You are currently viewing a new version of our website. To view the old version click .
Applied Sciences
  • Article
  • Open Access

20 June 2023

Risk Assessment of Lift-Jacking Accidents Using FFTA-FMEA

,
,
,
and
1
School of Mechanics and Civil Engineering, China University of Mining and Technology, Xuzhou 221116, China
2
School of Mechatronic Engineering, China University of Mining and Technology, Xuzhou 221116, China
3
Shenzhen Urban Public Safety and Technology Institute, Shenzhen 518046, China
4
School of Computer Science and Technology, China University of Mining and Technology, Xuzhou 221116, China
This article belongs to the Section Applied Industrial Technologies

Abstract

Lift-jacking accidents are one of the five common accidents in the lift field, characterised as a high hazard. In addition, it is difficult to obtain absolute probabilities of risk factors for lift accidents which are ambiguous and uncertain. In order to solve related problems and perform a comprehensive risk assessment of lift-jacking accidents, a risk assessment methodology integrated with FFTA (Fuzzy Fault Tree Analysis) and FMEA (Failure Mode and Effects Analysis) has been proposed. First, qualitative analysis of the fault tree was applied to identify risk factors of TE (Top Event). Then, a hybrid approach for the fuzzy set theory and weight analysis was investigated to quantify the probability of every BE (Bottom Event), and quantitative analysis was conducted. Finally, an analytical model was constructed by linking FFTA and FMEA through indicator conversion, which leads to overall risk evaluation. An application on a real project example shows that (1) the FFTA-FMEA model can aggregate expert assessment opinions and effectively eliminate ambiguity and uncertainty of risk factors of lift-jacking accidents. (2) The FFTA-FMEA model can quantify the risk of lift-jacking accidents and identify medium to high-risk factors in a multi-angle, deeper, and precise level. The method offers a theoretical framework for the development of preventive measures and safety management strategies for lift-jacking accidents. The practical application in reliability engineering demonstrates its convenience and efficiency, indicating its significant value in this field.

1. Introduction

As a piece of common special equipment in people’s daily life, lifts have a pivotal role in the field of high-rise and super high-rise facilities. The lift consists of eight core systems and is driven by the friction of the wire rope. The wire rope wraps around the traction wheel and connects to the car and counterweight at each end. The motor drives the traction wheel to raise the car and it makes the lift have the technical advantages of high efficiency and accurate leveling. However, the lift is a complex system. It is technically sophisticated and its components are closely linked. Damage to key components often leads to system failures and breakdowns, which can lead to major accidents [1]. Thus, there are many risks of injury and even the threat of death.
Lift-jacking accidents are highly prevalent and hazardous and are one of the five most common lift accidents. A lift-jacking accident can have a huge impact on a company’s economy, reputation, and growth. Furthermore, it poses a threat to the life and safety of people riding and waiting for the lift and brings a major blow to families and social stability. For such a complex system, the causes of accidents involve multiple elements such as Man, Machine, Material, Method, and Environment [2]. They can also be divided into system level, installation level, and component level, all of which are interlinked and complex. Therefore, in this study, a risk assessment methodology integrated with FFTA and FMEA is brought forward to identify key risk sources, provide targeted recommendations on the safety management of lift-jacking accidents, and effectively prevent the occurrence of such accidents.

2. Literature Review

2.1. Lift Risk Research Review

At present, scholars’ research on lift accident risk assessment is broadly divided into qualitative analysis, quantitative analysis, and combined qualitative and quantitative analysis methods. In the area of qualitative analysis, numerous scholars have traced the causes of lift accidents in depth by accident analysis, literature mining, the Delphi method, or using FTA. Dongping Zhang and Peilong Xu studied a large number of accident investigation reports and applied the FTA method to define the unsafe status of lift equipment and achieved an accurate analysis of accident causes [3]. Surui Xu selected a variety of accident cases in recent years and used the “2–4” model to classify and analyze the direct causes, indirect causes, root causes, and root causes of lift accidents [4]. All the above scholars analyzed the causal factors of lift accidents from a single perspective, but it is impossible to assess the magnitude of risk by considering only from a qualitative perspective, so some scholars have used quantitative analysis to study the risk of lift accidents. Zhongxing Li used the component hazard evaluation method of PHA-FMEA to refine the risk level corresponding to each component in different states and successfully constructed the lift safety evaluation index system [5]. Guohua Chen used a fuzzy comprehensive evaluation method to assess the risk of lift systems and established corresponding risk evaluation level classification guidelines [6]. In recent years, a combination of qualitative and quantitative analysis of lift accidents has become popular among scholars. This method can quickly trace the key causes of lift accidents and also quantify lift risks in a comprehensive manner to build a lift system risk assessment system. D.P. Niu proposed a fault tree for lift systems based on expert knowledge and multi-source data and used TOPSIS Methodology to achieve the optimal sequence of lift vibration faults [7]. Junjie Fang applied the CW-VIKOR method to summarise the types of lift faults, to build a highly relevant lift operation assessment system, and to determine the safety assessment level of lift operation [8].
It is apparent that scholars have devoted significant efforts to researching lift accidents, with a prevailing trend towards employing a combination of qualitative and quantitative methodologies. However, the current research approach has not yet reached a state of maturation. Specifically, in the construction of accident causation assessment models, the reliance on the subjective expert judgement has led to the identification of ambiguous and uncertain causal factors, with varying levels of expertise amongst different practitioners. As a result, the analysis results exhibit a lack of objectivity and accuracy. Additionally, most of the existing research has only identified key causal factors, with an incomplete depiction of the actual level of risk. Such findings can result in managers developing a one-sided perception of risk. Moreover, lift accidents are typically analyzed in a homogenous manner, without differentiation into specific accident categories, rendering the conclusions of such analysis general in nature, but lacking in pertinence. Notably, despite being one of the top five lift accidents, lift-jacking accidents have received little attention from academics, and thus, they deserve further investigation.

