Abstract
To study the lane-change interaction characteristics of intelligent connected vehicles (ICVs) and reduce the risk of vehicle lane-changing decisions, a decision model based on the lane-changing game characteristics of the ICV is proposed in this paper. In the modeling process, the characteristics of vehicle lane-changing interaction behavior are analyzed based on evolutionary game theory and the vehicle game lane-changing payoff functions are quantified. The stability of the game equilibrium points is analyzed by using a dynamic evolution equation, and sensitivity analysis of the main factors affecting vehicle lane changes and the time to the collision of vehicles is conducted. The SUMO software is used to simulate and verify the vehicle game decision model, and the results show that the game decision system converges to different optimal strategy combinations under different traffic conditions, and this model can effectively reduce the decision-making conflict and the collision risk of vehicles.
1. Introduction
Vehicle following and lane changing are the two most important research directions in road traffic, though vehicle lane changing has more complex traffic characteristics than vehicle-following behavior, reflecting the competition between vehicles in adjacent lanes for the right of way in time and space []. The application of IoT technology has promoted the development of the autonomous driving industry and facilitated the safety and reliability of vehicles []. With the application and popularity of IoT devices, information sharing between urban road facilities and vehicles or other facilities is achieved through IoT technology, laying the foundation for the future development of intelligent transportation []. Assisted driving or autonomous driving technology has also been developed rapidly as a result, and more and more vehicles are equipped with advanced assisted driving systems to help drivers reduce the driving burden and improve vehicle safety.
Vehicle lane changing is a topical and difficult problem in autonomous driving technology. Vehicle lane changes can usually be divided into free lane changes and mandatory lane changes, and the vehicle in the free lane-change scenario usually pursues a higher driving speed or driving comfort, while the mandatory lane change is lane-change behavior made by the vehicle due to the limitation of road conditions, and the process reflects the best decision made by the driver after perceiving the change of information of the surrounding traffic environment and weighing up the gains and losses. Vehicle decision making is one of the core modules of autonomous vehicles and a process that integrates vehicle travel efficiency and safety []. Existing research on vehicle lane changes usually focuses on lane-change model control, trajectory prediction, etc. However, the study of vehicle lane-change interaction characteristics and the study of lane-change game mechanisms have not received sufficient attention. Although many game theory-based vehicle lane-changing models have high decision accuracy and reliability, researchers usually apply the game results directly to the control aspects of the model and lack a deeper analysis of the lane-changing game mechanism.
The objective of this paper is to propose an evolutionary game-based vehicle lane-changing decision model, to study and analyze the characteristics of vehicle lane-change interactions, the convergence direction of decision combinations, and the impact of the evolutionary game lane-change decision on vehicle safety. The evolutionary game is a theoretical approach to analyzing the rationality of decision making through dynamic evolutionary equations, which can consider the limited rationality of decision makers and reduce the assumptions of the model compared with other game models. At present, the research on vehicle lane changes mostly focuses on the highway [,,] and intersection scenarios [,], because these scenarios belong to traffic bottleneck sections, and vehicle lane changing in bottleneck sections is a difficult problem. In this paper, taking the urban intersection road as an example, the forced lane-change interaction characteristics of connected autonomous vehicles are analyzed; the convergence process of vehicle lane-change decisions is dynamically analyzed by an evolutionary game model, and sensitivity analysis of the main factors is conducted to explore the influence of road traffic environment changes on vehicle lane changes; and the vehicle trajectory and output collision time are simulated by SUMO to analyze the collision risk of vehicles; and, finally, further research is summarized and extended.
The organization of this paper is as follows: Section 1 introduces the research on lane changing for autonomous vehicles. Section 2 reviews the relevant studies on the vehicle lane-change game. Section 3 analyzes the game characteristics of vehicle lane changes with the example of an intersection roadway. Section 4 constructs the payoff matrix and dynamic evolution equation for both sides of the game. In Section 5, Simulation experiments on the decision-making algorithm are carried out, sensitivity analysis of the main factors affecting vehicle lane changing is performed, vehicle trajectory and collision risks are compared, and validity threats are explained. The last section provides the conclusions.
2. Literature Review
In previous studies, many researchers have analyzed and optimized the decision-making process of a vehicle lane change in the hope that autonomous vehicles can reduce the driver’s driving burden and safety risks and improve traffic efficiency. Traffic safety is the most important concern for road traffic participants, and the study of vehicle lane changes can help reduce the risk of decision conflicts and lane changes for vehicles [,]. With the cross development of game theory and the transportation field, researchers solve the decision conflict problem by establishing a game model and framework of vehicle lane changes, which can usually be divided into cooperative and non-cooperative games.
2.1. Non-Cooperative Game Model
The non-cooperative game model is an optimal strategy for maximizing self-interest and weighing up the gains and losses. In the study of vehicle non-cooperative game lane changing, Qu et al. [] analyzed the dynamic influences of vehicle lane changing by quantifying the decision intention based on collision probability and established a lane-changing model through game theory. Yao et al. [] analyzed the lane-change game relationship between buses and social vehicles at bus bay stops through an uncooperative mixed strategy game by analyzing the dynamic influencing factors of vehicle lane changes, and the results showed that the game model can effectively predict each other’s lane-change strategies. Arbis et al. [] used a quantitative Nash equilibrium framework to model vehicle lane-change behavior and concluded that lengthening acceleration lanes or lowering the speed limit of ramps can effectively reduce risky conflicts on freeway ramps.
