Risk Assessment of Lift-Jacking Accidents Using FFTA-FMEA
Abstract
1. Introduction
2. Literature Review
2.1. Lift Risk Research Review
2.2. FFTA, FMEA Theory Review
3. Methodology
3.1. Framework Design
3.2. Fault Tree Analysis
3.3. Fuzzy Failure Probability Solving Method
3.3.1. Aggregating Obtained Opinions
3.3.2. Defuzzifying of Aggregated Expert Judgement (Fuzzy Possibility)
3.3.3. Converting Possibilities to Probabilities
3.4. FMEA Safety Assessment Model
- (1)
- FMEA scope definition
- (2)
- FMEA judgement criteria determination
- (3)
- AP risk assessment
4. Results
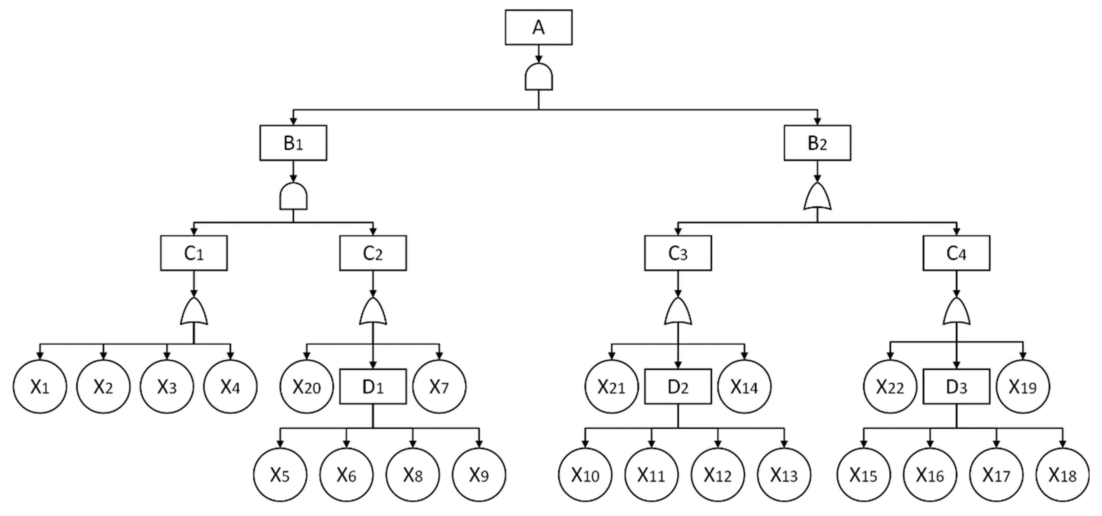
4.1. Fault Tree for Lift-Jacking Accidents
4.2. Qualitative Analysis for Fault Tree
4.3. Fuzzy Failure Probability Calculation
4.4. Fuzzy Fault Tree Quantitative Analysis
4.5. FEMA Processing for Lift-Jacking Accidents
5. Discussion
6. Conclusions
Author Contributions
Funding
Data Availability Statement
Conflicts of Interest
References
- Park, S.-T.; Yang, B.-S. An Implementation of Risk-based Inspection for Elevator Maintenance. J. Mech. Sci. Technol. 2010, 24, 2367–2376. [Google Scholar] [CrossRef]
- Xin, R. Research on Systematic Risk Assessment for Traction Type Passenger Elevator; South China University of Technology: Guangzhou, China, 2016. [Google Scholar]
- Zhang, D.; Xu, P. Research on Lift Accident Analysis and Expert System based on the Principle of Fault Tree Analysis. Autom. Instrum. 2016, 6, 167–169. [Google Scholar]
- Xu, S. Classification Statistic and Analysis of Causes of Elevator Accidents Based on 24Model. Saf. Secur. 2020, 41, 41–46. [Google Scholar]
- Yu, X.; Kong, D.; He, X.; Ping, P. PHA-FMEA-based Elevator Safety Assessment Method and Its Application. China Saf. Sci. J. 2014, 24, 60–64. [Google Scholar]
- Guo-Hua, C.; Gang, L.; Xin-Hua, W. Fuzzy Comprehensive Evaluation of Elevator System risk. China Saf. Sci. J. 2014, 24, 59–64. [Google Scholar]
- Niu, D.; Qi, C.; Li, G.; Li, H.; Pang, H. Rapid Fault Diagnosis Method of Elevator System Based on Multi-attribute Decision Making. Shock. Vib. 2021, 2021, 9939493. [Google Scholar] [CrossRef]
- Fang, J.; Pan, W.; Xu, R. Shen H. Safety Evaluation of Elevator Operation Status based on CW-VIKOR Method. J. Saf. Sci. Technol. 2022, 18, 229–234. [Google Scholar]
- Volkanovski, A.; Čepin, M.; Mavko, B. Application of the Fault Tree Analysis for Assessment of Power System Reliability. Reliab. Eng. Syst. Saf. 2009, 94, 1116–1127. [Google Scholar] [CrossRef]
- Sonawane, P.R.; Bhandari, S.; Patil, R.B.; Al-Dahidi, S. Reliability and Criticality Analysis of a Large-Scale Solar Photovoltaic System Using Fault Tree Analysis Approach. Sustainability 2023, 15, 4609. [Google Scholar] [CrossRef]
- Yiu, T.W.; Cheung, S.O.; Lok, C.L. A Fuzzy Fault Tree Framework of Construction Dispute Negotiation Failure. IEEE Trans. Eng. Manag. 2015, 62, 171–183. [Google Scholar] [CrossRef]
