Rapid Classification and Quantification of Coal by Using Laser-Induced Breakdown Spectroscopy and Machine Learning
Abstract
:1. Introduction
2. Experimental Setup
2.1. LIBS Experimental Setup
2.2. Coal Samples
3. LIBS Spectral Pretreatment
3.1. Baseline Removal
3.2. Standardization
3.3. Peak Determination
3.4. Model Validation
3.5. Model Indicators
4. Clustering, Classification, and Quantification of Coal Based on Machine Learning
4.1. Clustering Models
4.1.1. K-Means Clustering
4.1.2. DBSCAN Clustering
4.2. Classification Models
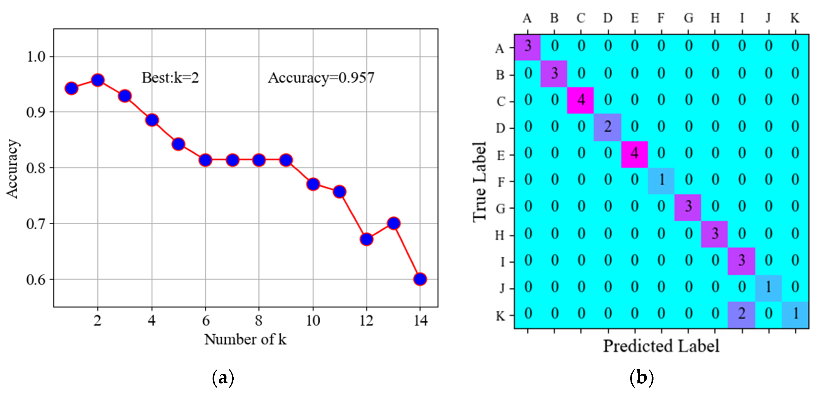
4.2.1. K-Nearest Neighbor
4.2.2. Naive Bayes Classification
4.3. Regression Models
4.3.1. Partial Least Squares Regression
4.3.2. LASSO Regression
4.4. Performance Comparison
5. Conclusions
Author Contributions
Funding
Institutional Review Board Statement
Informed Consent Statement
Data Availability Statement
Conflicts of Interest
Appendix A
| Number | Label * | Ash d ** (%) | Volatiles d (%) | Fixed Carbon d (%) |
|---|---|---|---|---|
| 1 | A | 22.96 | 30.24 | 46.80 |
| 2 | A | 23.03 | 30.47 | 46.50 |
| 3 | A | 22.42 | 30.49 | 47.09 |
| 4 | A | 23.69 | 30.23 | 46.08 |
| 5 | A | 22.65 | 30.17 | 47.18 |
| 6 | A | 23.13 | 30.39 | 46.48 |
| 7 | B | 11.32 | 22.13 | 66.55 |
| 8 | B | 11.38 | 21.97 | 66.65 |
| 9 | B | 11.72 | 21.58 | 66.70 |
| 10 | B | 10.57 | 21.98 | 67.45 |
| 11 | B | 11.04 | 21.83 | 67.13 |
| 12 | B | 10.91 | 21.94 | 67.15 |
| 13 | B | 10.82 | 21.48 | 67.70 |
| 14 | B | 10.75 | 21.58 | 67.67 |
| 15 | B | 10.85 | 21.57 | 67.58 |
| 16 | C | 20.19 | 31.79 | 48.02 |
| 17 | C | 17.86 | 33.21 | 48.93 |
| 18 | C | 19.25 | 32.50 | 48.25 |
| 19 | C | 19.31 | 32.59 | 48.10 |
| 20 | C | 19.73 | 32.66 | 47.61 |
| 21 | C | 19.35 | 32.29 | 48.36 |
| 22 | C | 18.97 | 32.43 | 48.60 |
| 23 | C | 19.66 | 32.40 | 47.94 |
| 24 | C | 18.96 | 32.64 | 48.40 |
| 25 | C | 19.75 | 32.28 | 47.97 |
| 26 | C | 19.08 | 32.19 | 48.73 |
| 27 | D | 22.89 | 29.43 | 47.68 |
| 28 | D | 22.39 | 30.20 | 47.41 |
| 29 | D | 22.96 | 29.70 | 47.34 |
| 30 | D | 24.38 | 29.38 | 46.24 |
| 31 | D | 22.09 | 30.48 | 47.43 |
| 32 | D | 26.16 | 29.29 | 44.55 |
| 33 | D | 21.58 | 30.23 | 48.19 |
| 34 | D | 22.93 | 30.02 | 47.05 |
| 35 | E | 25.04 | 29.86 | 45.10 |
| 36 | E | 25.03 | 30.41 | 44.56 |
| 37 | E | 25.56 | 29.50 | 44.94 |
| 38 | E | 24.08 | 30.26 | 45.66 |
| 39 | E | 25.80 | 29.98 | 44.22 |
| 40 | E | 28.22 | 29.90 | 41.88 |
| 41 | E | 27.02 | 29.57 | 43.41 |
| 42 | E | 27.94 | 28.11 | 43.95 |
| 43 | E | 24.98 | 29.93 | 45.09 |
| 44 | E | 26.04 | 29.44 | 44.52 |