Some researchers have also improved the vehicle game process by taking into account the driver factor to establish a model more consistent with realistic driving scenarios. Dai et al. [] established a vehicle lane-change game model for the upstream sections of urban intersections by considering driver demand based on a mixed strategy game, but the lane-change model based on the mixed strategy game still has decision conflicts. Hang et al. [] combined driver style with game theory to construct a payoff matrix for different driving types and validated it with a model predictive control algorithm. Despite the potential of non-cooperative game models in vehicle lane changing, the characteristics of non-cooperative game theory dictate that such models cannot maximize overall benefits and therefore have limitations.
2.2. Cooperative Game Model
Unlike non-cooperative games, cooperative games aim to maximize the benefits of all subjects. Cooperative game theory realizes the benefits of decision making through the allocation process by enabling participants to form binding coalitions or groups.
Sun et al. [] proposed a two-lane collaborative lane-change model by analyzing the impact of lane-change behavior on the target lane, and the experimental results showed that the method can effectively reduce the oscillation of traffic flow. Zheng et al. [] proposed a game model for optimizing the decision of lane-change vehicles by considering the influence of surrounding vehicle motion state and vehicle–vehicle communication, which can effectively improve traffic operation efficiency and reduce traffic oscillations. Liu et al. [] proposed a cooperative LPV/MPC and risk assessment cooperative driving strategy, and the results showed that the algorithm can effectively assist drivers in reducing vehicle risk. Yu et al. [] established a multi-player dynamic game model based on game theory considering the driving status of surrounding vehicles, which can effectively reflect the driving intention of surrounding vehicles and the impact of different decisions on the vehicle. Pan et al. [] proposed a distributed structure multi-vehicle cooperative control model that combines game theory and an MPC algorithm to obtain the optimal sequence of multi-lane vehicles and vehicle acceleration.
The cooperative game has certain advantages in terms of overall effectiveness, but it is necessary to consider the willingness of the participants to cooperate, the degree of cooperation of the participants, and the implementability of the cooperative game determined by individual expectations.
2.3. Extension of Game Lane-Change Model
Although the above game models have been widely used in research in the field of transportation, there are still problems that need to be improved. Therefore, several researchers have extended the game-theoretic-based lane-change model, and researchers have improved the adaptability of the game model by changing the lane-change scenario.
Hang et al. [] proposed a cooperative decision-making method for ICVs to reduce vehicle conflicts at unsignalized intersections by forming a game coalition. Smirnov et al. [] proposed a game theory-based model of urban intersection lane changes by considering the cooperation level of vehicles in adjacent lanes, which can accurately predict the decision propensity of game participants. Zhang et al. [] studied lane-change game behavior in a foggy environment by analyzing lane-change intention and considering visual features, which has contributed to the study of lane-change models in complex weather environments. In addition, the optimal strategy that satisfies both individual and overall benefits can be obtained by combining deep learning with game theory []. It is also of great importance to study lane-changing behavior using other game branch theories such as repeated games [].
According to the above literature review, researchers have conducted a large number of studies on vehicle lane changing based on game theory and the game model of lane changes of vehicles has great potential in reducing both decision conflicts and vehicle collisions; these studies focus on making the decision result of vehicle lane changing through game theory and lack research on the game mechanism of lane changing. It is necessary to study the evolution law of vehicle lane-change games, and it is helpful to explore the intrinsic characteristics of vehicle game behavior. We will present the methodology and experiments in the next sections.
3. Characteristics of Vehicle Lane-Changing Game
Vehicle lane changes as a common microscopic driving behavior in road traffic has the characteristic of changing with driving intention, and vehicle lane changes can usually be divided into free lane changes and forced lane changes according to lane-change intention. The urban road is the main scenario of vehicle driving, with the driver generally pursuing a higher driving speed when the vehicle drives through the upstream intersection exit lane; therefore, the decision to change lanes freely is usually made.
When approaching the intersection entrance lanes, conservative drivers tend to change to the target lane early, while drivers who are more confident in their driving skills or have an aggressive driving style tend to choose the lane with a higher speed. Left-turning vehicles choose to enter the left-turning lane early, while straight-traveling vehicles choose to stay in the straight lane, and then all vehicles move into the intersection inlet lanes in turn and wait for the green light to release. This paper assumes that vehicles are not driving aggressively and that left-turning vehicles should move into the left-turn lane early to comply with traffic rules; however, the lane-change conditions are usually restricted by the surrounding vehicles and road traffic, so the vehicle lane-change behavior at this time is usually a mandatory lane-change behavior. Figure 1 represents the lane-change game process for vehicles.

Figure 1.
Diagram of vehicle gaming lane changes.
In this paper, we assume that the LV (Lane-changing Vehicle) is the vehicle that needs to turn left and the RV (Rear Vehicle) is the vehicle driving in the left-turn lane. The vehicles in the model are assumed to be ICVs, which are equipped with onboard detectors and sensors, and the vehicles can transmit information with road facilities such as signals. Vehicles obtain decision combinations through the upper decision control system, and the system establishes a gain matrix for each vehicle and determines the optimal driving decision through evolutionary gaming.
