Research on Prediction and Regulation of Thermal Dissatisfaction Rate Based on Personalized Differences
Abstract
1. Introduction
2. Methods
2.1. Thermal Dissatisfaction Rate Prediction
2.1.1. Bayesian Theory
2.1.2. Prediction Model
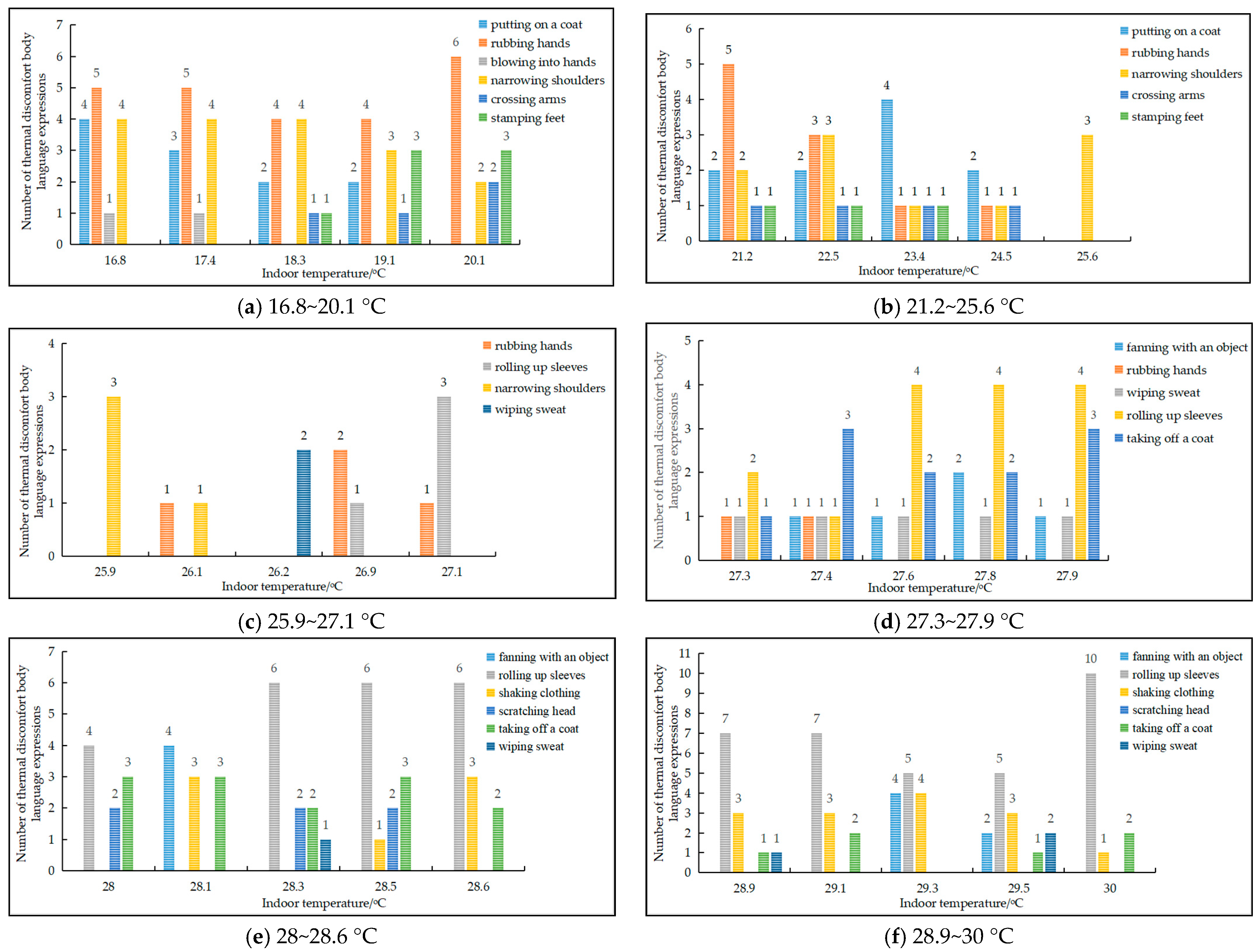
2.2. Setting of Indoor Temperature and Humidity
- (1)
- State: A reasonable indoor temperature and humidity setting value can reduce system energy consumption while ensuring human thermal comfort. The system state was the relevant parameters affecting thermal comfort and energy-saving including indoor temperature, relative humidity, airflow rate, clothing thermal resistance, and human metabolic rate. Individual variability made some physical quantities more difficult to measure such as human metabolic rate and clothing thermal resistance, which could only be obtained by approximate values. Due to the small range of airflow rate variation in the thermal environment of the closed building and other reasons, the more difficult-to-measure parameters were fixed as the average value in the current thermal environment, and the state space at moment t is defined as shown in Equation (7).