| 45 | E | 25.98 | 29.90 | 44.12 |
| 46 | F | 16.64 | 31.82 | 51.54 |
| 47 | F | 16.63 | 31.50 | 51.87 |
| 48 | F | 16.47 | 31.59 | 51.94 |
| 49 | F | 16.20 | 31.91 | 51.89 |
| 50 | F | 15.42 | 32.08 | 52.50 |
| 51 | G | 19.55 | 30.06 | 50.39 |
| 52 | G | 17.82 | 31.05 | 51.13 |
| 53 | G | 19.50 | 30.71 | 49.79 |
| 54 | G | 21.47 | 29.58 | 48.95 |
| 55 | G | 19.21 | 30.30 | 50.49 |
| 56 | G | 23.16 | 29.53 | 47.31 |
| 57 | G | 20.26 | 30.29 | 49.45 |
| 58 | G | 21.83 | 29.61 | 48.56 |
| 59 | G | 23.74 | 28.92 | 47.34 |
| 60 | G | 21.79 | 30.24 | 47.97 |
| 61 | G | 19.29 | 29.88 | 50.83 |
| 62 | H | 30.31 | 28.15 | 41.54 |
| 63 | H | 32.07 | 27.52 | 40.41 |
| 64 | H | 32.07 | 27.55 | 40.38 |
| 65 | H | 31.52 | 27.12 | 41.36 |
| 66 | H | 31.76 | 28.48 | 39.76 |
| 67 | H | 30.85 | 28.26 | 40.89 |
| 68 | H | 28.43 | 29.24 | 42.33 |
| 69 | H | 34.54 | 26.84 | 38.62 |
| 70 | H | 30.96 | 27.63 | 41.41 |
| 71 | H | 28.36 | 29.12 | 42.52 |
| 72 | H | 29.70 | 28.24 | 42.06 |
| 73 | I | 11.29 | 34.71 | 54.00 |
| 74 | I | 11.96 | 34.64 | 53.40 |
| 75 | I | 11.34 | 35.06 | 53.60 |
| 76 | I | 11.85 | 33.89 | 54.26 |
| 77 | I | 12.22 | 34.39 | 53.39 |
| 78 | I | 11.90 | 34.62 | 53.48 |
| 79 | I | 10.45 | 34.73 | 54.82 |
| 80 | I | 13.10 | 33.89 | 53.01 |
| 81 | I | 12.54 | 34.01 | 53.45 |
| 82 | I | 12.56 | 33.80 | 53.64 |
| 83 | J | 18.71 | 32.12 | 49.17 |
| 84 | J | 17.66 | 32.28 | 50.06 |
| 85 | J | 15.92 | 32.90 | 51.18 |
| 86 | J | 17.89 | 32.38 | 49.73 |
| 87 | J | 20.63 | 31.35 | 48.02 |
| 88 | J | 19.66 | 31.44 | 48.90 |
| 89 | J | 17.37 | 32.56 | 50.07 |
| 90 | J | 17.34 | 31.26 | 51.40 |
| 91 | J | 19.87 | 31.49 | 48.64 |
| 92 | J | 17.78 | 31.51 | 50.71 |
| 93 | K | 13.96 | 33.57 | 52.47 |
| 94 | K | 15.03 | 33.50 | 51.47 |
| 95 | K | 15.72 | 33.25 | 51.03 |
| 96 | K | 14.31 | 33.75 | 51.94 |
| 97 | K | 15.42 | 33.18 | 51.40 |
| 98 | K | 13.73 | 34.18 | 52.09 |
| 99 | K | 13.86 | 33.88 | 52.26 |
| 100 | K | 16.34 | 33.12 | 50.54 |
References
- Charbucinski, J.; Nichols, W. Application of spectrometric nuclear borehole logging for reserves estimation and mine planning at Callide coalfields open-cut mine. Appl. Energy 2003, 74, 313–322. [Google Scholar] [CrossRef]
- Parus, J.; Kierzek, J.; Malozewska-Bucko, B. Determination of the carbon content in coal and ash by XRF. X-ray Spectrom. 2000, 29, 192–195. [Google Scholar] [CrossRef]
- Ctvrtnickova, T.; Mateo, M.P.; Yanez, A.; Nicolas, G. Application of LIBS and TMA for the determination of combustion predictive indices of coals and coal blends. Appl. Surf. Sci. 2011, 257, 5447–5451. [Google Scholar] [CrossRef]