The intelligence of the ICVs is reflected in the ability to reduce the driving burden of the driver, accomplish the task of automatic driving, meet the expectations of the driver, and the vehicle can make human-like driving behavior in the face of a certain traffic environment. For example, the vehicle should not be too conservative and increase the driving time in the process of decision-making interaction with surrounding vehicles, and the vehicle should not be too aggressive and reduce the comfort of the driver. To simplify the game behavior and decision-making process, this paper decomposes the driving task of the ICVs, with the driving task of the vehicle in a certain period triggered by changes in the traffic environment, and the vehicle decision-making mechanism established by considering the expectations of passengers.
4. Game Model
4.1. Definition of Right of Way
A vehicle driving in a lane means that it has the right to use a certain length of road in time and space; due to the security requirements of the vehicle in the driving state, the front and rear of the car need a certain length of clearance to prevent the intrusion of other vehicles. Based on the game theory point of view, the purpose of the game between vehicles can be thought of as competing for the next section of right of way, as shown in Figure 1. The priority right-of-way in the area ahead of the target lane is a competing purpose for vehicles. For example, if through the game the LV has priority to enter region S, then the LV achieves driving efficiency and the RV needs to wait for the LV to drive through before entering the region. Since the LV is ahead of the RV in terms of position, the LV not only has priority of the section but also has the priority of subsequent sections. The right-of-way area is considered a dynamically adjusted area to quantify and clarify the vehicle game process, which is represented schematically in Figure 2.

Figure 2.
The diagram of the right of way.
The length of the competitive road section is determined by the driving space in front of the vehicle, which can be expressed as:
where is the length of the right of way competing for the gaming process; indicates the coordinate position of the vehicle in front of the target lane (this value should be smaller than the effective length of the section); indicates the coordinate position of the vehicle behind the target lane; and indicates the coordinate position of the vehicle changing lanes.
4.2. Game Components
In previous research on the vehicle lane-change game, most researchers defined the efficiency gain of the vehicle as the increase or loss of speed and failed to consider the influence of the characteristics of the scenario. The game process cannot ignore the driving scenario of the vehicle and should construct a gain matrix more in line with the actual situation according to the characteristics of the driving scenario.
4.2.1. Payoffs for Vehicle RV
The efficiency gain of a vehicle should be defined as the increase or loss of time loss through the intersection. When the LV or RV decides to yield, it increases its own passing time and decreases its driving efficiency, and, conversely, when the RV makes the decision not to give way, it decreases its own passing time. The efficiency gains of the RV include travel gains and space gains. When the RV position is ahead of the LV, the RV not only narrows the travel time, but also has the initiative in space relative to the LV, and the same for the LV as well. The driving space gain of the vehicle is expressed as:
where indicates the spatial extent obtained with the current state of the vehicle and and are the maximum and minimum spatial ranges obtained based on the statistical results of the data.
The efficiency gain of the RV not giving way is expressed as:
where is the time to cross the intersection from the current position corresponding to the different decisions made by the RV; is the maximum time for the RV to pass the intersection considering the game with the LV; and is the time for the vehicle to cross the intersection at a steady speed.
The safety gain of the vehicle is generally measured by the relative distance of the vehicle. Widely used in lane-change research is the minimum safe distance model, which takes into account the dynamic change process of vehicle lane changes when the vehicle meets the requirements of Equation (4), such that the vehicle can be safely changed.
where and are the accelerations of the LV and RV, respectively; is the initial speed difference of the vehicles; and is the initial workshop distance. should be greater than the minimum vehicle distance .
Since the safety of vehicles interacts with each other, the lane-changing game requires both sides of the game to make corresponding decisions; when the LV changes lanes, it requires the RV to slow down to provide lane-change spacing for the LV. Equation (5) shows the safety gain of the vehicles.
where is the longitudinal vehicle distance; is the maximum gaming distance (when the workshop distance is greater than the maximum gaming distance, the LV can change lanes without gaming); and is the minimum shop distance for the rear vehicle to take the maximum deceleration to provide the lane-change spacing for the LV.
Considering the prospect of the development of ICVs, we built a game matrix by considering passenger expectations. The ICVs control the vehicle driving through the autonomous decision-making system, and the identity of the driver changes from the driver to the vehicle passenger. The ICVs should meet the passenger expectations under different driving scenarios, under the condition of complying with traffic rules; for example, the vehicle should not be too conservative and increase the travel time, and should not be too aggressive and reduce comfort. In this paper, we consider passengers’ expectation requirements for vehicle decisions in the game payoffs by dynamically adjusting the vehicle’s weight in terms of efficiency and safety. The game gain of the RV is mainly affected by the LV changing lanes; when the LV changes lanes and drives in front of the RV, it increases the waiting time of the RV through the intersection and decreases the efficiency gain; if the RV does not give way, it will increase the risk of decision conflict and decrease the safety gain. Equation (6) shows the expectation of the RV for efficiency gain.
where is the travel time of the RV through the intersection; is the remaining time of the green light at the intersection; and is the minimum green light time required for the vehicle to pass through the intersection from its current position. When the travel time is greater than the minimum green light time, the vehicle needs to wait for the next cycle of the green light before it can pass through the intersection.