- Lavasani, S.M.; Ramzali, N.; Sabzalipour, F.; Akyuz, E. Utilisation of Fuzzy Fault Tree Analysis (FFTA) for Quantified Risk Analysis of Leakage in Abandoned Oil and Natural-gas Wells. Ocean Eng. 2015, 108, 729–737. [Google Scholar] [CrossRef]
- Tang, Y.; Jing, J.; Zhang, Z.; Yang, Y. A Quantitative Risk Analysis Method for the High Hazard Mechanical System in Petroleum and Petrochemical Industry. Energies 2018, 11, 14. [Google Scholar] [CrossRef]
- Liu, H.-C.; Liu, L.; Liu, N. Risk Evaluation Approaches in Failure Mode and Effects Analysis: A Literature Review. Expert Syst. Appl. 2013, 40, 828–838. [Google Scholar] [CrossRef]
- Wang, L.; Sun, L.; Kang, J.; Wang, Y.; Wang, H. Risk Identification of FPSO Oil and Gas Processing System Based on an Improved FMEA Approach. Appl. Sci. 2022, 11, 567. [Google Scholar] [CrossRef]
- Sachdeva, A.; Kumar, D.; Kumar, P. Multi-Factor Failure Mode Critically Analysis using TOPSIS. J. Ind. Eng. Int. 2009, 5, 1–9. [Google Scholar]
- Wang, L.-E.; Liu, H.-C.; Quan, M.-Y. Evaluating the Risk of Failure Modes with a Hybrid MCDM Model under Interval-Valued Intuitionistic Fuzzy Environments. Comput. Ind. Eng. 2016, 102, 175–185. [Google Scholar] [CrossRef]
- Mzougui, I.; El Felsoufi, Z. Proposition of a Modified FMEA to Improve Reliability of Product. Procedia CIRP 2019, 84, 1003–1009. [Google Scholar] [CrossRef]
- Rezaei, J. Best-worst Multi-criteria Decision-making Method. Omega 2015, 53, 49–57. [Google Scholar] [CrossRef]
- Liu, H.C.; Chen, X.Q.; You, J.X.; Li, Z. A New Integrated Approach for Risk Revaluation and Classification with Dynamic Expert Weights. IEEE Trans. Reliab. 2020, 70, 163–174. [Google Scholar] [CrossRef]
- AIAG Quality Steering Committee. AIAG-VDA Failure Mode and Effect Analysis (FMEA) Handbook; Automotive Industry Action Group: Southfield, MI, USA, 2018. [Google Scholar]
- Sun, J.-J.; Yeh, T.-M.; Pai, F.-Y. Application of Monte Carlo Simulation to Study the Probability of Confidence Level under the PFMEA’s Action Priority. Mathematics 2022, 10, 2596. [Google Scholar] [CrossRef]
- Ouyang, L.; Che, Y.; Yan, L.; Park, C. Multiple Perspectives on Analyzing Risk Factors in FMEA. Comput. Ind. 2022, 141, 103712. [Google Scholar] [CrossRef]
- Anes, V.; Morgado, T.; Abreu, A.; Calado, J.; Reis, L. Updating the FMEA Approach with Mitigation Assessment Capabilities—A Case Study of Aircraft Maintenance Repairs. Appl. Sci. 2022, 12, 11407. [Google Scholar] [CrossRef]
- Sahin, B. Consistency Control and Expert Consistency Prioritization for FFTA by Using Extent Analysis Method of Trapezoidal FAHP. Appl. Soft Comput. 2017, 56, 46–54. [Google Scholar] [CrossRef]
- Bognár, F.; Hegedus, C. Analysis and Consequences on Some Aggregation Functions of PRISM (Partial Risk Map) Risk Assessment Method. Mathematics 2022, 10, 676. [Google Scholar] [CrossRef]
