Discrete Data Rate Adaptation for Wireless Body Area Networks
Abstract
1. Introduction
- A utility-based formal optimization model for discrete data rate adaptation in WBANs with a tree topology.
- Optimization algorithms to solve the discrete data rate adaptation based on the multiple-choice multidimensional knapsack problem.
- Evaluation of the proposed algorithms, where the greedy method closely approximated the optimum in a short running time and proved to be suitable for real-time usage.
- Further results of the evaluation show that solving the proposed model has much higher accuracy than adapting the solutions of more common models.
2. Related Work
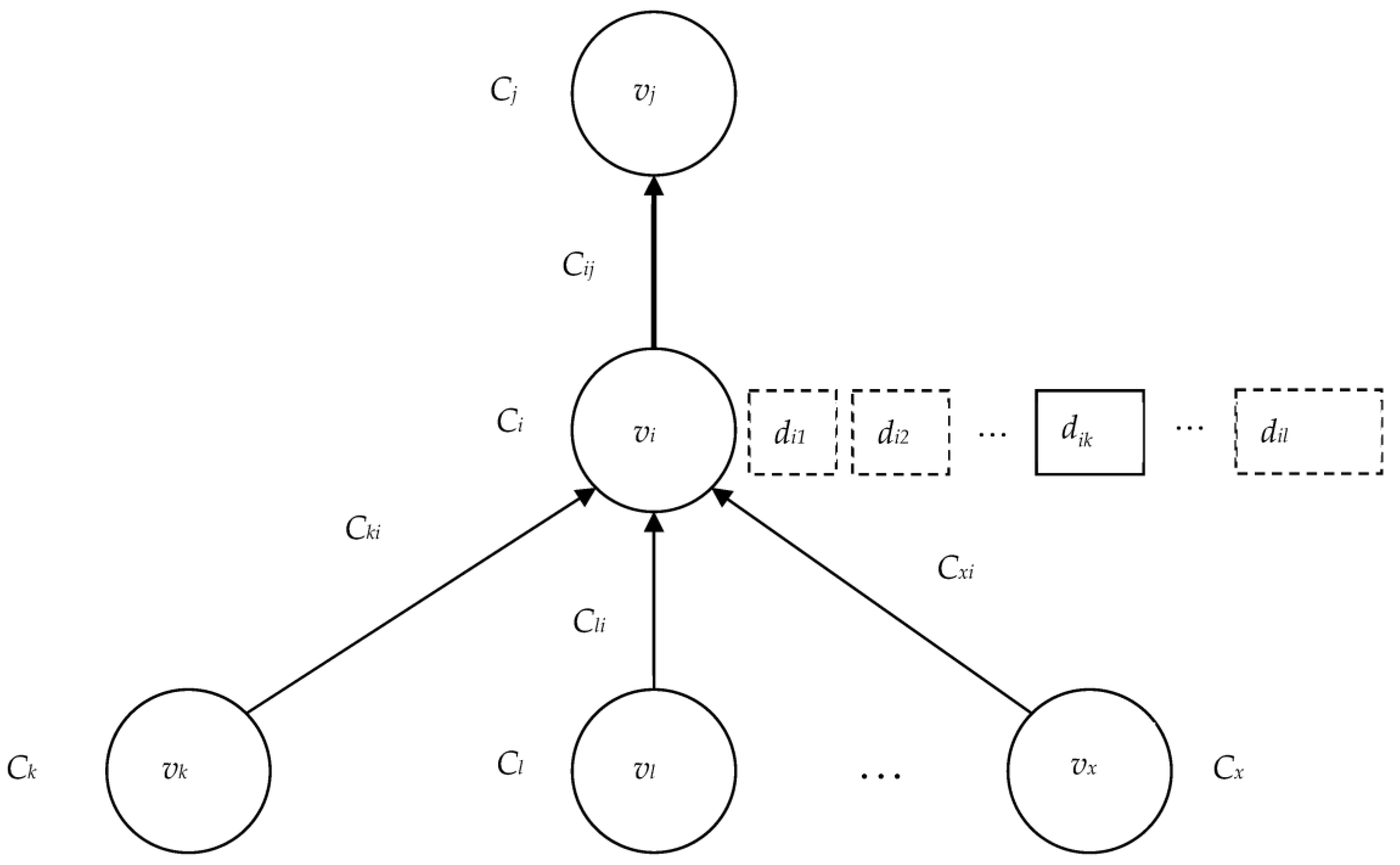
3. Optimization Problem Model
- The routing tree: Gr(V, Er);
- The set of possible data variations for each sensor node: Di for vi ϵ S;
- Utility for each data variation: u(dik) for vi ϵ S, 1 ≤ k ≤ li;
- Bit rate for each data variation: r(dik) for vi ϵ S, 1 ≤ k ≤ li;
- Bandwidth of each edge: Cij for eij ϵ Er;
- Limit on the bit rate for each node: Ci for vi ϵ V.