Using the payoff functions constructed above and the RV’s expectation of efficiency gains, the payoff matrix of the RV in different strategy profiles is listed in Table 1.

Table 1.
Payoffs of RV in different strategy profiles.
4.2.2. Payoffs for Vehicle LV
To simplify the model and highlight the focus of the game process, this paper assumes that the task of the game decision is to play between vehicles and complete the lane-change process without considering the maximization of the full trip driving gain of the LV. Therefore, the expected gain of the LV can be regarded as changing lanes to the target lane as soon as possible. The efficiency gain of the LV also includes the trip gain and the space gain, with the efficiency gain expressed as:
where is the lane-change time corresponding to the different decisions made by the LV; is the maximum time to consider the decision process of the vehicle game; and is the shortest lane-change time considering vehicle dynamics when the lane-change process is not constrained.
According to the vehicle safety interactions, the safety gain of the LV can be similarly expressed as:
The LV lane change needs to consider the impact of decision moment location: when the LV is closer to the intersection inlet lanes, the expectation of lane changes is a stronger column; when the LV is further away from the intersection, it usually does not show a willingness to change lanes. For the LV and RV game decision, the decision to not change lanes increases the time for the LV to drive into the target lane and reduces the efficiency gain of the LV. Equation (9) shows the LV’s expectation of driving efficiency.
where is the distance from the LV decision moment position to the lane-gradient section; is the LV minimum desired lane-change distance, which is used to ensure that vehicles can change lanes earlier; and is the farthest lane-change game position, with vehicles less affected by the intersection bottleneck when the lane-change position exceeds this value.
By creating separate safety and efficiency functions for the vehicle above, the payoff matrix of the LV in different strategy profiles is listed in Table 2.

Table 2.
Payoffs of LV in different strategy profiles.
4.3. Game Equilibrium Analysis
The evolutionary game theory originated from biological evolution, which can dynamically analyze the evolutionary process of a group and clarify the evolutionary mechanism of which strategy to choose. With the cross development of game theory and the transportation field, many researchers apply game theory to study a vehicle interaction model [,,]; compared with other game theories, the evolutionary game takes into account the characteristics of imperfect rationality of game subjects and reflects the evolutionary process of decision making more objectively. The evolutionary game reflects the evolutionary trends of different strategies through dynamic evolution equations, and the expected payoffs of the LV choosing to change lanes and choosing not to change lanes are:
The overall expected payoff of the LV based on the payoff matrix is:
where is the probability that the LV chooses to change lanes and is the probability that the LV chooses not to change lanes.
The evolutionary dynamic equation for the LV selection lane-change decision is:
Similarly, the expected payoffs of the RV’s choice of giving way and not giving way are:
The expected payoff of the RV with a probability of choosing to give way and with a probability of choosing not to give way is:
where is the probability that the RV chooses to give way and is the probability that the RV chooses not to give way.
The evolutionary dynamic equation for the RV selection yield decision is:
The strategy combinations of the LV and RV are (0, 0), (0, 1), (1, 0), and (1, 1), which are obtained by Equations (13) and (17); the corresponding strategy combinations are (do not change lane, do not give way), (do not change lane, give way), (change lane, do not give way), and (change lane, give way). In addition to the above four strategy combinations, there is another set of solutions for .
The Jacobi matrix is constructed for the dynamic game system and expressed as:
According to Equation (18), the determinant and trace of the Jacobi matrix are obtained as:
The five solutions obtained from Equations (13) and (17) are substituted into Equations (19) and (20) to obtain the stability of each equilibrium point, as shown in Table 3.

Table 3.
Stability of each equilibrium point.
According to the above stability determination, we can achieve the stable equilibrium points (0, 0) and (1, 1), whose corresponding stable strategies are (do not change lane, do not give way) and (change lane, give way), while the unstable points are (0, 1) and (1, 0), whose corresponding strategies are (do not change lane, give way) and (change lane, do not give way), is the saddle point, and the convergence direction to (0, 0) or (1, 1) is indefinite.
5. Simulation Results and Analysis
In this paper, SUMO (Simulation of Urban Mobility) software is used for simulation validation, simulation control, and decision planning of vehicle game strategies through the Traci interface. SUMO is an open-source and microscopic traffic simulation software for road traffic simulation. It was developed mainly by the staff of the Institute for Transportation Systems at the German Aerospace Center. We are using version sumo-1.17.0, which can be obtained in detail at https://sumo.dlr.de/docs/index.html (accessed on 21 June 2023). These vehicles adopt the CACC following model [] and use quintic polynomials to plan the horizontal and longitudinal lane-change trajectory, The CACC model is based on vehicle–vehicle communication to obtain information about the surrounding vehicles and has the characteristics of accuracy and smaller time delay. The expression of the CACC model is:
where is the difference between the actual following distance and the desired distance; is the displacement of the vehicle ; is the velocity of the vehicle ; is the displacement of the vehicle ; is the minimum safe headway time distance; and and are parameters.