- Dahooie, J.H.; Vanaki, A.S.; Firoozfar, H.R.; Zavadskas, E.K.; Čereška, A. An Extension of the Failure Mode and Effect Analysis with Hesitant Fuzzy Sets to Assess the Occupational Hazards in the Construction Industry. Appl. Sci. 2020, 17, 1442. [Google Scholar]
- Shi, L.; Shuai, J.; Xu, K. Fuzzy Fault Tree Assessment based on Improved AHP for Fire and Explosion Accidents for Steel Oil Storage Tanks. J. Hazard. Mater. 2014, 278, 529–538. [Google Scholar] [CrossRef] [PubMed]
- Kabir, S. An Overview of Fault Tree Analysis and Its Application in Model-based Dependability Analysis. Expert Syst. Appl. 2017, 77, 114–135. [Google Scholar] [CrossRef]
- Ruijters, E.; Stoelinga, M. Fault Tree Analysis: A Survey of the State-of-the-art in Modeling, Analysis and Tools. Comput. Sci. Rev. 2015, 15, 29–62. [Google Scholar] [CrossRef]
- Peeters, J.F.W.; Basten, R.J.I.; Tinga, T. Improving Failure Analysis Efficiency by Combining FTA and FMEA in a Recursive Manner. Reliab. Eng. Syst. Saf. 2018, 172, 36–44. [Google Scholar] [CrossRef]
- Wang, D.; Zhang, P.; Chen, L. Fuzzy Fault tree Analysis for Fire and Explosion of Crude Oil Tanks. J. Loss Prev. Process Ind. 2013, 26, 1390–1398. [Google Scholar] [CrossRef]
- Pang, N.; Jia, P.; Liu, P.; Yin, F.; Zhou, L.; Wang, L.; Yun, F.; Wang, X. A Fuzzy Markov Model for Risk and Reliability Prediction of Engineering Systems: A Case Study of a Subsea Wellhead Connector. Appl. Sci. 2020, 10, 6902. [Google Scholar] [CrossRef]
- Liu, G.; Wang, X. A Trapezoidal Fuzzy Number-Based VIKOR Method with Completely Unknown Weight Information. Symmetry 2023, 15, 559. [Google Scholar] [CrossRef]
- Hus, H.M.; Chen, C.T. Aggregation of Fuzzy Opinions under Group Decision Making. Fuzzy Sets Syst. 1996, 79, 279–285. [Google Scholar]
- Yu, V.F.; Dat, L.Q. An Improved Ranking Method for Fuzzy Numbers with Integral Values. Appl. Soft Comput. 2014, 14, 603–608. [Google Scholar] [CrossRef]
- Onisawa, T. An Approach to Human Reliability in Man-machine Systems Using Error Possibility. Fuzzy Sets Syst. 1988, 27, 87–103. [Google Scholar] [CrossRef]
- Braglia, M.; Gabbrielli, R.; Marrazzini, L. An Improved Failure Mode and Effects Analysis Method Based on Uncertainty Measure in the Evidence Theory. Qual. Reliab. Eng. Int. 2020, 36, 1786–1807. [Google Scholar]
- Razouk, H.; Kern, R. Improving the Consistency of the Failure Mode Effect Analysis (FMEA) Documents in Semiconductor Manufacturing. Appl. Sci. 2022, 12, 1840. [Google Scholar] [CrossRef]
- Selim, H.; Yunusoglu, M.G.; Balaman, Ş.Y. A Dynamic Maintenance Planning Framework Based on Fuzzy TOPSIS and FMEA: Application in an International Food Company. Qual. Reliab. Eng. Int. 2016, 32, 795–804. [Google Scholar] [CrossRef]
- Liu, R.; Liu, H.-C.; Shi, H.; Gu, X. Occupational Health and Safety Risk Assessment: A Systematic Literature Review of Models, Methods, and Applications. Saf. Sci. 2023, 160, 106050. [Google Scholar] [CrossRef]