2.2. FFTA, FMEA Theory Review

Among the classical risk identification techniques, FTA uses a deductive modelling approach that enables effective fault research to be carried out to trace the causes of a given event. FTA is already widely used in industry as a safety and reliability analysis system. Volkanovski developed a new method for power system reliability analysis using FTA, which allows qualitative and quantitative determination of the reliability of the power system [9]. R. Sonawane constructed reliability modelling and proposed an assessment framework for a photovoltaic system based on FTA [10]. A significant advantage of FTA is its ability to keep the qualitative characteristics of the model itself intact when quantifying risk [11]. A large number of quantitative risk models can be found in the FTA literature. Similar to models constructed by other risk assessment methods, these models use probability functions and require a large amount of data to support them to ensure accuracy. In fact, the most common risk assessment and management tools rely heavily on quantitative data, and the information is extremely difficult to obtain in some industries. In response to the scarcity of statistical data and the limitations of human cognition, a likelihood approach based on fuzzy sets is proposed. FFTA can offer greater flexibility than FTA, as opposed to exact probability values, experts can express their recommendations on failure rates in natural language terms. Miri Lavasani applied the fuzzy theory as a solution to the problem of failure rates and used FFTA to analyze the leakage in abandoned oil and natural-gas wells [12]. Tang Yang applied fuzzy set theory to solve the problem of uncertain data on the probability of occurrence and severity of consequences during risk analysis and used FFTA and FETA to compute [13]. FFTA is a useful diagnostic tool for identifying fault paths and critical events with ambiguity.
FMEA is another critical safety and reliability analysis tool that is widely used in a wide range of industries. The core of traditional FMEA is the evaluation of three indicators: S (Severity), O (Occurrence), and D (Detectability) of equipment (components) failure. The S, O, and D can be algebraically multiplied, representing the RPN (Risk Priority Number) to identify failure modes and prioritise key causes of failure. However, the application of the traditional RPN method has several limitations and can lead to some problems. The main controversial points are summarised below [14,15]: (1) S, O, and D are set the same weight, without considering relative importance. (2) There is no scientific basis for calculating RPN by multiplication. (3) Different combinations of S, O, and D can produce the same RPN and their implications are also different. (4) S, O, and D are difficult to be evaluated precisely. Despite these criticisms, FMEA-based models continue to be widely used in industry because of their applicability and ease of use. Many attempts have been made by some academics to overcome one or more of the limitations. Sachdeva applied the TOPSIS to rank the risk priority of all failure modes [16]. Li-En Wang combined ANP and COPRAS methods with interval-valued intuitionistic fuzzy numbers to address the problem of inefficiency of traditional FMEA methods of prioritisation [17]. To determine the relative weights of S, O, and D, Mzougui proposed a modified FMEA by using TRIZ Anticipatory Failure Determination to identify failures and using the AHP method to calculate the weight of each factor [18]. Rezaei proposed the Best-Worst Method to determine the importance of weights of criteria flexibly [19].
The objective of the above models is overall to reduce ambiguity or improve the calculation of the RPN to obtain a more accurate ranking. However, in most cases, it does not seem necessary to obtain an accurate ranking of the causes. Liu stated that FMEA aims to identify critical failure modes and should be considered as a clustering problem [20]. After years of cooperation, the AIAG/VDA (Automotive Industry Action Group/Verband der Automobilindustrie) FMEA Handbook recommends using AP (Action Priority) fields in place of the RPN in FMEA in 2019 [21]. The edition adopts AP to classify failure modes into H (High-risk), M (Medium-risk), and L (Low-risk). The AP method focuses on the S-value and respective impact of S, O, and D. It considers S, O, and D in order and subdivides all the corresponding situations. Sun found that the AP method is reasonable and appropriate by performing a differential analysis of the old RPN and the new AP in the case [22]. It also proves that AP is beneficial to error-proof. Overall, the AP method is an improvement on the traditional RPN method.
A recent development in risk assessment in the industry is the refinement and extension of existing classical methods through mathematical methods. Ouyang proposed a new FMEA classification method, which avoids the interactive effects of simultaneous analysis of risk factors by combining them in pairs for risk evaluation [23]. Anes retained the original applicability of the conventional FMEA and the three conventional risk variables and added a fourth variable to consider risk mitigation capability [24]. Sahin added a consistency check for expert judgements in the application of FFTA [25]. Another typical development is the combination of a risk assessment method with another method (or even more). Bognár proposed the Partial Risk Map Methodology, which combines FMEA and the Risk Matrix risk assessment method to perform proactive assessments and give predictions [26]. Dahooie combined the MCMD method based on hesitant fuzzy sets with the FMEA method to effectively address expert hesitation in assessment [27]. Lei Shi used FFTA and improved AHP to make an important analysis of fire and explosion accidents in steel oil storage tanks [28]. Its purpose is to leverage the strengths of their respective risk assessment methods and achieve complementarity. In fact, its reliability, validity, practicality, and applicability have increased significantly over the decades.
The FFTA-FMEA method proposed in this study is an effective combination of qualitative and quantitative methods, which integrates the FFTA and FMEA methods. The FFTA allows for the precise identification of incident factors in lift-jacking incidents and effectively removes the ambiguity and uncertainty of the risk factors. The FFTA establishes a numerical link to the FMEA through the results of the quantitative analysis, and the FMEA using the AP method enables in-depth risk analysis and risk quantification from multiple perspectives. The specific integration aims to perform a more comprehensive and unbiased analysis and assessment of lift-jacking accidents. In addition, the weighting method incorporated in FFTA effectively eliminates uncertainty and subjective influences between experts due to various factors such as experience and education, thus standardizing expert opinion.