- (2)
- Action: The thermal environment state was changed by adjusting the room temperature and humidity settings. When the environment state is st, the room temperature and humidity settings are used as action parameters, and when the environment state is st+1, the action at+1 is executed. All actions are selected in the action space, and the action space at time t is shown in Equation (8).
- (3)
- Cost minimization: The goal of indoor thermal environment regulation is to balance the relationship between thermal comfort and energy consumption, get the maximum reward value in return, and obtain the optimal setting value of indoor temperature and humidity. The expression is shown in Equation (13).
3. Experiments and Analysis of Results
3.1. Experiment Conditions and Procedure
3.1.1. Data Analysis
3.1.2. Parameters Setting
| Algorithm 1. Intelligent setting based on DDPG algorithm [33]. |
| [1] Initialize the Critic-network and Actor-network with weights and |
| [2] Initialize Target-network and with and |
| [3] Initialize replay buffer B |
| [4]for episode = 0, 1, … M do |
| [5] Obtain the initial thermal state S0 |
| [6] for t = 0, 1, … T do |
| [7] Obtain control action At according to Equation (14) |
| [8] Update the set point for the next moment according to control action At |
| [9] Obtain new thermal state St+1 and calculate reward Rt according to Equation (12) at the end of time slot t |
| [10] Store (st, at, rt, st+1) into replay buffer B |
| [11] Randomly select N transitions from replay buffer B |
| [12] Calculate the estimated reward for each selected transition using Equation (15) |
| [13] Update the Critic network by minimizing the MSE over the sampled minibatch and update the Actor-network using the sampled policy gradient |
| [14] Update Target network and using Equation (16) |
| [15] end for |
| [16]end for |
3.2. Analysis of Prediction Results
3.2.1. Quantitative Analysis of Prediction Results
3.2.2. Comparative Analysis of Prediction Results
3.2.3. Regression Analysis of Prediction Results
3.3. Intelligent Setting of Indoor Temperature and Humidity
3.3.1. Reward Value
3.3.2. Multi-Method Performance Comparison
3.3.3. Setting Values Based on the PMV-PPD Model
3.3.4. Setting Values Based on the PMV-BPD Model
4. Discussion
5. Conclusions
Author Contributions
Funding
Institutional Review Board Statement
Informed Consent Statement
Data Availability Statement
Conflicts of Interest
References
- Höppe, P.; Martinac, I. Indoor climate and air quality. Int. J. Biometeorol. 1998, 42, 1–7. [Google Scholar] [CrossRef] [PubMed]
- Mayer, H.; Höppe, P. Thermal comfort of man in different urban environments. Theor. Appl. Climatol. 1987, 38, 43–49. [Google Scholar] [CrossRef]
- Topak, F.; Pavlak, G.S.; Pekericli, M.K.; Wang, J.L.; Jazizadeh, F. Collective comfort optimization in multi-occupancy environments by leveraging personal comfort models and thermal distribution patterns. Build. Environ. 2023, 239, 110401. [Google Scholar] [CrossRef]
- Arakawa Martins, L.; Soebarto, V.; Williamson, T. A systematic review of personal thermal comfort models. Build. Environ. 2022, 207, 108502. [Google Scholar] [CrossRef]
- Tanabe, S.I.; Haneda, M.; Nishihara, N. Workplace productivity and individual thermal satisfaction. Build. Environ. 2015, 91, 42–50. [Google Scholar] [CrossRef]
- ASHRAE. Standard 55: Thermal Environmental Conditions for Human Occupancy; American Society of Heating, Refrigerating and Air-Conditioning Engineers (ASHRAE): Peachtree Corners, GA, USA, 2020. [Google Scholar]
- Fanger, P. Calculation of Thermal Comfort: Introduction of a basic comfort equation. ASHRAE Trans. 1967, 73, III4.20. [Google Scholar]
- Liu, Y.; Jin, H.; Luo, P. Prediction model of thermal environment dissatisfaction rate based on Bayesian theory. Air Cond. Heat. Vent. 2019, 49, 132–137. [Google Scholar]
- Guenther, J.; Sawodny, O. Feature selection and Gaussian Process regression for personalized thermal comfort prediction. Build. Environ. 2019, 148, 448–458. [Google Scholar] [CrossRef]
- Sulzer, M.; Christen, A.; Matzarakis, A. Predicting indoor air temperature and thermal comfort in occupational settings using weather forecasts, indoor sensors, and artificial neural networks. Build. Environ. 2023, 234, 110077. [Google Scholar] [CrossRef]
- Katerina, P.; Konstantinos, K.D.; Georgios, K.N. Machine learning and features for the prediction of thermal sensation and comfort using data from field surveys in Cyprus. Int. J. Biometeorol. 2022, 66, 1973–1984. [Google Scholar]