- Wu, Z.; Chen, J.; Lin, X. Inspection Method and Study of the Wear Condition of Traction Wheel Grooves in Lifts. China Plant Eng. 2019, 9, 115–116. [Google Scholar]
- Wei, Q.; Wang, H.; Hu, J. Study on Fuzzy Integrated Assessment Method for Safety Level of Traction Elevators and Its Application. J. Saf. Sci. Technol. 2013, 9, 129–136. [Google Scholar]



| Constitution | Classification | Score |
|---|---|---|
| Professional position | Professor, GM/DGM, Chief Engineer, Technical Director | 15 |
| Associate Professor, Technology Manager | 12 | |
| Engineer, Supervisors | 9 | |
| Technician, Graduate apprentice | 6 | |
| Operator | 3 | |
| Experience (in years) | ≥35 | 10 |
| 20 to 34 | 8 | |
| 10 to 19 | 6 | |
| 5 to 9 | 4 | |
| <5 | 2 | |
| Education | Ph.D. | 5 |
| Master’s degree | 4 | |
| Bachelor’s degree | 3 | |
| Junior college | 2 | |
| Vocational secondary school | 1 |
| Judgement | Fuzzy Number Form | |
|---|---|---|
| Low | (0.1, 0.2, 0.2, 0.3) | [0.1 + 0.1, −0.1 + 0.3] |
| Mildly Low | (0.2, 0.3, 0.4, 0.5) | [0.1 + 0.2, −0.1 + 0.5] |
| Medium | (0.4, 0.5, 0.5, 0.6) | [0.1 + 0.4, −0.1 + 0.6] |
| Mildly High | (0.5, 0.6, 0.7, 0.8) | [0.1 + 0.5, −0.1 + 0.8] |
| High | (0.7, 0.8, 0.8, 0.9) | [0.1 + 0.7, −0.1 + 0.9] |
| Scale Level | Frequency | Probability Correspondence | Grade |
|---|---|---|---|
| Too high | ≥300, Every thousand operations | [0.3, 1] | 10 |
| 100, Every thousand operations | [0.1, 0.3) | 9 | |
| High | 50, Every thousand operations | [0.05, 0.1) | 8 |
| 20, Every thousand operations | [0.02, 0.05) | 7 | |
| Medium | 10, Every thousand operations | [0.01, 0.02) | 6 |
| 5, Every thousand operations | [0.005, 0.01) | 5 | |
| Low | 0.2, Every thousand operations | [0.002, 0.005) | 4 |
| 0.1, Every thousand operations | [0.001, 0.002) | 3 | |
| Very rare | 0.05, Every thousand operations | [0.0005, 0.001) | 2 |
| <0.05, Every thousand operations | [0.0001, 0.0005) | 1 |
| Scale Level | Evaluation Description | Grade |
|---|---|---|
| Very low | Design controls do not identify potential causes/mechanisms; or no design controls at all | 10 |
| Design controls have only a very small chance of identifying potential causes/mechanisms | 9 | |
| Low | Design control has a small chance of identifying the potential causes/mechanisms | 8 |
| Design control has rather little chance of identifying potential causes/mechanisms | 7 | |
| Medium | Design controls have less chance of identifying potential causes/mechanisms | 6 |
| Design controls have a medium chance of identifying potential causes/mechanisms | 5 | |
| High | Design control has a medium to high chance of identifying potential causes/mechanisms | 4 |
| Design control has a better chance of identifying potential causes/mechanisms | 3 | |
| Very high | Design control has many opportunities for design control to identify potential causes/mechanisms | 2 |
| Design controls will almost certainly identify potential causes/mechanisms | 1 |