3. Methodology

3.1. Framework Design

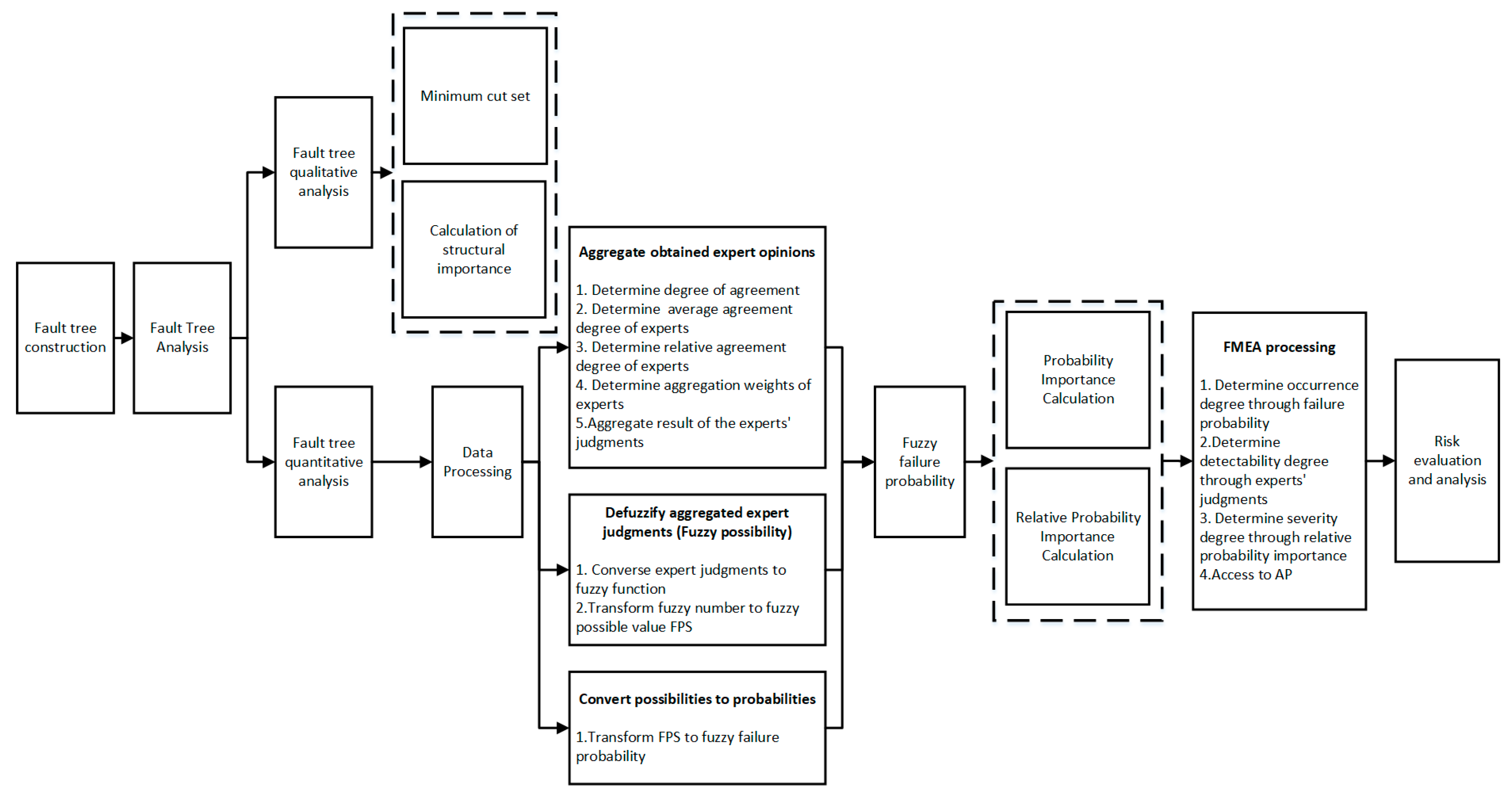
The process of evaluating the risk of lift-jacking accidents based on FFTA and FMEA is shown in Figure 1.
Figure 1. The framework of the Risk Assessment.

3.2. Fault Tree Analysis

Fault Tree Analysis (FTA) is a tool used to investigate failure behavior in risk assessment and safety engineering [29]. A fault tree is a logic diagram that denotes the relationships between an event (typically a system failure) and the causes of the event (typically component failures) [30]. It selects the event in the system that needs to be analyzed as the TE, finds the intermediate events through cause-and-effect analysis layer by layer, and continues to decompose to the smallest cause of failure that cannot be decomposed as the BE. It uses logic gates and events to model how the component states relate to the whole state of the system in the process. FTA commonly utilises three types of logic gates, which are the OR-gate, AND-gate, and conditional gate. In addition, FTA also employs four different event types, which include the top or intermediate event, basic event, diamond (undeveloped) event, and conditional event [31]. In safety systems engineering, the FTA method has the advantage of being intuitive, causal, and logical.
FTA allows for qualitative analysis to find out all the combinations of causes, and to determine the magnitude of the influence of each cause on the fault event in terms of the fault tree structure. This provides a basis for managers to prioritise the preventive and corrective measures that would be taken.
FTA also allows for quantitative analysis and system evaluation. It identifies key causal factors and provides data support for the development of targeted management measures. The results of this analysis help managers identify problems timely and carry out targeted prevention and rectification, thereby improving the safety and reliability of complex lift systems.
(1) The qualitative analysis of the fault tree includes the minimum cut set and the structural importance. The relevant Equation (1) is as follows:
I ( i ) = 1 k j = 1 n 1 n j ( j k j )
where I ( i ) is the structural importance, k is the total number of minimum cut sets, k j is the jth minimum cut set, and n j is the number of BEs in the jth minimum cut set.
(2) The quantitative analysis of the fault tree includes the probability importance coefficient and the relative probability importance coefficient. The relevant Equations (2) and (3) are as follows:
I p ( X i ) = P ( T ) P ( X i )
I c ( X i ) = P ( X i ) P ( T ) I p ( X i )
where I p ( X i ) is the probability importance coefficient, I c ( X i ) is the relative probability importance coefficient, P ( T ) is the probability of the TE, and P ( X i ) is the probability of the occurrence of the BE X i .