- Ghahramani, A.; Galicia, P.; Lehrer, D.; Varghese, Z.; Wang, Z.; Pandit, Y. Artificial intelligence for efficient thermal comfort systems: Requirements, current applications and future directions. Front. Built. Environ. 2020, 6, 49. [Google Scholar] [CrossRef]
- Höppe, P. The physiological equivalent temperature—A universal index for the biometeorological assessment of the thermal environment. Int. J. Biometeorol. 1999, 43, 71–75. [Google Scholar] [CrossRef] [PubMed]
- Salehi, B.; Ghanbaran, A.H.; Maerefat, M. Intelligent models to predict the indoor thermal sensation and thermal demand in steady state based on occupants’ skin temperature. Build. Environ. 2020, 169, 106579. [Google Scholar] [CrossRef]
- Wu, Y.; Liu, H.; Li, B.; Kosonen, R.; Wei, S.; Jokisalo, J.; Cheng, Y. Individual thermal comfort prediction using classification tree model based on physiological parameters and thermal history in winter. Build. Simul. 2021, 14, 1651–1665. [Google Scholar] [CrossRef]
- Ngarambe, J.; Yun, G.Y.; Santamouris, M. The use of artificial intelligence (AI) methods in the prediction of thermal comfort in buildings: Energy implications of AI-based thermal comfort controls. Energy Build. 2020, 211, 109807. [Google Scholar] [CrossRef]
- Salamone, F.; Belussi, L.; Curro, C.; Danza, L.; Ghellere, M.; Guazzi, G.; Lenzi, B.; Megale, V.; Meroni, I. Integrated Method for Personal Thermal Comfort Assessment and Optimization through Users’ Feedback, IoT and Machine Learning: A Case Study (dagger). Sensors 2018, 18, 1602. [Google Scholar] [CrossRef]
- Ghahramani, A.; Castro, G.; Becerik-Gerber, B.; Yu, X. Infrared thermography of human face for monitoring thermoregulation performance and estimating personal thermal comfort. Built. Environ. 2016, 109, 1–11. [Google Scholar] [CrossRef]
- Li, D.; Menassa, C.C.; Kamat, V.R. Robust non-intrusive interpretation of occupant thermal comfort in built environments with low-cost networked thermal cameras. Appl. Energy 2019, 251, 113336. [Google Scholar] [CrossRef]
- Oh, S.H.; Lee, S.; Kim, S.M.; Jeong, J.H. Development of a heart rate detection algorithm using a non-contact doppler radar via signal elimination. Biomed. Signal Process. 2021, 64, 102314. [Google Scholar] [CrossRef]
- Azizi, N.S.M.; Wilkinson, S.; Fassman, E. An analysis of occupants response to thermal discomfort in green and conventional buildings in New Zealand. Energy Build. 2015, 104, 191–198. [Google Scholar] [CrossRef]
- Al-Faris, M.; Chiverton, J.; Ndzi, D.; Ahmed, A.I. Vision Based Dynamic Thermal Comfort Control Using Fuzzy Logic and Deep Learning. Appl. Sci. 2021, 11, 4626. [Google Scholar] [CrossRef]
- Shaikh, P.H.; Nor, N.B.M.; Nallagownden, P.; Elamvazuthi, I.; Ibrahim, T. A review on optimized control systems for building energy and comfort management of smart sustainable buildings. Renew. Sustain. Energy Rev. 2014, 34, 409–429. [Google Scholar] [CrossRef]
- Kim, J.; Zhou, Y.; Schiavon, S.; Raftery, P.; Brager, G. Personal comfort models: Predicting individuals’ thermal preference using occupant heating and cooling behavior and machine learning. Built. Environ. 2018, 129, 96–106. [Google Scholar] [CrossRef]
- Meier, A.; Dyer, W.; Graham, C. Using human gestures to control a building’s heating and cooling system. In Proceedings of the 9th International Conference on Energy Efficiency in Domestic Appliances and Lighting (EEDAL), Irvine, CA, USA, 13–15 September 2017. [Google Scholar]
- Yang, B.; Cheng, X.; Dai, D.; Olofsson, T.; Li, H.; Meier, A. Real-time and contactless measurements of thermal discomfort based on human poses for energy efficient control of buildings. Built. Environ. 2019, 162, 106284. [Google Scholar] [CrossRef]
- Pan, C.S.; Chiang, H.C.; Yen, M.C.; Wang, C.C. Thermal comfort and energy saving of a personalized PFCU air-conditioning system. Energy Build. 2005, 37, 443–449. [Google Scholar] [CrossRef]
- Yonezawa, K. Comfort air-conditioning control for building energy-saving. In Proceedings of the IEEE International Conference on Industrial Electronics, Control and Instrumentation. 21st Century Technologies, Nagoya, Japan, 22–28 October 2000; Volume 3, pp. 1737–1742. [Google Scholar]
- Chen, Y.; Norford, L.K.; Samuelson, H.W.; Malkawi, A. Optimal control of HVAC and window systems for natural ventilation through reinforcement learning. Energy Build. 2018, 169, 195–205. [Google Scholar] [CrossRef]
- Continuous Control with Deep Reinforcement Learning. Available online: https://arxiv.org/abs/1509.02971 (accessed on 9 September 2015).
