.Y.; Gao, J.; Dolan, B. A Neural Network Approach to Context-Sensitive Generation of Conversational Responses. In Proceedings of the 2015 Conference of the North American Chapter of the Association for Computational Linguistics: Human Language Technologies (NAACL), Denver, CO, USA, 31 May–5 June 2015; pp. 196–205. [Google Scholar]
- Serban, I.V.; Sordoni, A.; Bengio, Y.; Courville, A.; Pineau, J. Building end-to-end dialogue systems using generative hierarchical neural network models. In Proceedings of the 30th AAAI Conference on Artificial Intelligence, AAAI 2016, Phoenix, AZ, USA, 12–17 February 2016; pp. 3776–3783. [Google Scholar]
- Li, J.; Monroe, W.; Shi, T.; Jean, S.; Ritter, A.; Jurafsky, D. Adversarial Learning for Neural Dialogue Generation. In Proceedings of the 2017 Conference on Empirical Methods in Natural Language Processing, EMNLP 2017, Copenhagen, Denmark, 7–11 September 2017; pp. 2157–2169. [Google Scholar]
- Shen, L.; Feng, Y. CDL: Curriculum dual learning for emotion-controllable response generation. arXiv 2020, arXiv:2005.00329. [Google Scholar]
- Xu, J.; Wang, H.; Niu, Z.; Wu, H.; Che, W. Knowledge graph grounded goal planning for open-domain conversation generation. In Proceedings of the AAAI Conference on Artificial Intelligence, New York, NY, USA, 7–12 February 2020; Volume 34, pp. 9338–9345. [Google Scholar]
- Dinan, E.; Roller, S.; Shuster, K.; Fan, A.; Auli, M.; Weston, J. Wizard of Wikipedia: Knowledge-Powered Conversational Agents. In Proceedings of the 7th International Conference on Learning Representations, ICLR 2019, New Orleans, LA, USA, 6–9 May 2019. [Google Scholar]
- Qin, L.; Galley, M.; Brockett, C.; Liu, X.; Gao, X.; Dolan, B.; Choi, Y.; Gao, J. Conversing by Reading: Contentful Neural Conversation with On-demand Machine Reading. In Proceedings of the 57th Conference of the Association for Computational Linguistics, ACL 2019, Florence, Italy, 28 July–2 August 2019; pp. 5427–5436. [Google Scholar]
- Ghazvininejad, M.; Brockett, C.; Chang, M.; Dolan, B.; Gao, J.; Yih, W.; Galley, M. A Knowledge-Grounded Neural Conversation Model. In Proceedings of the 32nd AAAI Conference on Artificial Intelligence, AAAI 2018, New Orleans, LA, USA, 2–7 February 2018; pp. 5110–5117. [Google Scholar]
- Moghe, N.; Arora, S.; Banerjee, S.; Khapra, M.M. Towards Exploiting Background Knowledge for Building Conversation Systems. In Proceedings of the 2018 Conference on Empirical Methods in Natural Language Processing, EMNLP 2018, Brussels, Belgium, 31 October–4 November 2018; pp. 2322–2332. [Google Scholar]
- Lian, R.; Xie, M.; Wang, F.; Peng, J.; Wu, H. Learning to select knowledge for response generation in dialog systems. arXiv 2019, arXiv:1902.04911. [Google Scholar]
- Xu, Y.; Ishii, E.; Winata, G.I.; Lin, Z.; Madotto, A.; Liu, Z.; Xu, P.; Fung, P. CAiRE in DialDoc21: Data augmentation for information seeking dialogue system. In Proceedings of the 1st Workshop on Document-grounded Dialogue and Conversational Question Answering (DialDoc 2021), Online, 5 August 2021; pp. 46–51. [Google Scholar]
- Yang, C.; Lin, Z.; Li, J.; Meng, F.; Wang, W.; Wang, L.; Zhou, J. TAKE: Topic-shift aware knowledge selection for dialogue generation. In Proceedings of the 29th International Conference on Computational Linguistics, Gyeongju, Republic of Korea, 12–17 October 2022; pp. 253–265. [Google Scholar]