3.3. Fuzzy Failure Probability Solving Method

Traditional FTA requires an accurate probability of BE to effectively calculate the failure probability of TE, but it is difficult to obtain the absolute probability of each BE for lift accidents. Lifts have multiple systems and lift accidents are unique, and the statistics of historical accidents cannot be fully used to evaluate the occurrence rate of accidents in current projects, and due to time and cost constraints, it is often impossible to sum up numerous historical accidents to obtain reliability data. On the other hand, the various factors causing accidents are intertwined and the definition boundaries are not clear. There are errors and inconsistencies in human judgement, making a large number of events with vague uncertainty. In this case, the results obtained by the pure probability method in a dynamic system are not precise. However, the introduction of the fuzzy comprehensive evaluation method can effectively solve the above problems. It contains the subjectivity, individuality, and rate of faults for coping with vagueness and uncertainty to embed into the traditional FTA [25]. In addition, the human judgement of the BE by experienced experts is a proven method [32].
In assessing the BE of lift-jacking accidents, experts should be invited to use five linguistic values, including Low, Mildly Low, Medium, Mildly High, and High, to indicate the degree of influence of BEs on the TE. When natural language is used for uncertainty description, it needs to be quantified and described using a fuzzy affiliation function [33]. The trapezoidal fuzzy function has a broad distance property, which makes it have wide applicability [34]. It is easy and effective to calculate. In addition, the trapezoidal fuzzy number is smoother in the transition areas, avoiding abrupt changes and discontinuities, and is more in line with expert judgements for lift-jacking accidents, making the results more natural and reliable. the trapezoidal fuzzy membership function (Figure 2) is used to map the expert evaluation language in order to describe and evaluate events more accurately.
Figure 2. Trapezoidal fuzzy membership functions for expert judgements.

3.3.1. Aggregating Obtained Opinions

As the importance of each expert’s opinion about an attribute might not be equal, there will often be conflicting or consistent judgements. However, due to the inherently ambiguous and difficult-to-quantify nature of the events that led to lift-jacking accidents, it is impossible to prove the validity of the expert’s judgement. The assessments are influenced by the degree of importance of each expert. H.M. Hus introduced a weighting score to represent the relative quality of different experts [35]. It eliminates situations where the above expert judgements appear contradictory and reduces subjectivity. Therefore, the algorithm will be adopted to aggregate expert opinions. The basic steps are defined as follows.
(1) Calculating the degree of agreement:
S ( Z k , Z y ) = 1 1 / 4 q = 1 4 | Z k , q Z y , q |
where S ( Z k , Z y ) is the similarity of the two expert assessments and S ( Z k , Z y ) [ 0 , 1 ] ; Z k , Z y are the evaluation of the kth and yth experts respectively; Z k , q , Z y , q denotes the fuzzy number corresponding to Z k , Z y .
The larger value of S ( Z k , Z y ) , the greater similarity between two fuzzy numbers of Z k , q and Z y , q .
(2) Calculating the average agreement degree B k of the experts:
B k = 1 n 1 k y n S ( Z k ,   Z y )
where n is the total number of experts.
(3) Calculating the relative average agreement degree R k of the experts:
R k = B k k = 1 k = n B k
(4) Determining the consensus coefficient degree of the experts (Aggregate weights):
W k = β φ k + ( 1 β ) R k
where β is a relaxation factor reflecting whether individual or group opinion is valued, β [ 0 , 1 ] ; φ k is the weighting value of different experts.
For weighting value φ k , it is usually calculated by assigning different values to experts based on their professional position, experience, and education. The specific assignments are shown in Table 1.
Table 1. Weighting scores of experts.
(5) Aggregating result of the experts’ judgements:
D = k = 1 n W k f k ( x )
In order to facilitate above synthetic operation of fuzzy numbers, the fuzzy sets are applied to the α intercept theory to transform the fuzzy numbers into interval numbers before calculation. The fuzzy number forms and α intercept sets are shown in Table 2.
Table 2. Fuzzy number forms and α intercept sets.