- Senesi, G.S.; Senesi, N. Laser-induced breakdown spectroscopy (LIBS) to measure quantitatively soil carbon with emphasis on soil organic carbon. A review. Anal. Chim. Acta 2016, 938, 7–17. [Google Scholar] [CrossRef] [PubMed]
- Harmon, R.S.; Remus, J.; McMillan, N.J.; McManus, C.; Collins, L.; Gottfried, J.L.; DeLucia, F.C.; Miziolek, A.W. LIBS analysis of geomaterials: Geochemical fingerprinting for the rapid analysis and discrimination of minerals. Appl. Geochem. 2009, 24, 1125–1141. [Google Scholar] [CrossRef]
- Sezer, B.; Bilge, G.; Boyaci, I.H. Capabilities and limitations of LIBS in food analysis. TrAC-Trends Anal. Chem. 2017, 97, 345–353. [Google Scholar] [CrossRef]
- de Carvalho, G.G.A.; Guerra, M.B.B.; Adame, A.; Nomura, C.S.; Oliveira, P.V.; de Carvalho, H.W.P.; Santos, D.; Nunes, L.C.; Krug, F.J. Recent advances in LIBS and XRF for the analysis of plants. J. Anal. At. Spectrom. 2018, 33, 919–944. [Google Scholar] [CrossRef]
- Zhang, H.; Yueh, F.Y.; Singh, J.P.; Cook, R.L.; Loge, G.W. Laser-induced breakdown spectroscopy in a metal-seeded flame. In Collection of Technical Papers, Proceedings of the 35th Intersociety Energy Conversion Engineering Conference and Exhibit (IECEC)(Cat. No. 00CH37022), Las Vegas, NV, USA, 24–28 July 2000; IEEE: New York, NY, USA, 2000; Volume 1, pp. 595–600. [Google Scholar]
- Li, W.; Dong, M.; Lu, S.; Li, S.; Wei, L.; Huang, J.; Lu, J. Improved measurement of the calorific value of pulverized coal particle flow by laser-induced breakdown spectroscopy (LIBS). Anal. Methods 2019, 11, 4471–4480. [Google Scholar] [CrossRef]
- Yu, Z.; Yao, S.; Jiang, Y.; Chen, W.; Xu, S.; Qin, H.; Lu, Z.; Lu, J. Comparison of the matrix effect in laser induced breakdown spectroscopy analysis of coal particle flow and coal pellets. J. Anal. At. Spectrom. 2021, 36, 2473–2479. [Google Scholar] [CrossRef]
- Feng, J.; Wang, Z.; West, L.; Li, Z.; Ni, W. A PLS model based on dominant factor for coal analysis using laser-induced breakdown spectroscopy. Anal. Bioanal. Chem. 2011, 400, 3261–3271. [Google Scholar] [CrossRef] [PubMed]
- Yao, S.; Mo, J.; Zhao, J.; Li, Y.; Zhang, X.; Lu, W.; Lu, Z. Development of a Rapid Coal Analyzer Using Laser-Induced Breakdown Spectroscopy (LIBS). Appl. Spectrosc. 2018, 72, 1225–1233. [Google Scholar] [CrossRef] [PubMed]
- Qin, H.; Lu, Z.; Yao, S.; Li, Z.; Lu, J. Combining laser-induced breakdown spectroscopy and Fourier-transform infrared spectroscopy for the analysis of coal properties. J. Anal. At. Spectrom. 2019, 34, 347–355. [Google Scholar] [CrossRef]