- Komeili, M.; Shuster, K.; Weston, J. Internet-augmented dialogue generation. arXiv 2021, arXiv:2107.07566. [Google Scholar]
- Varshney, D.; Prabhakar, A.; Ekbal, A. Commonsense and named entity aware knowledge grounded dialogue generation. arXiv 2022, arXiv:2205.13928. [Google Scholar]
- Yang, Y.; Gao, Y.; Li, J.; Huang, H. G2: Enhance Knowledge Grounded Dialogue via Ground Graph. arXiv 2022, arXiv:2204.12681. [Google Scholar]
- Sun, Q.; Xu, C.; Hu, H.; Wang, Y.; Miao, J.; Geng, X.; Chen, Y.; Xu, F.; Jiang, D. Stylized knowledge-grounded dialogue generation via disentangled template rewriting. arXiv 2022, arXiv:2204.05610. [Google Scholar]
- Rajpurkar, P.; Zhang, J.; Lopyrev, K.; Liang, P. SQuAD: 100,000+ Questions for Machine Comprehension of Text. In Proceedings of the 2016 Conference on Empirical Methods in Natural Language Processing, EMNLP 2016, Austin, TX, USA, 1–5 November 2016; pp. 2383–2392. [Google Scholar]
- Chen, D.; Fisch, A.; Weston, J.; Bordes, A. Reading Wikipedia to Answer Open-Domain Questions. In Proceedings of the 55th Annual Meeting of the Association for Computational Linguistics, ACL 2017, Vancouver, BC, Canada, 30 July–4 August 2017; pp. 1870–1879. [Google Scholar]
- Seo, M.; Kembhavi, A.; Farhadi, A.; Hajishirzi, H. Bidirectional attention flow for machine comprehension. In Proceedings of the 4th International Conference on Learning Representations, ICLR 2016, San Juan, PR, USA, 2–4 May 2016. [Google Scholar]
- Liu, S.; Chen, H.; Ren, Z.; Feng, Y.; Liu, Q.; Yin, D. Knowledge diffusion for neural dialogue generation. In Proceedings of the 56th Annual Meeting of the Association for Computational Linguistics, ACL 2018, Melbourne, Australia, 15–20 July 2018; pp. 1489–1498. [Google Scholar]
- Ren, P.; Chen, Z.; Monz, C.; Ma, J.; de Rijke, M. Thinking Globally, Acting Locally: Distantly Supervised Global-to-Local Knowledge Selection for Background Based Conversation. In Proceedings of the 33rd AAAI Conference on Artificial Intelligence, AAAI 2019, Honolulu, HI, USA, 27 January–1 February 2019. [Google Scholar]
- Meng, C.; Ren, P.; Chen, Z.; Monz, C.; Ma, J.; de Rijke, M. RefNet: A reference-aware network for background based conversation. In Proceedings of the 33rd AAAI Conference on Artificial Intelligence, AAAI 2019, Honolulu, HI, USA, 27 January–1 February 2019. [Google Scholar]
- Li, Y.; Zhao, J.; Lyu, M.R.; Wang, L. Eliciting Knowledge from Large Pre-Trained Models for Unsupervised Knowledge-Grounded Conversation. arXiv 2022, arXiv:2211.01587. [Google Scholar]
- Kim, B.; Ahn, J.; Kim, G. Sequential latent knowledge selection for knowledge-grounded dialogue. arXiv 2020, arXiv:2002.07510. [Google Scholar]
- Lin, X.; Jian, W.; He, J.; Wang, T.; Chu, W. Generating informative conversational response using recurrent knowledge-interaction and knowledge-copy. In Proceedings of the 58th Annual Meeting of the Association for Computational Linguistics, Online, 6–8 July 2020; pp. 41–52. [Google Scholar]
- Kingma, D.P.; Mohamed, S.; Rezende, D.J.; Welling, M. Semi-supervised learning with deep generative models. In Proceedings of the 28th Conference on Neural Information Processing Systems, NIPS 2014, Montreal, QC, Canada, 8–13 December 2014; pp. 3581–3589. [Google Scholar]