3.3.2. Defuzzifying of Aggregated Expert Judgement (Fuzzy Possibility)

The aim of this step is to convert trapezoidal numbers into crisp numbers in order to let decision-makers analyze under a fuzzy environment.
After quantification of the judging opinion made by the experts, it is still a fuzzy number and still has uncertainty. Therefore, a left-right fuzzy ranking method is used to transform them into fuzzy possibilities [36]. First, it is necessary to obtain the fuzzy maximisation set f m a x ( x ) and minimisation set f m i n ( x ) , respectively. Then the possible degree of left fuzzy F P S , L ( D ) and the possible degree of right fuzzy F P S , R ( D ) are calculated. Finally, the value of fuzzy possibility F P S ( D ) is obtained, which means an aggregation of the experts’ beliefs and the requirement for the computation of F F R .
f m a x ( x ) = x ,   0 x 1
f m a x ( x ) = 0 ,   x > 1   or   x < 0
f m i n ( x ) = 1 x ,   0 x 1
f m i n ( x ) = 0 ,   x > 1   or   x < 0
F P S , R ( D ) = sup [ f D ( x ) f m a x ( x ) ]
F P S , L ( D ) = sup [ f D ( x ) f m i n ( x ) ]
F P S ( D ) = [ F P S , R ( D ) + 1 F P S , L ( D ) ] 2

3.3.3. Converting Possibilities to Probabilities

In this step, possibilities gathered from expert judgements are transformed into probabilities. The final calculated fuzzy failure probability is an exact probability value. Onisawa introduced Equations (14) and (15) to convert fuzzy failure possibility to fuzzy failure probability [37]. The value of the fuzzy probability F F R can be taken from fuzzy possibility F P S ( D ) .
F F R = 1 10 e , F P S 0
F F R = 0 , F P S = 0
e = 2.301 ( 1 F PS F PS ) 1 3

3.4. FMEA Safety Assessment Model

The FEMA (Failure Mode and Effects Analysis) method is a top-down, single-factor systematic analysis method used to map failure modes, effects, and causes of technical systems. It improves system reliability and reduces cost loss, and is one of the important system safety analysis methods [38]. Razouk and Kern pointed out that the identification of risks with FMEA aims to provide effective prevention in quality control and thus improve the quality levels of products [39]. Therefore, FMEA is widely used to eliminate potential failure of product design and process and improve product or system reliability and security. In FMEA, the above evaluation indicators need to establish the corresponding scoring criteria. The one currently widely used is the 1~10 equivalence division [40].
(1)
FMEA scope definition
The object of FMEA is the lift-jacking accident. In this analysis, the adequate sorting and identification of failure modes is the key to ensuring the effectiveness of the method. FTA is an effective graphical tool for system failure analysis, characterised by top-down, layer-by-layer deduction. It can help to identify the root cause of system failure, i.e., the possible failure modes. In FTA, the BE is considered the smallest failure mode unit, and therefore it is regarded as the core and focus of fault analysis. In this context, using the BE as the analysis target of FMEA helps to uncover potential failures and risks in the system or product, and allows for a comprehensive and systematic evaluation and improvement of the BE, thus improving the reliability and safety of the system or engineering.
(2)
FMEA judgement criteria determination
O represents the frequency of a specific fault over a period of time. In this study, the key BE of the fault tree is the target, and the criterion for judging the degree of occurrence is closely related to the probability of the BE. Based on a review of the literature on the failure of special equipment components, it has been decided by consensus of experts that each grade corresponds to an interval of the probability of failure. The criterion of occurrence degree is shown in the following Table 3.
Table 3. The criterion of occurrence degree.
D represents the ability to detect critical BEs in the lift maintenance process. The criterion of detection degree is shown in the following Table 4.
Table 4. The criterion of detectability degree.
S represents the severity of the shock to the system when a fault occurs. In quantitative FTA, the relative probability importance coefficient represents the degree of relative change in the probability of occurrence of the BE to the relative change in the probability of occurrence of the TE. Therefore, the relative probability importance coefficient can effectively reflect the severity of the impact of the BE on the lift-jacking accident. The criterion of severity degree is shown in the following Table 5.
Table 5. The criterion of severity degree.
(3)
AP risk assessment
Most studies use different risk criteria to prioritise the risk of occupational hazards, the most popular metrics being the O, S, and D in FMEA [41]. The AP method considering these three indicators is more practical and reliable than using the traditional RPN method. The importance of the S-value is illustrated by the fact that in most risk assessment research articles, researchers use various methods to quantify the case risk so that pre-emptive measures can be taken, and this is also the case with the analysis of lift-jacking accidents. It is in line with the philosophy of the AP method. Meanwhile, the fact that S, O, and D have their own numerical correspondence criterion solves the problem that they are difficult to be evaluated precisely to a large extent. The latest standard given by the AIAG/VDA FMEA Handbook is shown in Table 6. The AP method will no longer rank risk factors by number. They are divided into H (High-risk), M (Medium-risk), and L (Low-risk), respectively.
Table 6. FEMA S, O, D of AP.