- Li, L.-N.; Liu, X.-F.; Yang, F.; Xu, W.-M.; Wang, J.-Y.; Shu, R. A review of artificial neural network based chemometrics applied in laser-induced breakdown spectroscopy analysis. Spectrochim. Acta. Part B At. Spectrosc. 2021, 180, 106183. [Google Scholar] [CrossRef]
- Brunnbauer, L.; Gajarska, Z.; Lohninger, H.; Limbeck, A. A critical review of recent trends in sample classification using Laser-Induced Breakdown Spectroscopy (LIBS). TrAC Trends Anal. Chem. 2023, 159, 116859. [Google Scholar] [CrossRef]
- Dong, M.; Wei, L.; González, J.J.; Oropeza, D.; Chirinos, J.; Mao, X.; Lu, J.; Russo, R.E. Coal Discrimination Analysis Using Tandem Laser-Induced Breakdown Spectroscopy and Laser Ablation Inductively Coupled Plasma Time-of-Flight Mass Spectrometry. Anal. Chem. 2020, 92, 7003–7010. [Google Scholar] [CrossRef] [PubMed]
- Zhang, Y.; Xiong, Z.; Ma, Y.; Zhu, C.; Zhou, R.; Li, X.; Li, Q.; Zeng, Q. Quantitative analysis of coal quality by laser-induced breakdown spectroscopy assisted with different chemometric methods. Anal. Methods 2020, 12, 353–3536. [Google Scholar] [CrossRef] [PubMed]
- Lieber, C.A.; Mahadevan-Jansen, A. Automated Method for Subtraction of Fluorescence from Biological Raman Spectra. Appl. Spectrosc. 2003, 57, 1363–1367. [Google Scholar] [CrossRef] [PubMed]
- Zhao, J.; Lui, H.; McLean, D.I.; Zeng, H. Automated Autofluorescence Background Subtraction Algorithm for Biomedical Raman Spectroscopy. Appl. Spectrosc. 2007, 61, 1225–1232. [Google Scholar] [CrossRef] [PubMed]
- Zhang, Z.-M.; Chen, S.; Liang, Y.-Z. Baseline correction using adaptive iteratively reweighted penalized least squares. Analyst 2010, 135, 1138–1146. [Google Scholar] [CrossRef] [PubMed]














| Item | Element | Peak Wavelength (nm) * |
|---|---|---|
| Organic elements | C | 247.86 (I) ** |
| H | 656.28 (I) | |
| N | 742.36 (I), 744.23 (I), 746.83 (I) | |
| Inorganic elements | Si | 250.69 (I), 251.61 (I), 251.92 (I), 252.41 (I), 252.85 (I), 288.16 (I), 390.55 (I) |
| Al | 308.22 (I), 309.28 (I), 394.40 (I), 396.15 (I) | |
| Ca | 422.67 (I), 610.27 (I), 616.22 (I), 643.91 (I), 317.93 (II), 393.37 (II), 396.85 (II) | |
| Cr | 407.77 (I), 421.53 (I) | |
| K | 766.49 (I), 769.90 (I) | |
| Li | 670.78 (I) | |
| Mg | 285.21 (I), 279.55 (II), 280.27 (II) | |
| Na | 589.00 (I), 589.59(I) | |
| Ti | 498.17 (I), 499.11 (I), 499.95 (I), 500.72 (I), 308.80 (II), 323.45 (II), 323.66 (II), 323.90 (II), 334.90 (II), 336.12 (II), 337.28 (II), 338.12 (II) | |
| Molecular spectra | CN | 358.39, 358.59, 359.04, 385.09, 385.47, 386.19, 387.14, 388.34 |