- Selected data variation for each sensor: di ϵ Di for vi ϵ S;
- the total utility of the selected data variations:
- The capacity constraint for each network node vj ϵ V:
- The capacity constraint for each network edge used for routing ejj ϵ Er:
4. Optimization Algorithms
4.1. Algorithmic Background
4.2. Greedy Algorithm
| Algorithm 1: Greedy method |
| 1 initialization: 2 Let the index of the current data variation for each sensor be zero: ki: = 0, 3 and the current data variation for each sensor be empty: di: = di0 for vi ϵ S 4 Create a list L2 from all sensors vi ϵ S 5 for each sensor vi ϵ S 6 Sort the data variations in decreasing order of ratio u(dik)/r(dik) 7 while L2 is not empty 8 Let max denote the highest ratio of utility and data rate found in the iteration so far. Let its initial value be 0: max: = 0 9 Let m denote the sensor node where the highest ratio was found. Let it be null initially: m: = null 10 Iterate through L2 11 Take the next item (vi) from L2 12 Calculate the minimum available capacity (Ci) along the route Ri from node vi to the sink in the routing tree Gr(V, Er) 13 Let k: = ki, di: = dik 14 while r(di) > Ci and k ≤ li 15 k: = k + 1, di: = dik 16 if k ≤ li 17 if u(di)/r(di) > max 18 max: = u(di)/r(di) 19 m: = vi 20 else 21 Remove vi from L2 22 if m! = null 23 Move the current data variation dm for sensor m to its next data variation: km: = km + 1, dm: = dm(km) 24 Decrease the available capacities along the route Rm with Δr(dm) |
4.3. Dynamic Programming
| Algorithm 2: Dynamic programming on the routing tree (Traverse) |
| 1 input: node n 2 output: L: list of the possible data variations that can be transmitted by node n if n is not the sink 3 max: the maximum utility if n is the sink 4 if n is a leaf of the routing tree Gr(V, Er) 5 Create an empty list L 6 Calculate the minimum available capacity (Ci) along the route Ri from node vi to the sink in the routing tree Gr(V, Er) 7 for each variant dni in the set of possible data variations Dn 8 if r(dni) ≤ Ci 9 add dni to L 10 return L 11 else 12 for each node j where enj ϵ Er 13 Lj: = call Traverse (j) 14 L = call DP({Lj: enj ϵ Er}, Ci) 15 if n is not the sink 16 return L 17 else 18 max: = 0 19 for each variant dl in list L 20 if r(dl) ≤ Ci 21 if u(dl) > max 22 max = u(dl) 23 return max |
5. Evaluation
5.1. Multiple Runs
5.2. Running Times
6. Conclusions
Funding
Institutional Review Board Statement
Informed Consent Statement
Data Availability Statement
Conflicts of Interest
References
- Yaghoubi, M.; Ahmed, K.; Miao, Y. Wireless Body Area Network (WBAN): A Survey on Architecture, Technologies, Energy Consumption, and Security Challenges. J. Sens. Actuator Netw. 2022, 11, 67. [Google Scholar] [CrossRef]
- Taleb, H.; Nasser, A.; Andrieux, G.; Charara, N.; Motta Cruz, E. Wireless technologies, medical applications and future challenges in WBAN: A survey. Wirel. Netw. 2021, 27, 5271–5295. [Google Scholar] [CrossRef]