4. Results

4.1. Fault Tree for Lift-Jacking Accidents

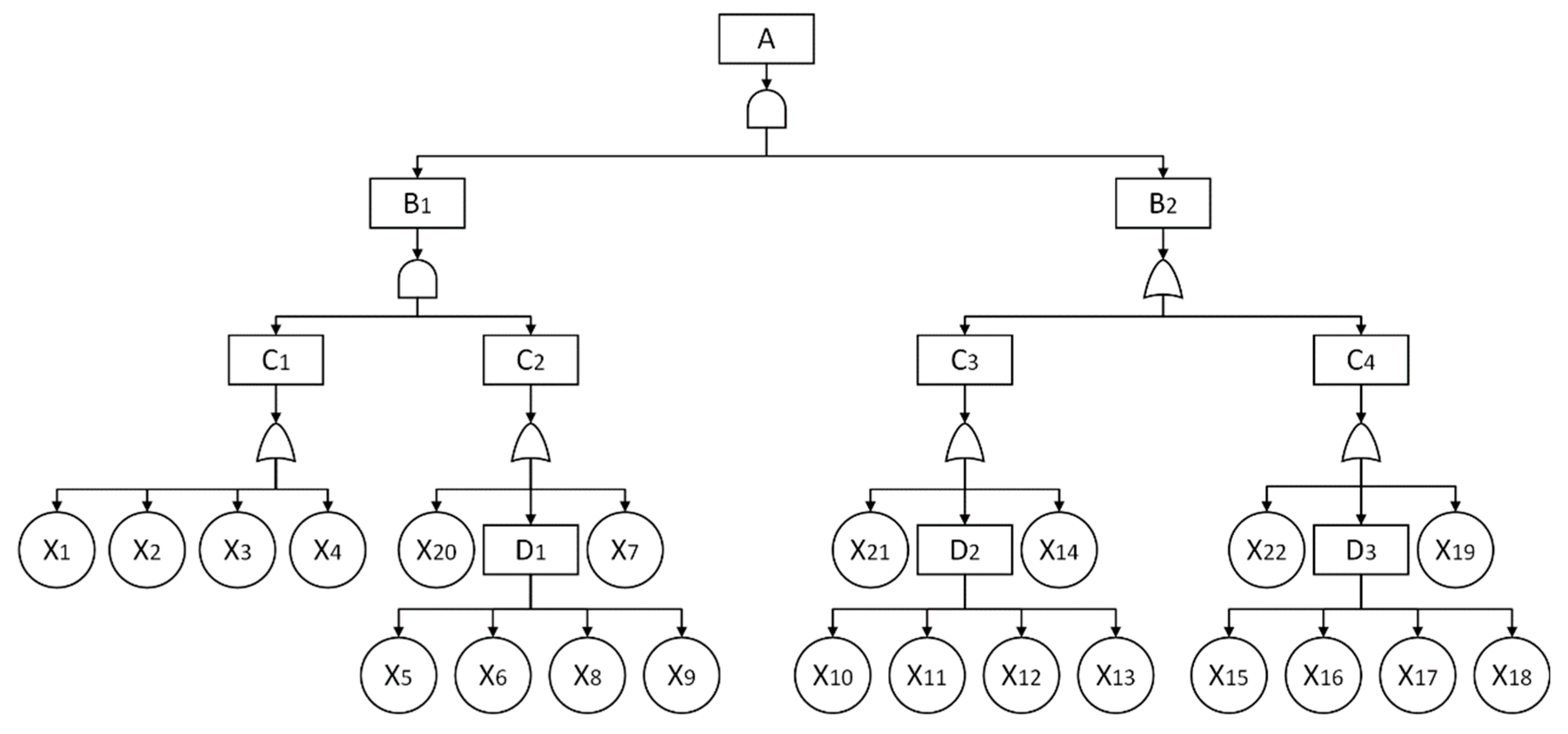
The above model can quantify the risk of lift-jacking accidents, which is verified by the following example. In the case of the Jin Gang Commercial Building in Shenzhen, if a lift should fall on top of the building, it would have serious risk consequences, which would be extremely harmful to life safety and economic and financial resources. Based on the analysis of a large number of lift accident data, industry standards, and the principle of the occurrence of lift-jacking accidents, special equipment industry experts were consulted to identify the risk factors that may cause lift-jacking accidents depending on the actual situation. To structure risk factors, failure analysis can be related to different levels in the system, resulting in three levels of analysis: (1) system level, (2) installation level, and (3) component level. The finalised risk factors are shown in Table 7 and structured risk factors in Table 8. Then, on the basis of risk identification, the fault tree of the lift-jacking accident was constructed, as shown in Figure 3.
Table 7. Risk factors of lift-jacking accidents.
Table 8. Expert judgements for lift-jacking accidents.
Figure 3. Fault tree for lift-jacking accidents.

4.2. Qualitative Analysis for Fault Tree

The minimum set of 288 cuts was obtained by solving by Boolean Algebraic Assignment, all of order three: K1 = {X1, X20, X21}, K2 = {X1, X10, X20},…, K630 = {X4, X7, X19}. This means that there are 288 potential combinations of lift ramming accidents, which is a large number, reflecting the fact that the site has more sources of danger and is prone to accidents and that certain measures should be taken to prevent them.
For structural importance, the following results can be obtained by recursion of Equation (1): Iφ(1) = Iφ(2) = Iφ(3) = Iφ(4) = 0.123 > Iφ(5) = Iφ(6) = Iφ(7) = Iφ(8) = Iφ(9) = Iφ(20) = 0.0293 > Iφ(10) = Iφ(11) = Iφ(12) = Iφ(13) = Iφ(14) = Iφ(15) = Iφ(16) = Iφ(17) = Iφ(18) = Iφ(19) = Iφ(21) = Iφ(22) = 0.000451. The above ranking shows that BEs X1 to X4 have the greatest impact on the TE, followed by X5 to X9 and X20. In order to reduce the risk of lift-jacking, it is more important to propose countermeasures against these factors.

4.3. Fuzzy Failure Probability Calculation

The solution of fuzzy failure probabilities is essential for quantitative analysis. The assessment was obtained from three industry experts involved in the construction of the project via a questionnaire sent by email, and the judgements by three experts to assess the BE are shown in Table 8. In this study, the experts were assigned different values by professional position, education, and experience (Table 9), and the weight values φk were given to different experts.
Table 9. Expert competence information.
Take the BE X1 as an example for introduction, the three experts’ assessments for the event are Mildly Low, Low, and Medium. The average degree of agreement of the three experts’ opinions B1 = 0.7825, B2 = 0.675, B3 = 0.6875; the relative degree of agreement R1 = 0.3663, R2 = 0.3140, R3 = 0.3198; the ability weights of the three experts φ1 = 0.348, φ2 = 0.370, φ3 = 0.283. Assessment opinions were aggregated, with a coefficient β of 0.5 in the Equation, indicating equal weighting of individual and group opinions. Then aggregate weights W1 = 0.3572, W2 = 0.342, W3 = 0.301; and the left and right likelihood values FPS,R = 0.4179, FPS,L = 0.724 respectively; the fuzzy possible value FPS = 0.347 according to Equation Finally, defuzzification was carried out to obtain the fuzzy failure probability FFR = 0.0014, i.e., the probability of severe wear of the traction wire rope and reduction in diameter is 0.0014.
The failure probabilities of all fuzzy events were calculated by the above process in turn, as shown in Table 10.
Table 10. Fuzzy failure probability.