- Zhao, T.; Zhao, R.; Eskenazi, M. Learning Discourse-level Diversity for Neural Dialog Models using Conditional Variational Autoencoders. In Proceedings of the 55th Annual Meeting of the Association for Computational Linguistics, ACL 2017, Vancouver, BC, Canada, 30 July–4 August 2017; pp. 654–664. [Google Scholar]
- Song, H.; Zhang, W.; Cui, Y.; Wang, D.; Liu, T. Exploiting Persona Information for Diverse Generation of Conversational Responses. In Proceedings of the 28th International Joint Conference on Artificial Intelligence, IJCAI 2019, Macao, China, 10–16 August 2019; pp. 5190–5196. [Google Scholar]
- Massiceti, D.; Siddharth, N.; Dokania, P.K.; Torr, P.H. FlipDial: A generative model for two-way visual dialogue. In Proceedings of the IEEE Conference on Computer Vision and Pattern Recognition, CVPR 2018, Salt Lake City, UT, USA, 18–22 June 2018; pp. 6097–6105. [Google Scholar]
- Locatello, F.; Bauer, S.; Lucic, M.; Rätsch, G.; Gelly, S.; Schölkopf, B.; Bachem, O. Challenging Common Assumptions in the Unsupervised Learning of Disentangled Representations. In Proceedings of the 36th International Conference on Machine Learning, ICML 2019, Long Beach, CA, USA, 10–15 June 2019; pp. 4114–4124. [Google Scholar]
- Ye, H.; Lo, K.; Su, S.; Chen, Y. Knowledge-Grounded Response Generation with Deep Attentional Latent-Variable Model. In Proceedings of the 33rd AAAI Conference on Artificial Intelligence, AAAI 2019, Honolulu, HI, USA, 27 January–1 February 2019. [Google Scholar]
- Zheng, W.; Zhou, K. Enhancing Conversational Dialogue Models with Grounded Knowledge. In Proceedings of the 28th ACM International Conference on Information and Knowledge Management, CIKM 2019, Beijing, China, 3–7 November 2019; pp. 709–718. [Google Scholar]
- Sun, W.; Ren, P.; Ren, Z. Generative Knowledge Selection for Knowledge-Grounded Dialogues. arXiv 2023, arXiv:2304.04836. [Google Scholar]
- Prabhumoye, S.; Hashimoto, K.; Zhou, Y.; Black, A.W.; Salakhutdinov, R. Focused attention improves document-grounded generation. arXiv 2021, arXiv:2104.12714. [Google Scholar]
- Chen, Q.; Lin, J.; Zhang, Y.; Ding, M.; Cen, Y.; Yang, H.; Tang, J. Towards knowledge-based recommender dialog system. arXiv 2019, arXiv:1908.05391. [Google Scholar]
- Wang, L.; Hu, H.; Sha, L.; Xu, C.; Wong, K.F.; Jiang, D. Finetuning large-scale pre-trained language models for conversational recommendation with knowledge graph. arXiv 2021, arXiv:2110.07477. [Google Scholar]
- Zhou, K.; Zhao, W.X.; Bian, S.; Zhou, Y.; Wen, J.R.; Yu, J. Improving conversational recommender systems via knowledge graph based semantic fusion. In Proceedings of the 26th ACM SIGKDD International Conference on Knowledge Discovery & Data Mining, Virtual Event, USA, 6–10 July 2020; pp. 1006–1014. [Google Scholar]
- Li, S.; Namazifar, M.; Jin, D.; Bansal, M.; Ji, H.; Liu, Y.; Hakkani-Tur, D. Enhanced knowledge selection for grounded dialogues via document semantic graphs. arXiv 2022, arXiv:2206.07296. [Google Scholar]
- Li, Z.; Niu, C.; Meng, F.; Feng, Y.; Li, Q.; Zhou, J. Incremental Transformer with Deliberation Decoder for Document Grounded Conversations. In Proceedings of the 57th Conference of the Association for Computational Linguistics, ACL 2019, Florence, Italy, 28 July–2 August 2019; pp. 12–21. [Google Scholar]