- Kathuria, M.; Gambhir, S. Quality of service provisioning transport layer protocol for WBAN system. In Proceedings of the 2014 International Conference on Reliability Optimization and Information Technology (ICROIT), Faridabad, India, 6–8 February 2014; IEEE: Piscataway, PJ, USA, 2014; pp. 222–228. [Google Scholar]
- Rodrigues, V.F.; Righi, R.D.; da Costa, C.A.; Antunes, R.S. Smart Hospitals and IoT Sensors: Why Is QoS Essential Here? J. Sens. Actuator Netw. 2022, 11, 33. [Google Scholar] [CrossRef]
- Alam, M.M.; Hamida, E. Ben Surveying wearable human assistive technology for life and safety critical applications: Standards, challenges and opportunities. Sensors 2014, 14, 9153–9209. [Google Scholar] [CrossRef]
- Ben Elhadj, H.; Elias, J.; Chaari, L.; Kamoun, L. A Priority based Cross Layer Routing Protocol for healthcare applications. Ad Hoc Netw. 2016, 42, 1–18. [Google Scholar] [CrossRef]
- Liu, B.; Yan, Z.; Chen, C.W. Medium Access Control for Wireless Body Area Networks with QoS Provisioning and Energy Efficient Design. IEEE Trans. Mob. Comput. 2017, 16, 422–434. [Google Scholar] [CrossRef]
- Algabroun, H. Dynamic sampling rate algorithm (DSRA) implemented in self-adaptive software architecture: A way to reduce the energy consumption of wireless sensors through event-based sampling. Microsyst. Technol. 2020, 26, 1067–1074. [Google Scholar] [CrossRef]
- Bregar, K.; Krištofelc, T.; Depolli, M.; Avbelj, V.; Rashkovska, A. Power Autonomy Estimation of Low-Power Sensor for Long-Term ECG Monitoring. Sensors 2022, 22, 5070. [Google Scholar] [CrossRef]
- IEEE. IEEE Standard for Local and Metropolitan Area Networks—Part 15.6: Wireless Body Area Networks. IEEE Stand. 2014, 2014, 74. [Google Scholar]
- Shan, F.; Luo, J.; Wu, W.; Li, M.; Shen, X. Discrete Rate Scheduling for Packets with Individual Deadlines in Energy Harvesting Systems. IEEE J. Sel. Areas Commun. 2015, 33, 438–451. [Google Scholar] [CrossRef]
- Khairnar, P.S.; Mehta, N.B. Discrete-Rate Adaptation and Selection in Energy Harvesting Wireless Systems. IEEE Trans. Wirel. Commun. 2015, 14, 219–229. [Google Scholar] [CrossRef]
- Skorin-Kapov, L.; Ivesic, K.; Aristomenopoulos, G.; Papavassiliou, S. Approaches for Utility-Based QoE-Driven Optimization of Network Resource Allocation for Multimedia Services. In Lecture Notes in Computer Science (including Subseries Lecture Notes in Artificial Intelligence and Lecture Notes in Bioinformatics); Springer: Berlin/Heidelberg, Germany, 2013; Volume 7754, pp. 337–358. ISBN 9783642367830. [Google Scholar]
- Gomes, R.L.; Bittencourt, L.; Madeira, E.; Cerqueira, E.; Gerla, M. Management of virtual network resources for multimedia applications. Multimed. Syst. 2017, 23, 405–419. [Google Scholar] [CrossRef]
- Gómez, G.; de Torres, E.; Lorca, J.; García, R.; Pérez, Q.; Arias, E. Assessment of Multimedia Services QoS/QoE over LTE Networks. In Communications in Computer and Information Science; Springer: Berlin/Heidelberg, Germany, 2014; Volume 455, pp. 257–272. [Google Scholar]