| Scale Level | Impact | Relative Probability Importance | Grade |
|---|---|---|---|
| Fatal | The event has an extremely fatal impact on the occurrence of TE | [0.8, 1] | 10 |
| The event has a high impact on the occurrence of TE | [0.6, 0.8) | 9 | |
| Major | The event has a rather major impact on the occurrence of TE | [0.4, 0.6) | 8 |
| The event has a major impact on the occurrence of TE | [0.3, 0.4) | 7 | |
| Moderate | The event has a significant impact on the occurrence of TE | [0.2, 0.3) | 6 |
| The event has a moderate impact on the occurrence of TE | [0.15, 0.2) | 5 | |
| Minor | The event has a small impact on the occurrence of TE | [0.1, 0.15) | 4 |
| The event has a minor impact on the occurrence of TE | [0.05, 0.1) | 3 | |
| Insignificant | The event has an insignificant impact on the occurrence of TE | [0.025, 0.05) | 2 |
| The event has an extremely insignificant impact on the occurrence of TE | (0, 0.025) | 1 |
| S | O | D | AP | S | O | D | AP | S | O | D | AP | S | O | D | AP |
|---|---|---|---|---|---|---|---|---|---|---|---|---|---|---|---|
| 9–10 | 8–10 | 7–10 | H | 7–8 | 8–10 | 7–10 | H | 4–6 | 8–10 | 7–10 | H | 2–3 | 8–10 | 7–10 | M |
| 5–6 | H | 5–6 | H | 5–6 | H | 5–6 | M | ||||||||
| 2–4 | H | 2–4 | H | 2–4 | M | 2–4 | L | ||||||||
| 1 | H | 1 | H | 1 | M | 1 | L | ||||||||
| 6–7 | 7–10 | H | 6–7 | 7–10 | H | 6–7 | 7–10 | M | 6–7 | 7–10 | L | ||||
| 5–6 | H | 5–6 | H | 5–6 | M | 5–6 | L | ||||||||
| 2–4 | H | 2–4 | H | 2–4 | M | 2–4 | L | ||||||||
| 1 | H | 1 | M | 1 | L | 1 | L | ||||||||
| 4–5 | 7–10 | H | 4–5 | 7–10 | H | 4–5 | 7–10 | M | 4–5 | 7–10 | L | ||||
| 5–6 | H | 5–6 | M | 5–6 | L | 5–6 | L | ||||||||
| 2–4 | H | 2–4 | M | 2–4 | L | 2–4 | L | ||||||||
| 1 | M | 1 | M | 1 | L | 1 | L | ||||||||
| 2–3 | 7–10 | H | 2–3 | 7–10 | M | 2–3 | 7–10 | L | 2–3 | 7–10 | L | ||||
| 5–6 | M | 5–6 | M | 5–6 | L | 5–6 | L | ||||||||
| 2–4 | L | 2–4 | L | 2–4 | L | 2–4 | L | ||||||||
| 1 | L | 1 | L | 1 | L | 1 | L | ||||||||
| 1 | 1–10 | L | 1 | 1–10 | L | 1 | 1–10 | L | 1 | 1–10 | L | ||||
| 1 | 1–10 | 1–10 | L |
| Serial Number | Risk Factors | Serial Number | Risk Factors | Serial Number | Risk Factors |
|---|---|---|---|---|---|
| A | Lift-jacking accidents | X2 | Severe wear of traction sheave grooves | X13 | Oil stains on the surface of the speed limiter components |
| B1 | Traction system failure | X3 | Oil stains in traction sheave grooves, wire ropes | X14 | Broken speed limiter wire rope |
| B2 | Safety protection system failure | X4 | Excessive tension on the traction rope on both sides of the traction sheave | X15 | Excessive wedge clearance |
| C1 | Insufficient traction | X5 | Severe wear of the brake wheel and brake tile | X16 | The wedge is smoothed |
| C2 | Brake failure | X6 | Excessive clearance between brake wheel and shackle | X17 | No synchronised action of the two wedges |
| C3 | Speed limiter failure | X7 | Stuck brake arm | X18 | Oil on the surface of the slider/wedge |