4.4. Fuzzy Fault Tree Quantitative Analysis

The probability importance coefficient I p ( X i ) and the relative probability importance coefficient I c ( X i ) were calculated for each BE according to Equations (2) and (3) respectively, as shown in Table 11.
Table 11. Importance indicators of BEs.

4.5. FEMA Processing for Lift-Jacking Accidents

Since the three experts did not differ much in the determination of the D-value, the determination of the D-value was agreed upon jointly by the three experts through a brainstorming session. The FMEA using the AP indicator for lift-jacking incidents is shown in Table 12 below.
Table 12. FEMA processing results.

5. Discussion

The relative probability importance is a critical aspect in determining the significance of BEs and serves as a fundamental basis for developing preventive measures aimed at mitigating the occurrence of lift-jacking accidents. According to the results listed in Table 11, risk factors that are in the same position can be prioritised by means of importance indicators, i.e., different BEs are not equally sensitive to the occurrence of TE. Despite the comparable likelihood and significance of risk factors within a system, it remains feasible to classify those that necessitate early management and ascertain a distinct understanding of their logical relationships. Although BE X9 and BE X15 have the same probability of occurrence, X15 is more important in the system than X9 [ I P ( 15 ) > I P ( 9 ) ]. BE X10 and BE X21 have the same effect on the top event in the sensitivity system [ I P ( 10 ) = I P ( 21 ) ], yet X21 is more likely to lead to a top event than X10 [ I C ( 21 ) > I C ( 10 ) ], and therefore X21 is prioritised for resolution over X10. The importance of risk factors can be more precisely identified by combining the relative probability importance coefficient and the probability importance coefficient. Excluding four of these risk factors with a probability importance factor of around 0.00083, X2, X14, X3, X22, X1, and X19 were identified as the BEs that mainly lead to lift-jacking accidents and need to be addressed as a priority.
The assessment of the risk of lift-jacking accidents and the recommendations for subsequent maintenance are not determined by a single indicator but are often the result of multi-level, multi-dimensional, and multi-faceted analyses. The FFTA-FMEA model allows for further investigation based on the quantitative analysis of fuzzy fault trees. The model establishes an in-depth linkage between FFTA and FMEA, considering the degree of impact (significance), the probability of occurrence, and the degree of detectability in turn, which allows for a more comprehensive and impartial analysis and assessment of lift-jacking incidents, as opposed to a risk assessment based on significance indicators only. According to the results listed in Table 12, X2, X3, X5, X6, X7, X14, and X19 are identified as medium to high-risk factors. It should be noted that X2 is the only factor identified as H. Zhouli Wu noted that wear in the grooves of the traction sheaves is usually unavoidable and in practice is mostly uneven [42]. It is recommended that a specific person be assigned to check the degree of wear and deal with it regularly. The case identified severe wear of traction sheave grooves, oil stains in traction sheave grooves and wire ropes, severe wear of the brake wheel and brake tile, excessive clearance between brake wheel and shackle, stuck brake arm, broken speed limiter wire rope, incorrect installation or improper adjustment of safety clamp as a matter of priority, and special management methods should be set up. Zhongxing Li identified severe wear on the traction sheave and failure of the speed limiter action that has a significant impact on lift accidents based on the PHA-FMEA risk assessment model [5]. Qingguang Wei also pointed out the danger and importance of wear in the traction system in the assessment [43].

6. Conclusions

The FFTA-FMEA theory is applied to establish the reliability analysis model of lift-jacking accidents and the feasibility of the built evaluation model is verified by using the real engineering example; the following conclusions are obtained:
(1) FTA, fuzzy set theory, and aggregation method are combined in the analysis of the lift-jacking accidents to identify the causal factors from the qualitative perspective and determine the probability of failure from the quantitative perspective. The method overcomes the difficulties in obtaining the exact probability of causal factors of lift accidents in the traditional analysis method and reduces the subjectivity of human judgement in the expert judgement method.
(2) The FFTA-FMEA method is developed to deeply, comprehensively, and accurately characterise risk magnitude in actual operation and maintenance processes, enabling managers to promptly strengthen supervision based on assessment outcomes. This approach facilitates a more overall and useful assessment of risk and enhances management decisions.
(3) Empirical case demonstrates the usability and effectiveness of the method. The case identified severe wear of traction sheave grooves, oil stains in traction sheave grooves and wire ropes, severe wear of the brake wheel and brake tile, excessive clearance between brake wheel and shackle, stuck brake arm, broken speed limiter wire rope, incorrect installation or improper adjustment of safety clamp are the priorities of control. Therefore, managers need to pay high attention and strengthen on-site supervision. It is also shown that the FFTA-FMEA method combines probabilistic imprecision and engineering imprecision, simplifying complex problems and improving flexibility, and demonstrating its potential for widespread application in the field of reliability engineering. Similar to lift-jacking accidents, other common lift incidents require their risks to be identified, analyzed, and assessed, and measures taken accordingly.
The greatest limitation of this study is the relatively small number of experts consulted. In future studies, selecting more experts with greater seniority and skills may further improve the accuracy of the model. In addition, although the AP method addresses the problems of the traditional RPN method to some extent, they are still essentially the same. More variants of the FMEA method can be chosen to continually improve the accuracy of the risk assessment.