We turn off the default lane-changing model by Traci’s command and plan the lane-changing trajectory by using quintic polynomials. Quintic polynomials can obtain the minimum jerk value to satisfy the constraints and meet the comfort of a lane change. The quintic polynomials are used to plan the horizontal and vertical directions, respectively, and track the trajectory points by Traci’s command to complete the lane-change process. The lane-change trajectory polynomials are:
where is the polynomial coefficient of the longitudinal trajectory; is the polynomial coefficient of the horizontal trajectory; and the trajectory constraints are determined by the constraint of the starting and ending points of the path.
To elucidate the strategy evolution process of the vehicle lane-change game and to perform simulation validation, the road geometry characteristics and vehicle characteristics data of the intersection of Renmin Road and Yongzhou Road in Qingdao City, Shandong Province, were statistically collected and the main parameter values were set in SUMO software, as shown in Table 4. The decision response time indicates the minimum time from the beginning of the vehicle decision to the completion of the decision behavior, and the meaning of the other parameters can be obtained from the variable names.

Table 4.
Main parameters of the model.
5.1. Sensitivity Analysis
The evolutionary convergence process of the decision path is obtained by simulation, and the evolutionary paths are obtained by selecting the initial values of the initial lane-change ratio and the give-way ratio between 0.1 and 0.9, as illustrated in Figure 3. When the initial values of and are smaller, the final decision will converge to not lane change and not give way. When the initial values of and are larger, the final decision will converge to a combination of the lane-changing and giving-way strategies.

Figure 3.
The convergence process of stabilizing strategy evolution.
In constructing the payoff functions of the game vehicles, the effects of lane-change position and the remaining time of green light on the vehicle decision payoff need to be considered, so a sensitivity analysis is conducted to explore the effects of the two main influencing factors mentioned above.
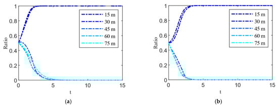
It can be seen in Figure 4 that when the lane-changing position decreases, the evolutionary stabilization strategy evolves from converging on not changing lanes and not giving way to converging on changing lanes and giving way. When the LV is more affected by road traffic and needs to take the lane-changing decision, the increase of the LV’s expectation of lane change increases the weight of efficiency gains, and the dynamic evolutionary game results show that the RV should provide a lane-changing gap for the LV based on the goal of revenue maximization; otherwise, it will increase vehicle collision risk and reduce their expected revenue. The convergence rate of the strategy combination increases significantly when the lane-change position increases or decreases, indicating that the vehicles make decisions that match the best strategy for the current traffic environment.

Figure 4.
Evolutionary convergence of the proportion of lane-changing strategy under different lane-change locations: (a) LV; (b) RV.
It can be seen in Figure 5 that when the lane-changing position is certain and the remaining green time increases, the evolutionary game lane-changing stabilization strategy evolves from not changing lanes and not giving way to changing lanes and giving way. When the remaining green time is smaller, the RV expects to pass the intersection as soon as possible so that the expected weight of efficiency increases. When the remaining green light time is greater than 18 s, there is a partial overlap of the convergence curves, but the evolutionary trend remains the same. It can be seen from the dynamic evolutionary game results that the RV makes the decision to not give way, and the LV makes the decision to not change lanes to maximize its benefit, but the convergence rate of the decision of not changing lanes is lower than that of changing lanes. When the remaining time of the green light increases, the convergence speed of the RV and LV strategy combination is faster, indicating that the strategy combination meets the expectations of both.

Figure 5.
Evolutionary convergence of the proportion of lane-changing strategy under different remaining green time: (a) LV; (b) RV.
5.2. Analysis of Lane-Change Trajectory
In the simulation scenarios, the center point of the intersection is taken as the origin of the coordinate axis, and the driving direction of the straight vehicle is taken as the positive direction of the x-axis. The lane-changing game scenario is obtained by filtering the vehicle trajectory, and the vehicle trajectory can intuitively reflect the interaction between vehicles and the driving status. In this paper, SUMO’s built-in SL2015 lane-change model and the non-cooperative mixed strategy game model are used as comparison models. Among them, the SL2015 lane-change model is the default model for sub-lane scenarios, which can simulate the microscopic lane-change process of vehicles and reflect the interaction state between vehicles. The non-cooperative mixed strategy model is a decision model that maximizes its gain, and previous studies have shown that this model can better predict the decision outcome of the other player [].
Figure 6 presents the vehicle trajectory curves, the red line in the local zoomed-in figure is the LV trajectory and the black line is the RV trajectory. Figure 6a shows the SL2015 lane-changing model in SUMO, which is a non-game model reflecting the vehicle interaction in the situation where vehicles make decisions as independent individuals, and it can be seen in the figure that the lane-changing process of vehicles will have a large oscillating effect on the traffic flow, making the slope of the curve of the rear vehicle change more. Figure 6b is a non-cooperative mixed strategy game, although the model considers and predicts the other party’s decision. The model is aimed at maximizing their interests, so that there is some conflict between the two parties’ decisions, as indicated by the amplification curve, with the strategy of the LV lane change forcing the RV to slow down, and the slope of the RV’s curve changes drastically. Figure 6c,d are the evolutionary game-based vehicle lane-change models proposed in this paper, with Figure 6c being the lane-changing and giving-way scenario, and Figure 6d being the no-lane-changing and no-giving-way scenario. From the dynamic evolution equations above, it is known that the evolutionary game lane-change model will converge on stable strategy combinations, while non-stable strategy combinations and saddle points are eliminated by the model as non-optimal decisions. The vehicle trajectory further indicates that the vehicle lane-change process of this model has less perturbation to the vehicles behind, and the stable strategy separates the vehicle risk in time and space, which improves the feasibility of vehicle lane changes.