| C4 | Safety clamp failure | X8 | Oil on the surface of the brake wheel | X19 | Incorrect installation or improper adjustment of safety clamp |
| D1 | Too little friction between the brake wheel and the brake pad | X9 | Brake springs are too loosely adjusted | X20 | The brake circuit is faulty, and voltage is always present |
| D2 | Insufficient speed limiter wire rope lift stroke | X10 | Tensioner wheel groove wear | X21 | Short circuit in the safety circuit of the speed limiter |
| D3 | Safety clamps on both sides do not work properly | X11 | A loose nut on the speed adjustment area | X22 | Tensioner wheel groove wear |
| X1 | Severe wear of the traction wire rope and reduction in diameter | X12 | Damage to the speed limiter spring by prolonged expansion and contraction |
| System Level | Installation Level | Component Level | Serial Number | Expert A Judgement | Expert B Judgement | Expert C Judgement |
|---|---|---|---|---|---|---|
| Traction system failure | / | Severe wear of the traction wire rope and reduction in diameter | X1 | Mildly Low | Low | Medium |
| / | Severe wear of traction sheave grooves | X2 | Medium | Medium | Mildly High | |
| / | Oil stains in traction sheave grooves, wire ropes | X3 | Mildly Low | Mildly High | Mildly Low | |
| / | Excessive tension on the traction rope on both sides of the traction sheave | X4 | Low | Medium | Low | |
| Brake failure | Severe wear of the brake wheel and brake tile | X5 | High | High | High | |
| Excessive clearance between brake wheel and shackle | X6 | Mildly High | Mildly High | High | ||
| Stuck brake arm | X7 | High | High | High | ||
| Oil on the surface of the brake wheel | X8 | Medium | Mildly High | Medium | ||
| Brake springs are too loosely adjusted | X9 | Mildly Low | Medium | Medium | ||
| Safety protection system failure | Speed limiter failure | Tensioner wheel groove wear | X10 | Medium | Mildly Low | Mildly Low |
| A loose nut on the speed adjustment area | X11 | Mildly Low | Medium | Low | ||
| Damage to the speed limiter spring by prolonged expansion and contraction | X12 | Medium | Mildly High | Low | ||
| Oil stains on the surface of the speed limiter components | X13 | Mildly Low | Mildly Low | Low | ||
| Broken speed limiter wire rope | X14 | High | High | Medium | ||
| Safety clamp failure | Excessive wedge clearance | X15 | Medium | Mildly High | Low | |
| The wedge is smoothed | X16 | Mildly High | High | Low | ||
| No synchronised action of the two wedges | X17 | Mildly High | Mildly High | Low | ||
| Oil on the surface of the slider/wedge | X18 | Mildly Low | Mildly High | Low | ||
| Incorrect installation or improper adjustment of safety clamp | X19 | Mildly High | Mildly High | Medium | ||
| Electrical control system failure | The brake circuit is faulty, and voltage is always present | / | X20 | High | High | High |