- Lim, J.; Choi, W.; Akashi, Y.; Yoshimoto, N.; Ooka, R. Bayesian prediction model of thermally satisfied occupants considering stochasticity due to inter- and intra-individual thermal sensation variations. J. Build. Eng. 2022, 52, 104414. [Google Scholar] [CrossRef]
- Engineers A C. ANSI/ASHRAE Standard 55-2004: Thermal Environmental Conditions for Human Occupancy; American Society of Heating, Refrigerating and Air-Conditioning Engineers (ASHRAE): Tullie Circle, NE, GA, USA, 2004. [Google Scholar]
- Gao, G.; Li, J.; Wen, Y. DeepComfort: Energy-Efficient Thermal Comfort Control in Buildings Via Reinforcement Learning. IEEE Internet Things 2020, 7, 8472–8484. [Google Scholar] [CrossRef]
- Yan, S.; Liu, N.; Wang, W.; Han, S.; Zhang, J. An adaptive predicted percentage dissatisfied model based on the air-conditioner turning-on behaviors in the residential buildings of China. Built. Environ. 2021, 191, 107571. [Google Scholar] [CrossRef]
- Wu, Y.; Zhang, S.; Liu, H.; Cheng, Y. Thermal sensation and percentage of dissatisfied in thermal environments with positive and negative vertical air temperature differences. Energy Build. 2023, 4, 629–638. [Google Scholar] [CrossRef]
- Alimohammadisagvand, B.; Alam, S.; Ali, M.; Degefa, M.; Jokisalo, J.; Sirén, K. Influence of energy demand response actions on thermal comfort and energy cost in electrically heated residential houses. Indoor Built. Environ. 2016, 26, 298–316. [Google Scholar] [CrossRef]
- Zenger, A.; Schmidt, J.; Krödel, M. Towards the Intelligent Home: Using Reinforcement-Learning for Optimal Heating Control. In KI 2013: Advances in Artificial Intelligence; Timm, I.J., Thimm, M., Eds.; KI 2013: Lecture Notes in Computer Science; Springer: Berlin/Heidelberg, Germany, 2013; Volume 8077. [Google Scholar]
- Fazenda, P.; Veeramachaneni, K.; Lima, P.; O’Reilly, U.-M. Using reinforcement learning to optimize occupant comfort and energy usage in HVAC systems. Air Cond. Heat. Vent. 2014, 6, 675–690. [Google Scholar] [CrossRef]











| Gender | Quantity | Age | Height/m | Weight/kg | BMI/kg·m2 |
|---|---|---|---|---|---|
| Male | 8 | 25.0 ± 1.0 | 1.75 ± 0.1 | 68.5 ± 11.5 | 22.5 ± 3.8 |
| Female | 8 | 24.9 ± 2.2 | 1.60 ± 0.1 | 49.9 ± 14.0 | 19.3 ± 2.1 |
| Measurement Parameters | Test Instruments | Measurement Range | Accuracy | Test Method |
|---|---|---|---|---|
| Indoor temperature | HABOTEST HT HT618 Temperature and humidity data logger | −20~60 °C | ±0.5 °C | 1.1 m above the ground |
| Relative humidity | HABOTEST HT HT618 Temperature and humidity data logger | 0–99.9% | ±3% | 1.1 m above the ground |
| Airflow rate | HABOTEST HT625A Handheld anemometer | 0.4~30.00 m/s | ±0.5 m/s | 1.1 m above the ground |
| Thermal discomfort body language | General camera 1920×1080p | — | — | In front of subjects |
| Thermal Comfort | Scale |
|---|---|
| Hot | +3 |
| Warm | +2 |
| Slightly warm | +1 |
| Netural | 0 |
| Slightly cool | −1 |
| Cool | −2 |
| Cold | −3 |
| Parameter | Value | Parameter | Value |
|---|---|---|---|
| Actor-network learning rate | 1 × 10−4 | Soft update parameters of target network | 1 × 10−2 |