- La, R.J.; Anantharam, V. Utility-based rate control in the Internet for elastic traffic. IEEE/ACM Trans. Netw. 2002, 10, 272–286. [Google Scholar] [CrossRef]
- Fu, X.; Modiano, E. Learning-NUM: Network Utility Maximization with Unknown Utility Functions and Queueing Delay. IEEE/ACM Trans. Netw. 2022, 30, 2788–2803. [Google Scholar] [CrossRef]
- Cao, Y.; Sun, B.; Tsang, D.H.K. Online Network Utility Maximization: Algorithm, Competitive Analysis, and Applications. IEEE Trans. Control Netw. Syst. 2022, 10, 274–284. [Google Scholar] [CrossRef]
- Li, L.; Long, J.; Zhou, W.; Jolfaei, A.; Haghighi, M.S. Joint Optimization of Energy Consumption and Data Transmission in Smart Body Area Networks. Sensors 2022, 22, 9023. [Google Scholar] [CrossRef]
- Song, G.; Li, Y. Cross-layer optimization for OFDM wireless networks-part I: Theoretical framework. IEEE Trans. Wirel. Commun. 2005, 4, 614–624. [Google Scholar] [CrossRef]
- Wang, C.; Guo, K.; Hu, X. The QoS and Energy Consumption Efficiency Trade-off Model Based on Utility Function in WBAN. In Proceedings of the 2021 5th International Conference on Electronic Information Technology and Computer Engineering, Xiamen, China, 22–24 October 2021; ACM: New York, NY, USA; pp. 1356–1360. [Google Scholar]
- Misra, S.; Moulik, S.; Chao, H.C. A cooperative Bargaining solution for priority-based data-rate tuning in a Wireless Body Area Network. IEEE Trans. Wirel. Commun. 2015, 14, 2769–2777. [Google Scholar] [CrossRef]
- Mekathoti, V.; Nithya, B. A Survey on Congestion Control Algorithms of Wireless Body Area Network. In Lecture Notes in Electrical Engineering; Springer: Singapore, 2021; Volume 735, pp. 373–387. ISBN 9789813369764. [Google Scholar]
- Kim, B.-S.; Shah, B.; He, T.; Kim, K.-I. A survey on analytical models for dynamic resource management in wireless body area networks. Ad Hoc Netw. 2022, 135, 102936. [Google Scholar] [CrossRef]
- Ababneh, N.; Timmons, N.; Morrison, J.; Tracey, D. Energy-balanced rate assignment and routing protocol for body area networks. In Proceedings of the 2012 26th International Conference on Advanced Information Networking and Applications Workshops, Fukuoka, Japan, 26–29 March 2012; pp. 466–467. [Google Scholar] [CrossRef]
- Baek, Y.; Lee, B.; Li, J.; Shu, Q.; Han, J.; Han, K. An adaptive rate control for congestion avoidance in wireless body area networks. In Proceedings of the 2009 International Conference on Cyber-Enabled Distributed Computing and Knowledge Discovery, Zhangjiajie, China, 10–11 October 2009; IEEE: Piscataway, NJ, USA, 2009; pp. 1–4. [Google Scholar]
- Ghanavati, S.; Abawaji, J.; Izadi, D. A Congestion Control Scheme Based on Fuzzy Logic in Wireless Body Area Networks. In Proceedings of the 2015 IEEE 14th International Symposium on Network Computing and Applications, Cambridge, MA, USA, 28–30 September 2015; IEEE: Piscataway, NJ, USA, 2015; pp. 235–242. [Google Scholar]