Figure 6.
Comparison of lane-change trajectories: (a) SL2015; (b) The model of mixed strategy game; (c,d) The model of this paper.
5.3. Analysis of Security
The TTC (Time-To-Collision) [] indicator is used to portray the collision time between vehicles, reflecting the risk conflict between vehicles; when the rear vehicle speed is greater than the front vehicle, the smaller TTC indicates that the risk collision is more serious.
where is the time of collision between the vehicle and the front vehicle; is the speed of the vehicle; is the position of the vehicle; and is the length of the vehicle.
To display the trend of the TTC value, we limit the TTC value within [–50, 50]. When the TTC value is larger, the vehicles will not collide; when the TTC value is less than 0, it means that the rear vehicle speed is less than the front vehicle speed, and they will not collide. In Figure 7, the black line represents the SL2015 lane-switching model, the red line represents the decision-conflict situation in the mixed-strategy game model, and the blue line is the evolutionary game model proposed in this paper. It can be seen in Figure 7, in the SL2015 lane-changing model and mixed strategy game of the vehicle lane-changing process, the TTC value quickly decreases to within 15 and tends to 0, indicating that the collision risk between the rear vehicle and the front vehicle is larger, while in the evolutionary game-based lane-changing model, the TTC value is usually greater than 15 or less than 0. When the TTC value is less than 0, it means that the rear vehicle speed is less than the front vehicle speed, and the two sides will not collide when driving at the current speed. In Figure 7, we can see that in the evolutionary game model, the rear car decides to give way to reduce the risk of vehicle collision, the TTC value is reduced to less than 0, and the two sides will not collide.

Figure 7.
The diagram of Time-To-Collision.
Although the mixed strategy game model has optimal solutions and is usually used to predict each other’s decisions, it still has a certain probability of decision conflict, which puts vehicle safety at risk; therefore, the model needs strong constraints to reduce the occurrence of decision conflict. The evolutionary game model, on the other hand, converges on feasible strategies from the perspective of dynamic evolutionary equations and excludes unstable strategies, thus reducing the risk of vehicle conflict.
5.4. Threats to Validity
Validity threats can usually be divided into two parts: internal and external validity. In the proposed model, the possible validity threats include the values of parameters that affect the outcome of vehicle decisions and the results of solving the strategy combinations based on game theory. To study the influence of the change in the values of the main influencing factors on the evolutionary game process of vehicle lane changes, we conducted a sensitivity analysis of the main influencing factors by keeping other parameters consistent and obtained that the change in the values of the remaining time of the green light and the location of the lane-change game affect the convergence direction of the stabilization strategy.
Unlike other game models, the decision results based on the evolutionary game only converge to the optimal strategy combinations, thus reducing the occurrence of uncertainties and unstable strategy combinations, so that the vehicle decision results will converge to stable strategy combinations based on the assumption that the vehicle obeys the decision instructions issued by the upper control system. The modeling thought of the vehicle lane-change model based on game theory is to achieve the optimal strategy by constructing the gain matrix and solving the equation. In constructing the gain matrix, vehicle speed, safety, and comfort are usually considered: vehicle speed gain is expressed in the change of vehicle speed, safety gain is expressed in the safety risk of the vehicle, and comfort gain is expressed in the smoothness of vehicle speed change. In this paper, the gain of the game subject consists of vehicle driving efficiency and safety, comfort by the change of speed comfort is achieved by the trajectory planning part, to build the gain function that considers passengers’ expectations of vehicle decision, and to expand the applicability of the model in the face of the traffic bottleneck section and reduce the external validity.
6. Conclusions
In this paper, the vehicle lane-change issue is modeled based on evolutionary game theory. Specifically, in the intersection road scenario, the evolutionary game models of the RV and LV are established by analyzing the game lane-change interaction characteristics of vehicles, and the dynamic evolution equations under different situations are analyzed. The revenue matrix is constructed considering passengers’ expectations so that the vehicle decision is neither too aggressive nor too conservative. In addition, the game system converges in different directions when the vehicle lane-change position or the remaining green light time changes, and thus different optimal strategy combinations are obtained.
The results show that the evolutionary game-based vehicle lane-change model can effectively reduce the risk conflict of vehicles. When the decision system converges to lane change and yield, the RV can slow down in advance to provide space for the LV to change lanes; when the decision system converges to no lane change and give way, the LV slows down while the RV maintains speed or accelerates; and when the RV overtakes the LV, the LV changes lanes. Although the evolutionary game is a non-cooperative game model, the results of dynamic evolution show that the system will converge to a stable strategy, which can be regarded as a cooperative decision combination.
Traffic safety is a key issue for future research in the field of transportation, and the risk conflict in the process of vehicle lane changes cannot be ignored; therefore, it is important to analyze and study the characteristics of vehicle decision interactions. In future research, multi-vehicle interaction characteristics of ICVs and a reduction of traffic oscillation are game models worth considering.