| Critic-network learning rate | 1 × 10−3 | Maximize reply buffer capacity | 50,000 |
| discount factor τ | 0.99 | activation function | tanh |
| batch_size | 128 |
| Model Evaluation Metrics | PMV-PPD | Model of This Paper |
|---|---|---|
| MAE | 0.241 | 0.033 |
| RMSE | 0.269 | 0.037 |
| Input | Algorithms | |||||||
|---|---|---|---|---|---|---|---|---|
| Indoor Parameters | Individual Parameters | Discomfort Expression | KNN | SVM | RF | DT | ANN | Ours |
| √ | √ | × | 0.0986 | 0.2000 | 0.0971 | 0.0619 | 0.1501 | - |
| √ | √ | √ | - | - | - | - | - | 0.033 |
| Input | Algorithms | |||||||
|---|---|---|---|---|---|---|---|---|
| Indoor Parameters | Individual Parameters | Discomfort Expression | KNN | SVM | RF | DT | ANN | Ours |
| √ | √ | × | 0.1217 | 0.2121 | 0.0760 | 0.1063 | 0.1730 | - |
| √ | √ | √ | - | - | - | - | - | 0.037 |
| Reinforcement Learning Algorithms | Indoor Temperature Setting/°C | Relative Humidity Setting/% | PMV | Thermal Dissatisfaction Rate |
|---|---|---|---|---|
| DDPG | 25.8 | 49.5% | 0.23 | 6.09% |
| DQN | 25.9 | 48.7% | 0.25 | 6.29% |
| Q-Learning | 26.1 | 49.1% | 0.33 | 7.26% |
| SARSA | 26.3 | 48.5% | 0.4 | 8.33% |
| Reinforcement Learning Algorithms | Indoor Temperature Setting/°C | Relative Humidity Setting/% | PMV | Thermal Dissatisfaction Rate |
|---|---|---|---|---|
| DDPG | 25.5 | 45.6% | 0.09 | 16.58% |
| DQN | 25.8 | 45.3% | 0.2 | 16.9% |
| Q-Learning | 25.9 | 45.2% | 0.23 | 17.8% |
| SARSA | 26.0 | 44.8% | 0.26 | 18.4% |
Disclaimer/Publisher’s Note: The statements, opinions and data contained in all publications are solely those of the individual author(s) and contributor(s) and not of MDPI and/or the editor(s). MDPI and/or the editor(s) disclaim responsibility for any injury to people or property resulting from any ideas, methods, instructions or products referred to in the content. |
© 2023 by the authors. Licensee MDPI, Basel, Switzerland. This article is an open access article distributed under the terms and conditions of the Creative Commons Attribution (CC BY) license (https://creativecommons.org/licenses/by/4.0/).
Share and Cite
Liu, G.; Wang, X.; Meng, Y.; Zhang, Y.; Chen, T. Research on Prediction and Regulation of Thermal Dissatisfaction Rate Based on Personalized Differences. Appl. Sci. 2023, 13, 7978. https://doi.org/10.3390/app13137978
Liu G, Wang X, Meng Y, Zhang Y, Chen T. Research on Prediction and Regulation of Thermal Dissatisfaction Rate Based on Personalized Differences. Applied Sciences. 2023; 13(13):7978. https://doi.org/10.3390/app13137978
Chicago/Turabian StyleLiu, Guanghui, Xiaohui Wang, Yuebo Meng, Yalin Zhang, and Tingting Chen. 2023. "Research on Prediction and Regulation of Thermal Dissatisfaction Rate Based on Personalized Differences" Applied Sciences 13, no. 13: 7978. https://doi.org/10.3390/app13137978
APA StyleLiu, G., Wang, X., Meng, Y., Zhang, Y., & Chen, T. (2023). Research on Prediction and Regulation of Thermal Dissatisfaction Rate Based on Personalized Differences. Applied Sciences, 13(13), 7978. https://doi.org/10.3390/app13137978