- Wu, Z.; Lu, B.R.; Hajishirzi, H.; Ostendorf, M. DIALKI: Knowledge Identification in Conversational Systems through Dialogue-Document Contextualization. arXiv 2021, arXiv:2109.04673. [Google Scholar]
- Mi, L.; He, T.; Park, C.F.; Wang, H.; Wang, Y.; Shavit, N. Revisiting Latent-Space Interpolation via a Quantitative Evaluation Framework. arXiv 2021, arXiv:2110.06421. [Google Scholar]
- Bengio, Y.; Courville, A.; Vincent, P. Representation learning: A review and new perspectives. IEEE Trans. Pattern Anal. Mach. Intell. 2013, 35, 1798–1828. [Google Scholar] [CrossRef] [PubMed]
- Qian, S.; Li, G.; Cao, W.M.; Liu, C.; Wu, S.; Wong, H.S. Improving representation learning in autoencoders via multidimensional interpolation and dual regularizations. In Proceedings of the 28th International Joint Conference on Artificial Intelligence, IJCAI 2019, Macao, China, 10–16 August 2019; pp. 3268–3274. [Google Scholar]
- Verma, V.; Lamb, A.; Kannala, J.; Bengio, Y.; Lopez-Paz, D. Interpolation Consistency Training for Semi-supervised Learning. In Proceedings of the 28th International Joint Conference on Artificial Intelligence, IJCAI 2019, Macao, China, 10–16 August 2019; pp. 3635–3641. [Google Scholar]
- Bowman, S.R.; Vilnis, L.; Vinyals, O.; Dai, A.M.; Jozefowicz, R.; Bengio, S. Generating Sentences from a Continuous Space. In Proceedings of the 20th SIGNLL Conference on Computational Natural Language Learning, CoNLL 2016, Berlin, Germany, 11–12 August 2016; pp. 10–21. [Google Scholar]
- Zhao, J.J.; Kim, Y.; Zhang, K.; Rush, A.M.; LeCun, Y. Adversarially Regularized Autoencoders. In Proceedings of the 35th International Conference on Machine Learning, ICML 2018, Stockholm, Sweden, 10–15 July 2018; pp. 5902–5911. [Google Scholar]
- Gao, X.; Lee, S.; Zhang, Y.; Brockett, C.; Galley, M.; Gao, J.; Dolan, B. Jointly Optimizing Diversity and Relevance in Neural Response Generation. In Proceedings of the 2019 Conference of the North American Chapter of the Association for Computational Linguistics, NAACL 2019, Minneapolis, MN, USA, 2–7 June 2019; pp. 1229–1238. [Google Scholar]
- Ganea, O.; Gelly, S.; Bécigneul, G.; Severyn, A. Breaking the Softmax Bottleneck via Learnable Monotonic Pointwise Non-linearities. In Proceedings of the 36th International Conference on Machine Learning, ICML 2019, Long Beach, CA, USA, 10–15 June 2019; pp. 2073–2082. [Google Scholar]
- Srivastava, A.; Sutton, C.A. Autoencoding Variational Inference For Topic Models. In Proceedings of the 5th International Conference on Learning Representations, ICLR 2017, Toulon, France, 24–26 April 2017. [Google Scholar]
- See, A.; Liu, P.J.; Manning, C.D. Get to the point: Summarization with pointer-generator networks. arXiv 2017, arXiv:1704.04368. [Google Scholar]
- Liu, C.W.; Lowe, R.; Serban, I.; Noseworthy, M.; Charlin, L.; Pineau, J. How NOT To Evaluate Your Dialogue System: An Empirical Study of Unsupervised Evaluation Metrics for Dialogue Response Generation. In Proceedings of the 2016 Conference on Empirical Methods in Natural Language Processing, Austin, TX, USA, 1–5 November 2016; pp. 2122–2132. [Google Scholar]