| Short circuit in the safety circuit of the speed limiter | / | X21 | Mildly High | High | Low | |
| Tensioner wheel groove wear | / | X22 | High | High | Low |
| Constitution | Expert A | Expert B | Expert C |
|---|---|---|---|
| Professional position | Engineer | Engineer | Graduate apprentice |
| Education | Ph.D. | Master’s degree | Ph.D. |
| Experience (in years) | 3 | 7 | 0 |
| Serial Number | Probability | Serial Number | Probability | Serial Number | Probability |
|---|---|---|---|---|---|
| X1 | 0.0014 | X10 | 0.002 | X19 | 0.009 |
| X2 | 0.0068 | X11 | 0.0023 | X20 | 0.03 |
| X3 | 0.0029 | X12 | 0.0036 | X21 | 0.0083 |
| X4 | 0.0008 | X13 | 0.0015 | X22 | 0.011 |
| X5 | 0.03 | X14 | 0.021 | ||
| X6 | 0.018 | X15 | 0.0036 | ||
| X7 | 0.03 | X16 | 0.0083 | ||
| X8 | 0.0064 | X17 | 0.0071 | ||
| X9 | 0.0036 | X18 | 0.0023 |
| BE | Serial Number | Structural Importance Indicator | Probability Importance Indicator | Relative Probability Importance Indicator |
|---|---|---|---|---|
| Severe wear of traction sheave grooves | X2 | 0.123 | 0.00847 | 0.571 |
| Oil stains in traction sheave grooves, wire ropes | X3 | 0.123 | 0.00863 | 0.242 |
| Severe wear of the traction wire rope and reduction in diameter | X1 | 0.123 | 0.00862 | 0.117 |
| Excessive tension on the traction rope on both sides of the traction sheave | X4 | 0.123 | 0.00861 | 0.0667 |
| Broken speed limiter wire rope | X14 | 0.000451 | 0.00126 | 0.256 |
| Tensioner wheel groove wear | X22 | 0.000451 | 0.00125 | 0.133 |
| Incorrect installation or improper adjustment of safety clamp | X19 | 0.000451 | 0.00124 | 0.108 |
| Oil on the surface of the slider/wedge | X18 | 0.000451 | 0.00124 | 0.0275 |
| No synchronised action of the two wedges | X17 | 0.000451 | 0.00124 | 0.0854 |
| The wedge is smoothed | X16 | 0.000451 | 0.00124 | 0.0999 |
| Excessive wedge clearance | X15 | 0.000451 | 0.00124 | 0.0431 |
| Damage to the speed limiter spring by prolonged expansion and contraction | X12 | 0.000451 | 0.00124 | 0.0431 |
| A loose nut on the speed adjustment area | X11 | 0.000451 | 0.00124 | 0.0275 |
| Tensioner wheel groove wear | X10 | 0.000451 | 0.00124 | 0.0239 |
| Short circuit in the safety circuit of the speed limiter | X21 | 0.000451 | 0.00124 | 0.0999 |
| Oil stains on the surface of the speed limiter components | X13 | 0.000451 | 0.00124 | 0.0179 |
| Stuck brake arm | X7 | 0.0293 | 0.000838 | 0.244 |
| Severe wear of the brake wheel and brake tile | X5 | 0.0293 | 0.000838 | 0.244 |
| The brake circuit is faulty, and voltage is always present | X20 | 0.0293 | 0.000838 | 0.244 |
| Excessive clearance between brake wheel and shackle | X6 | 0.0293 | 0.000828 | 0.144 |
| Oil on the surface of the brake wheel | X8 | 0.0293 | 0.000818 | 0.0507 |
| Brake springs are too loosely adjusted | X9 | 0.0293 | 0.000816 | 0.0284 |
| BE | Serial Number | S | O | D | AP |
|---|---|---|---|---|---|