| C2 | 516.32 |
| (a) The clustering results by machine learning | |||||
| Clustering | Data source | Comprehensive silhouette coefficient | Prediction silhouette coefficient | ||
| K-means | Section 4.1.1 | 0.621 | 0.663 | ||
| DBSCAN | Section 4.1.2 | 0.604 | 0.437 | ||
| (b) The classification results by machine learning | |||||
| Classification | Data source | Accuracy CV | Accuracy P | ||
| K-nearest neighbor | Section 4.2.1 | 0.957 | 0.933 | ||
| Naive Bayes | Section 4.2.2 | / | 0.967 | ||
| (c) The quantification results by machine learning | |||||
| Regression | Item | R2 CV | RMSECV | R2 P | RMSEP |
| Partial least squares | Ash | 0.942 | 1.349% | 0.970 | 1.012% |
| Volatiles | 0.882 | 0.803% | 0.934 | 0.878% | |
| Fixed carbon | 0.933 | 1.443% | 0.956 | 1.409% | |
| LASSO | Ash | 0.943 | 1.405% | 0.967 | 1.063% |
| Volatiles | 0.840 | 0.923% | 0.904 | 1.060% | |
| Fixed carbon | 0.942 | 1.310% | 0.937 | 1.688% | |
Disclaimer/Publisher’s Note: The statements, opinions and data contained in all publications are solely those of the individual author(s) and contributor(s) and not of MDPI and/or the editor(s). MDPI and/or the editor(s) disclaim responsibility for any injury to people or property resulting from any ideas, methods, instructions or products referred to in the content. |
© 2023 by the authors. Licensee MDPI, Basel, Switzerland. This article is an open access article distributed under the terms and conditions of the Creative Commons Attribution (CC BY) license (https://creativecommons.org/licenses/by/4.0/).
Share and Cite
Zheng, Y.; Lu, Q.; Chen, A.; Liu, Y.; Ren, X. Rapid Classification and Quantification of Coal by Using Laser-Induced Breakdown Spectroscopy and Machine Learning. Appl. Sci. 2023, 13, 8158. https://doi.org/10.3390/app13148158
Zheng Y, Lu Q, Chen A, Liu Y, Ren X. Rapid Classification and Quantification of Coal by Using Laser-Induced Breakdown Spectroscopy and Machine Learning. Applied Sciences. 2023; 13(14):8158. https://doi.org/10.3390/app13148158
Chicago/Turabian StyleZheng, Yanning, Qingmei Lu, Anqi Chen, Yulin Liu, and Xiaohan Ren. 2023. "Rapid Classification and Quantification of Coal by Using Laser-Induced Breakdown Spectroscopy and Machine Learning" Applied Sciences 13, no. 14: 8158. https://doi.org/10.3390/app13148158
APA StyleZheng, Y., Lu, Q., Chen, A., Liu, Y., & Ren, X. (2023). Rapid Classification and Quantification of Coal by Using Laser-Induced Breakdown Spectroscopy and Machine Learning. Applied Sciences, 13(14), 8158. https://doi.org/10.3390/app13148158