Author Contributions
Conceptualization, D.Q. and S.D.; methodology, S.D.; software, A.L.; validation, D.Q., S.D. and Y.C.; investigation, C.W.; writing—original draft preparation, S.D.; writing—review and editing, D.Q. All authors have read and agreed to the published version of the manuscript.
Funding
This research was funded by National Natural Science Foundation of China: 52272311.
Institutional Review Board Statement
Not applicable.
Informed Consent Statement
Not applicable.
Data Availability Statement
Not applicable.
Conflicts of Interest
The authors declare no conflict of interest.
References
- Liu, T.; Wang, C.; Fu, R.; Ma, Y.; Liu, Z.; Liu, T. Lane-Change Risk When the Subject Vehicle Is Faster Than the Following Vehicle: A Case Study on the Lane-Changing Warning Model Considering Different Driving Styles. Sustainability 2022, 14, 9938. [Google Scholar] [CrossRef]
- Mahmoud, R.; Yousuf, T.; Aloul, F.; Zualkernan, I. Internet of things (IoT) security: Current status, challenges, and prospective measures. In Proceedings of the 2015 10th International Conference for Internet Technology and Secured Transactions (ICITST), London, UK, 14–16 December 2015; pp. 336–341. [Google Scholar]
- Bures, M.; Klima, M.; Rechtberger, V.; Ahmed, B.S.; Hindy, H.; Bellekens, X. Review of Specific Features and Challenges in the Current Internet of Things Systems Impacting Their Security and Reliability. In Trends and Applications in Information Systems and Technologies; AISC: Chicago, IL, USA, 2021; Volume 1367, pp. 546–556. [Google Scholar]
- Sun, K.; Zhao, X.; Gong, S.; Wu, X. A Cooperative Lane Change Control Strategy for Connected and Automated Vehicles by Considering Preceding Vehicle Switching. Appl. Sci. 2023, 13, 2193. [Google Scholar] [CrossRef]
- Van den Beukel, A.P.; Van Driel, C.J.G.; Boelhouwer, A.; Veders, N.; Heffelaar, T. Assessment of Driving Proficiency When Drivers Utilize Assistance Systems—The Case of Adaptive Cruise Control. Safety 2021, 7, 33. [Google Scholar] [CrossRef]
- Ma, S.; Hu, J.; Wang, R.; Qu, S. Study on the Median Opening Length of a Freeway Work Zone Based on a Naturalistic Driving Experiment. Appl. Sci. 2023, 13, 851. [Google Scholar] [CrossRef]
- Kuang, Z.; Zhao, X.; Feng, L. Priority of Emergency Vehicle Dynamic Right-of-Way Control Method in Networked Environment. Appl. Sci. 2023, 13, 5883. [Google Scholar] [CrossRef]
- Wang, C.; Du, Y. Lane-Changing Strategy Based on a Novel Sliding Mode Control Approach for Connected Automated Vehicles. Appl. Sci. 2022, 12, 11000. [Google Scholar] [CrossRef]
- Zhang, L.; Wang, Y.; Zhu, H. Theory and Experiment of Cooperative Control at Multi-Intersections in Intelligent Connected Vehicle Environment: Review and Perspectives. Sustainability 2022, 14, 1542. [Google Scholar] [CrossRef]
- Chen, Q.J.; Xie, Y.X.; Ao, Y.; Li, T.G.; Chen, G.R.; Ren, S.F.; Wang, C. A deep neural network inverse solution to recover pre-crash impact data of car collisions. Transp. Res. Part C Emerg. Technol. 2021, 126, 103009. [Google Scholar] [CrossRef]
- Xie, Y.X.; Wu, C.T.; Li, B.Y.; Hu, X.; Li, S.F. A feed-forwarded neural network-based variational Bayesian learning approach for forensic analysis of traffic accident. Comput. Methods Appl. Mech. Eng. 2022, 397, 115148. [Google Scholar] [CrossRef]
- Qu, D.Y.; Zhang, K.K.; Song, H.; Dai, S.C. Analysis and Modeling of Lane-Changing Game Strategy for Autonomous Driving Vehicles. IEEE Access 2022, 10, 69531–69542. [Google Scholar] [CrossRef]
- Yao, R.H.; Du, X.J.; Zhang, W.S.; Zhang, H. Game Model of Lane Changing for Bus Exiting at Bus Bay Stops. J. Transp. Eng. 2022, 29, 319–329. [Google Scholar] [CrossRef]
- Arbis, D.; Dixit, V.V. Game theoretic model for lane changing: Incorporating conflict risks. Accid. Anal. Prev. 2019, 125, 158–164. [Google Scholar] [CrossRef] [PubMed]
- Dai, S.C.; Qu, D.Y.; Wang, Q.K.; Meng, Y.M.; Yang, Y.F. Characterization and model of Connected and Automated Vehicles lane-changing game on upstream sections of signalized intersections. Sci. Technol. Eng. 2023, 23, 4408–4416. [Google Scholar]
- Hang, P.; Lv, C.; Huang, C.; Xing, Y.; Hu, Z.X.; Cai, J.C. Human-like Lane-Change Decision Making for Automated Driving with a Game Theoretic Approach. In Proceedings of the 2020 4th CAA International Conference on Vehicular Control and Intelligence (CVCI), Hangzhou, China, 18–20 December 2020; pp. 708–713. [Google Scholar]