- Anwar, M.; Abdullah, A.H.; Saedudin, R.R.; Masud, F.; Ullah, F. CAMP: Congestion Avoidance and Mitigation Protocol for Wireless Body Area Networks. Int. J. Integr. Eng. 2018, 10, 59–65. [Google Scholar] [CrossRef]
- Manfredi, S. Congestion control for differentiated healthcare service delivery in emerging heterogeneous wireless body area networks. IEEE Trans. Wirel. Commun. 2014, 21, 80–90. [Google Scholar] [CrossRef]
- Liu, Z.; Liu, B.; Chen, C.W. Transmission-Rate-Adaption Assisted Energy-efficient Resource Allocation with QoS Support in WBANs. IEEE Sens. J. 2017, 17, 5767–5780. [Google Scholar] [CrossRef]
- Liu, Z.; Liu, B.; Chen, C.W. Joint Power-Rate-Slot Resource Allocation in Energy Harvesting-Powered Wireless Body Area Networks. IEEE Trans. Veh. Technol. 2018, 67, 12152–12164. [Google Scholar] [CrossRef]
- Goyal, R.; Patel, R.B.; Bhaduria, H.S.; Prasad, D. An Energy Efficient QoS Supported Optimized Transmission Rate Technique in WBANs. Wirel. Pers. Commun. 2021, 117, 235–260. [Google Scholar] [CrossRef]
- Kiran, M.V.; Nithya, B. Network Status Aware Congestion Control (NSACC) Algorithm for Wireless Body Area Network. Procedia Comput. Sci. 2020, 171, 42–51. [Google Scholar] [CrossRef]
- Kathuria, M.; Gambhir, S. Reliable packet transmission in WBAN with dynamic and optimized QoS using multi-objective lion cooperative hunt optimizer. Multimed. Tools Appl. 2021, 80, 10533–10576. [Google Scholar] [CrossRef]
- Han, B.; Leblet, J.; Simon, G. Hard multidimensional multiple choice knapsack problems, an empirical study. Comput. Oper. Res. 2010, 37, 172–181. [Google Scholar] [CrossRef]
- Yang, J.; Kim, Y.H.; Yoon, Y. A Memetic Algorithm with a Novel Repair Heuristic for the Multiple-Choice Multidimensional Knapsack Problem. Mathematics 2022, 10, 602. [Google Scholar] [CrossRef]
- Mansini, R.; Zanotti, R. A core-based exact algorithm for the multidimensional multiple choice knapsack problem. INFORMS J. Comput. 2020, 32, 1061–1079. [Google Scholar] [CrossRef]
- Khan, S.; Li, K.F.; Manning, E.G.; Watson, R.; Shoja, G.C. Optimal Quality of Service routing and admission control using the Utility Model. Futur. Gener. Comput. Syst. 2003, 19, 1063–1073. [Google Scholar] [CrossRef]
- Khan, S.; Li, K.F.; Manning, E.G.; Akbar, M.M. Solving the Knapsack Problem for Adaptive Multimedia Systems. Stud. Inform. Universalis 2002, 2, 157–178. [Google Scholar]
- Bellman, R. Dynamic Programming; Press Princeton: Princeton, NJ, USA, 1957. [Google Scholar]
- Dudziński, K.; Walukiewicz, S. Exact methods for the knapsack problem and its generalizations. Eur. J. Oper. Res. 1987, 28, 3–21. [Google Scholar] [CrossRef]
- Szkaliczki, T.; Eberhard, M.; Hellwagner, H.; Szobonya, L. Piece selection algorithms for layered video streaming in P2P networks. Discret. Appl. Math. 2014, 167, 269–279. [Google Scholar] [CrossRef]
- Gavalas, N. Solving the Multiple Choice Knapsack Problem. 2019. Available online: https://nickgavalas.com/solving-the-multiple-choice-knapsack-problem/ (accessed on 15 January 2023).