- Li, J.; Galley, M.; Brockett, C.; Gao, J.; Dolan, B. A Diversity-Promoting Objective Function for Neural Conversation Models. In Proceedings of the 2016 Conference of the North American Chapter of the Association for Computational Linguistics, NAACL 2016, San Diego, CA, USA, 12–17 June 2016; pp. 110–119. [Google Scholar]
- Chung, J.; Gulcehre, C.; Cho, K.; Bengio, Y. Empirical evaluation of gated recurrent neural networks on sequence modeling. arXiv 2014, arXiv:1412.3555. [Google Scholar]
- Glorot, X.; Bengio, Y. Understanding the difficulty of training deep feedforward neural networks. In Proceedings of the 13th International Conference on Artificial Intelligence and Statistics, AISTATS 2010, Sardinia, Italy, 13–15 May 2010; pp. 249–256. [Google Scholar]
- Kingma, D.P.; Ba, J. Adam: A method for stochastic optimization. arXiv 2014, arXiv:1412.6980. [Google Scholar]
- Kullback, S. Information Theory and Statistics; Courier Corporation: North Chelmsford, MA, USA, 1997. [Google Scholar]






| Test Seen | Gold Knowledge | Predicted Knowledge | ||||||||||||
|---|---|---|---|---|---|---|---|---|---|---|---|---|---|---|
| Method | PPL | AVE | EXT | GRY | Dist1 | Dist2 | PPL | AVE | EXT | GRY | Dist1 | Dist2 | ||
| HRED | 25.1 | 88.6 | 53.7 | 83.9 | 3.7 | 22.3 | 9.3 | 36.5 | 88.1 | 53.6 | 84.9 | 3.5 | 21.6 | 11.1 |
| CVAE | 27.6 | 87.0 | 51.2 | 82.1 | 5.2 | 30.2 | 9.2 | 42.1 | 87.4 | 52.1 | 83.6 | 5.4 | 31.7 | 8.0 |
| GTTP | 20.5 | 89.9 | 54.5 | 85.2 | 4.8 | 26.3 | 11.4 | 38.8 | 88.9 | 53.2 | 84.2 | 4.2 | 25.1 | 10.7 |
| TMem | 23.1 | 87.4 | 52.9 | 83.4 | 4.1 | 23.9 | 10.9 | 40.5 | 88.2 | 53.7 | 84.6 | 3.5 | 26.6 | 11.7 |
| SKT | 53.3 | 85.5 | 90.1 | 64.8 | 8.4 | 30.0 | 2.17 | 59.2 | 86.3 | 88.2 | 66.3 | 7.8 | 29.1 | 2.21 |
| KIVc | 20.8 | 91.5 | 54.7 | 84.3 | 6.2 | 32.8 | 10.4 | 29.7 | 90.2 | 53.9 | 83.3 | 5.3 | 31.7 | 12.0 |
| KIVd | 15.6 | 92.8 | 56.4 | 85.8 | 7.1 | 33.7 | 3.5 | 25.3 | 90.4 | 55.3 | 86.6 | 6.5 | 34.1 | 4.5 |
| KIVp | 19.3 | 91.6 | 55.8 | 86.9 | 8.4 | 37.2 | 2.8 | 31.5 | 89.9 | 54.0 | 86.4 | 7.6 | 35.8 | 2.7 |
| Test Unseen | Gold Knowledge | Predicted Knowledge | ||||||||||||
| Method | PPL | AVE | EXT | GRY | Dist1 | Dist2 | ΔBk | PPL | AVE | EXT | GRY | Dist1 | Dist2 | ΔBk |
| HRED | 56.2 | 88.3 | 52.5 | 84.0 | 2.4 | 19.4 | 8.9 | 88.5 | 87.2 | 51.4 | 82.0 | 2.2 | 18.9 | 11.8 |
| CVAE | 68.7 | 85.2 | 50.5 | 81.9 | 3.0 | 24.9 | 10.3 | 75.3 | 84.6 | 50.3 | 81.8 | 2.8 | 22.6 | 9.2 |
| GTTP | 49.1 | 86.9 | 51.8 | 83.8 | 2.8 | 26.7 | 13.0 | 81.9 | 85.9 | 52.3 | 83.5 | 2.5 | 22.4 | 11.0 |
| TMem | 47.3 | 86.3 | 52.2 | 81.5 | 2.6 | 21.2 | 9.8 | 70.6 | 87.1 | 52.9 | 82.4 | 2.5 | 20.4 | 10.9 |
| SKT | 83.0 | 84.5 | 89.3 | 62.8 | 5.76 | 19.3 | 2.74 | 92.1 | 82.5 | 87.6 | 63.5 | 5.21 | 17.3 | 3.16 |
| KIVc | 49.6 | 89.1 | 52.7 | 84.3 | 2.8 | 22.6 | 9.6 | 65.4 | 88.7 | 52.5 | 83.9 | 2.7 | 21.8 | 9.2 |
| KIVd | 44.2 | 90.2 | 53.6 | 84.5 | 3.5 | 23.8 | 4.2 | 57.2 | 89.3 | 52.8 | 83.7 | 3.3 | 24.6 | 4.7 |
| KIVp | 38.7 | 89.7 | 55.9 | 82.8 | 4.8 | 30.2 | 3.1 | 50.9 | 90.2 | 53.6 | 82.4 | 4.0 | 29.5 | 3.5 |
| Test Seen | Single Reference | Multiple References | ||||||||||
|---|---|---|---|---|---|---|---|---|---|---|---|---|
| PPL | AVE | EXT | GRY | Dist1 | Dist2 | PPL | AVE | EXT | GRY | |||