- Sun, K.; Zhao, X.M.; Wu, X. A cooperative lane change model for connected and autonomous vehicles on two lanes highway by considering the traffic efficiency on both lanes. Transp. Res. Int. Pers. 2021, 9, 100310. [Google Scholar] [CrossRef]
- Zheng, Y.; Ding, W.T.; Ran, B.; Qu, X. Coordinated decisions of discretionary lane change between connected and automated vehicles on freeways: A game theory-based lane change strategy. IET. Intell. Transp. Syst. 2020, 14, 1864–1870. [Google Scholar] [CrossRef]
- Liu, R.; Zhao, X.; Zhu, X.C.; Ma, J. A Human-like Shared Driving Strategy in Lane-Changing Scenario Using Cooperative LPV/MPC. IEEE Trans. Intell. Transp. Syst. 2023; in press. [Google Scholar] [CrossRef]
- Yu, Y.W.; Liu, S.K.; Wang, M.X. Multi-Player Dynamic Game-Based Automatic Lane-Changing Decision Model under Mixed Autonomous Vehicle and Human-Driven Vehicle Environment. Transp. Res. Rec. 2020, 2674, 165–183. [Google Scholar] [CrossRef]
- Pan, S.; Wang, Y.; Wang, K. A Game Theory-based Model Predictive Controller for Mandatory Lane Change of Multiple Vehicles. In Proceedings of the 2020 4th CAA International Conference on Vehicular Control and Intelligence (CVCI), Hangzhou, China, 18–20 December 2020; pp. 731–736. [Google Scholar]
- Hang, P.; Huang, C.; Hu, Z.X.; Lv, C. Decision Making for Connected Automated Vehicles at Urban Intersections Considering Social and Individual Benefits. Elec. Eng. Syst. Sci. 2022, 23, 22549–22562. [Google Scholar] [CrossRef]
- Smirnov, N.; Liu, Y.; Validi, A.; Morales-Alvarez, W.; Olaverri-Monreal, C. A Game Theory-Based Approach for Modeling Autonomous Vehicle Behavior in Congested, Urban Lane-Changing Scenarios. Sensors 2021, 21, 1523. [Google Scholar] [CrossRef]
- Zhang, X.; Gao, J.; Liao, L.; Wu, G. Expressway Lane Change in Fog Environment by Dynamic Strategic Game. J. Adv. Transport. 2022, 22, 8612955. [Google Scholar] [CrossRef]
- Wang, G.; Hu, J.; Li, Z.; Li, L. Harmonious Lane Changing via Deep Reinforcement Learning. IEEE Trans. Intell. Transp. Syst. 2021, 23, 4642–4650. [Google Scholar] [CrossRef]
- Kang, K.; Rakha, H.A. A Repeated Game Freeway Lane Changing Model. Sensors 2020, 20, 1554. [Google Scholar] [CrossRef]
- Chen, W.; Ren, G.; Cao, Q.; Song, J.; Liu, Y.; Dong, C. A Game-Theory-Based Approach to Modeling Lane-Changing Interactions on Highway On-Ramps: Considering the Bounded Rationality of Drivers. Mathematics 2023, 11, 402. [Google Scholar] [CrossRef]
- Ye, M.; Li, P.; Yang, Z.; Liu, Y. Research on Lane Changing Game and Behavioral Decision Making Based on Driving Styles and Micro-Interaction Behaviors. Sensors 2022, 22, 6729. [Google Scholar] [CrossRef] [PubMed]
- Ji, K.; Orsag, M.; Han, K. Lane-Merging Strategy for a Self-Driving Car in Dense Traffic Using the Stackelberg Game Approach. Electronics 2021, 10, 894. [Google Scholar] [CrossRef]
- Milanés, V.; Shladover, S.E. Modeling cooperative and autonomous adaptive cruise control dynamic responses using experimental data. Transp. Res. Part C Emerg. Technol. 2014, 48, 285–300. [Google Scholar] [CrossRef]
- Sheikh, M.S.; Wang, J.; Regan, A. A game theory-based controller approach for identifying incidents caused by aberrant lane changing behavior. Phys. A Stat. Mech. Appl. 2021, 580, 126162. [Google Scholar] [CrossRef]
- Jiang, Y.S.; Hu, R.; Yao, Z.H.; Wu, P.C.; Luo, X.L. Stability and safety analysis for heterogeneous traffic flow composed of intelligent and connected vehicles. J. Beijing Jiaotong Univ. 2020, 44, 27–33. [Google Scholar]
Disclaimer/Publisher’s Note: The statements, opinions and data contained in all publications are solely those of the individual author(s) and contributor(s) and not of MDPI and/or the editor(s). MDPI and/or the editor(s) disclaim responsibility for any injury to people or property resulting from any ideas, methods, instructions or products referred to in the content. |
© 2023 by the authors. Licensee MDPI, Basel, Switzerland. This article is an open access article distributed under the terms and conditions of the Creative Commons Attribution (CC BY) license (https://creativecommons.org/licenses/by/4.0/).