| Paper | Data Rate Domain | Optimization Goal | Constraints | Network Topology | Method for Rate Adaptation |
|---|---|---|---|---|---|
| Ababneh et al. [25] | continuous | utility | link and relay node capacity | multi-hop network | energy-balanced rate assignment and routing protocol, integer linear programming |
| Baek et al. [26] | continuous | throughput | buffer capacity | multi-hop network, tree | exponential weighted moving average using congestion risk degree and valuation function |
| Ghanavati et al. [27] | continuous | throughput | buffer capacity | multi-hop network, tree | fuzzy logic and formula for sharing data rate, hop-by-hop propagation of the congestion information |
| Anwar et al. [28] | continuous | throughput | buffer capacity | multi-hop network | formula using the queue occupancy of the upstream node |
| Manfredi [29] | continuous | utility | sink bandwidth | star | rate control law for bandwidth allocation |
| Liu et al. [30] | discrete | energy, packet loss rate | packet loss rate, throughput | star | transmission rate adaption policy (TRAP), heuristics |
| Liu et al. [31] | discrete | throughput | delay, packet loss rate, energy harvesting rate, transmission power | star | joint power-rate control scheme, geometric programming |
| Goyal et al. [32] | discrete | energy | packet loss rate, throughput, delay | star | GABAT TRAP, TRAP followed by genetic algorithm (GA) with BAT algorithm |
| Kiran and Nithya [33] | continuous | throughput, packet transmission rate | buffer occupancy level, BSN priority, packet arrival rate | star | fuzzy logic and logarithmic growth for the rate |
| Kathuria and Sapna [34] | continuous | packet transmission rate | queue size | star | fast start and stabilized rate adjustment strategies |
| current paper | discrete | utility | bandwidth | multi-hop network, tree | knapsack problem-based algorithms |
| Number of Nodes | 5 | 10 | 15 | 20 | 25 |
|---|---|---|---|---|---|
| greedy | 96.8 | 100 | 96.7 | 100 | 100 |
| DP | 100 | 100 | 100 | 100 | 100 |
| ILP | 100 | 100 | 100 | 100 | 100 |
| cont. + rounding | 65.5 | 100 | 73.5 | 84.8 | 97.6 |
| throughput | 100 | 88.7 | 89.6 | 81.3 | 91.7 |
| Number of Nodes | 5 | 10 | 15 | 20 | 25 |
|---|---|---|---|---|---|
| 1 | 8 | 14 | 26 | 32 | 30 |
| DP | 485 | 1893 | 2395 | 2870 | 3198 |
| ILP | 28,206 | 14,709 | 14,877 | 14,201 | 44,595 |
Disclaimer/Publisher’s Note: The statements, opinions and data contained in all publications are solely those of the individual author(s) and contributor(s) and not of MDPI and/or the editor(s). MDPI and/or the editor(s) disclaim responsibility for any injury to people or property resulting from any ideas, methods, instructions or products referred to in the content. |
© 2023 by the author. Licensee MDPI, Basel, Switzerland. This article is an open access article distributed under the terms and conditions of the Creative Commons Attribution (CC BY) license (https://creativecommons.org/licenses/by/4.0/).
Share and Cite
Szkaliczki, T. Discrete Data Rate Adaptation for Wireless Body Area Networks. Appl. Sci. 2023, 13, 8529. https://doi.org/10.3390/app13148529
Szkaliczki T. Discrete Data Rate Adaptation for Wireless Body Area Networks. Applied Sciences. 2023; 13(14):8529. https://doi.org/10.3390/app13148529
Chicago/Turabian StyleSzkaliczki, Tibor. 2023. "Discrete Data Rate Adaptation for Wireless Body Area Networks" Applied Sciences 13, no. 14: 8529. https://doi.org/10.3390/app13148529
APA StyleSzkaliczki, T. (2023). Discrete Data Rate Adaptation for Wireless Body Area Networks. Applied Sciences, 13(14), 8529. https://doi.org/10.3390/app13148529