| SKT | 46.3 | 88.1 | 90.7 | 70.6 | 6.76 | 28.5 | - | 52.1 | 94.5 | 96.1 | 77.2 | - |
| KIVc | 9.251 | 84.9 | 42.0 | 77.3 | 0.4 | 2.4 | 3.6 | 7.204 | 87.5 | 41.4 | 68.1 | 10.3 |
| KIVd | 3.141 | 97.0 | 88.1 | 96.1 | 6.5 | 34.8 | 3.5 | 0.502 | 98.3 | 94.0 | 97.3 | 8.0 |
| KIVp | 2.665 | 97.0 | 88.7 | 96.2 | 6.6 | 34.8 | 0.04 | 0.415 | 98.9 | 94.2 | 97.5 | 3.2 |
| Models | Test Seen | Test Unseen | ||||||||||||||
|---|---|---|---|---|---|---|---|---|---|---|---|---|---|---|---|---|
| Gold Knowledge | Predicted Knowledge | Gold Knowledge | Predicted Knowledge | |||||||||||||
| C | F | KC | KD | C | F | KC | KD | C | F | KC | KD | C | F | KC | KD | |
| Gold | 4.08 | 4.12 | 3.60 | 3.05 | 4.08 | 4.12 | 3.60 | 3.05 | 4.19 | 4.26 | 3.73 | 3.02 | 4.19 | 4.26 | 3.73 | 3.02 |
| HRED | 3.39 | 3.52 | 2.14 | 2.45 | 3.15 | 3.17 | 1.71 | 2.26 | 3.17 | 3.29 | 1.92 | 2.38 | 3.09 | 2.95 | 1.69 | 1.84 |
| CVAE | 3.14 | 3.08 | 2.62 | 2.58 | 3.00 | 2.87 | 2.06 | 2.47 | 3.08 | 2.99 | 2.51 | 2.31 | 3.07 | 2.82 | 2.63 | 2.19 |
| GTTP | 3.31 | 3.47 | 3.26 | 1.94 | 3.28 | 3.28 | 3.19 | 1.88 | 3.09 | 3.30 | 3.15 | 2.01 | 3.05 | 3.29 | 3.03 | 1.97 |
| TMem | 3.32 | 3.37 | 3.01 | 2.46 | 3.18 | 3.22 | 2.86 | 2.29 | 2.91 | 3.04 | 2.76 | 2.24 | 2.75 | 2.83 | 2.65 | 2.10 |
| SKT | 3.12 | 3.09 | 3.21 | 2.89 | 3.10 | 3.02 | 2.61 | 2.13 | 2.12 | 3.13 | 3.24 | 3.15 | 2.23 | 2.31 | 3.10 | 2.45 |
| KIVc | 3.39 | 3.14 | 3.19 | 2.52 | 3.15 | 3.22 | 2.96 | 2.46 | 2.94 | 2.82 | 2.79 | 2.35 | 2.87 | 2.72 | 2.58 | 2.22 |
| KIVd | 3.53 | 3.67 | 3.21 | 2.58 | 3.36 | 3.18 | 3.16 | 2.37 | 3.19 | 3.43 | 3.16 | 2.36 | 3.18 | 3.14 | 3.08 | 2.27 |
| KIVp | 3.49 | 3.62 | 3.31 | 2.87 | 3.35 | 3.27 | 3.14 | 2.59 | 3.13 | 3.31 | 3.21 | 2.48 | 3.19 | 3.09 | 3.16 | 2.39 |
Disclaimer/Publisher’s Note: The statements, opinions and data contained in all publications are solely those of the individual author(s) and contributor(s) and not of MDPI and/or the editor(s). MDPI and/or the editor(s) disclaim responsibility for any injury to people or property resulting from any ideas, methods, instructions or products referred to in the content. |
© 2023 by the authors. Licensee MDPI, Basel, Switzerland. This article is an open access article distributed under the terms and conditions of the Creative Commons Attribution (CC BY) license (https://creativecommons.org/licenses/by/4.0/).
Share and Cite
Liang, X.; Du, J.; Niu, T.; Zhou, L.; Xu, R. Knowledge Interpolated Conditional Variational Auto-Encoder for Knowledge Grounded Dialogues. Appl. Sci. 2023, 13, 8707. https://doi.org/10.3390/app13158707
Liang X, Du J, Niu T, Zhou L, Xu R. Knowledge Interpolated Conditional Variational Auto-Encoder for Knowledge Grounded Dialogues. Applied Sciences. 2023; 13(15):8707. https://doi.org/10.3390/app13158707
Chicago/Turabian StyleLiang, Xingwei, Jiachen Du, Taiyu Niu, Lanjun Zhou, and Ruifeng Xu. 2023. "Knowledge Interpolated Conditional Variational Auto-Encoder for Knowledge Grounded Dialogues" Applied Sciences 13, no. 15: 8707. https://doi.org/10.3390/app13158707
APA StyleLiang, X., Du, J., Niu, T., Zhou, L., & Xu, R. (2023). Knowledge Interpolated Conditional Variational Auto-Encoder for Knowledge Grounded Dialogues. Applied Sciences, 13(15), 8707. https://doi.org/10.3390/app13158707