| Severe wear of the traction wire rope and reduction in diameter | X1 | 4 | 3 | 2 | L |
| Severe wear of traction sheave grooves | X2 | 8 | 5 | 7 | H |
| Oil stains in traction sheave grooves, wire ropes | X3 | 6 | 4 | 10 | M |
| Excessive tension on the traction rope on both sides of the traction sheave | X4 | 3 | 2 | 3 | L |
| Severe wear of the brake wheel and brake tile | X5 | 6 | 7 | 7 | M |
| Excessive clearance between brake wheel and shackle | X6 | 4 | 6 | 3 | M |
| Stuck brake arm | X7 | 6 | 7 | 3 | M |
| Oil on the surface of the brake wheel | X8 | 3 | 5 | 10 | L |
| Brake springs are too loosely adjusted | X9 | 2 | 4 | 9 | L |
| Tensioner wheel groove wear | X10 | 1 | 4 | 7 | L |
| A loose nut on the speed adjustment area | X11 | 2 | 4 | 9 | L |
| Damage to the speed limiter spring by prolonged expansion and contraction | X12 | 2 | 4 | 9 | L |
| Oil stains on the surface of the speed limiter components | X13 | 1 | 3 | 10 | L |
| Broken speed limiter wire rope | X14 | 6 | 7 | 2 | M |
| Excessive wedge clearance | X15 | 2 | 4 | 5 | L |
| The wedge is smoothed | X16 | 1 | 5 | 9 | L |
| No synchronised action of the two wedges | X17 | 3 | 5 | 9 | L |
| Oil on the surface of the slider/wedge | X18 | 2 | 4 | 10 | L |
| Incorrect installation or improper adjustment of safety clamp | X19 | 4 | 5 | 9 | M |
| The brake circuit is faulty, and voltage is always present | X20 | 6 | 7 | 1 | L |
| Short circuit in the safety circuit of the speed limiter | X21 | 1 | 5 | 1 | L |
| Tensioner wheel groove wear | X22 | 4 | 6 | 1 | L |
Disclaimer/Publisher’s Note: The statements, opinions and data contained in all publications are solely those of the individual author(s) and contributor(s) and not of MDPI and/or the editor(s). MDPI and/or the editor(s) disclaim responsibility for any injury to people or property resulting from any ideas, methods, instructions or products referred to in the content. |
© 2023 by the authors. Licensee MDPI, Basel, Switzerland. This article is an open access article distributed under the terms and conditions of the Creative Commons Attribution (CC BY) license (https://creativecommons.org/licenses/by/4.0/).
Share and Cite
Xu, N.; Di, K.; Liu, F.; Zhao, W.; Zhang, B. Risk Assessment of Lift-Jacking Accidents Using FFTA-FMEA. Appl. Sci. 2023, 13, 7312. https://doi.org/10.3390/app13127312
Xu N, Di K, Liu F, Zhao W, Zhang B. Risk Assessment of Lift-Jacking Accidents Using FFTA-FMEA. Applied Sciences. 2023; 13(12):7312. https://doi.org/10.3390/app13127312
Chicago/Turabian StyleXu, Na, Keyi Di, Feifei Liu, Wencheng Zhao, and Bo Zhang. 2023. "Risk Assessment of Lift-Jacking Accidents Using FFTA-FMEA" Applied Sciences 13, no. 12: 7312. https://doi.org/10.3390/app13127312
APA StyleXu, N., Di, K., Liu, F., Zhao, W., & Zhang, B. (2023). Risk Assessment of Lift-Jacking Accidents Using FFTA-FMEA. Applied Sciences, 13(12), 7312. https://doi.org/10.3390/app13127312