Author Contributions

Conceptualization, N.X. and K.D.; Methodology, N.X. and K.D.; Software, B.Z.; Validation, W.Z. and B.Z.; Investigation, K.D. and W.Z.; Resources, F.L.; Writing—original draft, K.D.; Writing—review & editing, N.X.; Supervision, F.L. and B.Z.; Project administration, N.X. and F.L.; Funding acquisition, F.L. All authors have read and agreed to the published version of the manuscript.

Funding

This research was funded by the Fundamental Research Funds for the Central Universities, grant number 2019ZDPY08.

Data Availability Statement

The data that support the findings of this study are available on request from the corresponding author.

Conflicts of Interest

The authors declare no conflict of interest.

References

  1. Park, S.-T.; Yang, B.-S. An Implementation of Risk-based Inspection for Elevator Maintenance. J. Mech. Sci. Technol. 2010, 24, 2367–2376. [Google Scholar] [CrossRef]
  2. Xin, R. Research on Systematic Risk Assessment for Traction Type Passenger Elevator; South China University of Technology: Guangzhou, China, 2016. [Google Scholar]
  3. Zhang, D.; Xu, P. Research on Lift Accident Analysis and Expert System based on the Principle of Fault Tree Analysis. Autom. Instrum. 2016, 6, 167–169. [Google Scholar]
  4. Xu, S. Classification Statistic and Analysis of Causes of Elevator Accidents Based on 24Model. Saf. Secur. 2020, 41, 41–46. [Google Scholar]
  5. Yu, X.; Kong, D.; He, X.; Ping, P. PHA-FMEA-based Elevator Safety Assessment Method and Its Application. China Saf. Sci. J. 2014, 24, 60–64. [Google Scholar]
  6. Guo-Hua, C.; Gang, L.; Xin-Hua, W. Fuzzy Comprehensive Evaluation of Elevator System risk. China Saf. Sci. J. 2014, 24, 59–64. [Google Scholar]
  7. Niu, D.; Qi, C.; Li, G.; Li, H.; Pang, H. Rapid Fault Diagnosis Method of Elevator System Based on Multi-attribute Decision Making. Shock. Vib. 2021, 2021, 9939493. [Google Scholar] [CrossRef]
  8. Fang, J.; Pan, W.; Xu, R. Shen H. Safety Evaluation of Elevator Operation Status based on CW-VIKOR Method. J. Saf. Sci. Technol. 2022, 18, 229–234. [Google Scholar]
  9. Volkanovski, A.; Čepin, M.; Mavko, B. Application of the Fault Tree Analysis for Assessment of Power System Reliability. Reliab. Eng. Syst. Saf. 2009, 94, 1116–1127. [Google Scholar] [CrossRef]
  10. Sonawane, P.R.; Bhandari, S.; Patil, R.B.; Al-Dahidi, S. Reliability and Criticality Analysis of a Large-Scale Solar Photovoltaic System Using Fault Tree Analysis Approach. Sustainability 2023, 15, 4609. [Google Scholar] [CrossRef]
  11. Yiu, T.W.; Cheung, S.O.; Lok, C.L. A Fuzzy Fault Tree Framework of Construction Dispute Negotiation Failure. IEEE Trans. Eng. Manag. 2015, 62, 171–183. [Google Scholar] [CrossRef]
  12. Lavasani, S.M.; Ramzali, N.; Sabzalipour, F.; Akyuz, E. Utilisation of Fuzzy Fault Tree Analysis (FFTA) for Quantified Risk Analysis of Leakage in Abandoned Oil and Natural-gas Wells. Ocean Eng. 2015, 108, 729–737. [Google Scholar] [CrossRef]
  13. Tang, Y.; Jing, J.; Zhang, Z.; Yang, Y. A Quantitative Risk Analysis Method for the High Hazard Mechanical System in Petroleum and Petrochemical Industry. Energies 2018, 11, 14. [Google Scholar] [CrossRef]
  14. Liu, H.-C.; Liu, L.; Liu, N. Risk Evaluation Approaches in Failure Mode and Effects Analysis: A Literature Review. Expert Syst. Appl. 2013, 40, 828–838. [Google Scholar] [CrossRef]
  15. Wang, L.; Sun, L.; Kang, J.; Wang, Y.; Wang, H. Risk Identification of FPSO Oil and Gas Processing System Based on an Improved FMEA Approach. Appl. Sci. 2022, 11, 567. [Google Scholar] [CrossRef]
  16. Sachdeva, A.; Kumar, D.; Kumar, P. Multi-Factor Failure Mode Critically Analysis using TOPSIS. J. Ind. Eng. Int. 2009, 5, 1–9. [Google Scholar]
  17. Wang, L.-E.; Liu, H.-C.; Quan, M.-Y. Evaluating the Risk of Failure Modes with a Hybrid MCDM Model under Interval-Valued Intuitionistic Fuzzy Environments. Comput. Ind. Eng. 2016, 102, 175–185. [Google Scholar] [CrossRef]
  18. Mzougui, I.; El Felsoufi, Z. Proposition of a Modified FMEA to Improve Reliability of Product. Procedia CIRP 2019, 84, 1003–1009. [Google Scholar] [CrossRef]
  19. Rezaei, J. Best-worst Multi-criteria Decision-making Method. Omega 2015, 53, 49–57. [Google Scholar] [CrossRef]
  20. Liu, H.C.; Chen, X.Q.; You, J.X.; Li, Z. A New Integrated Approach for Risk Revaluation and Classification with Dynamic Expert Weights. IEEE Trans. Reliab. 2020, 70, 163–174. [Google Scholar] [CrossRef]
  21. AIAG Quality Steering Committee. AIAG-VDA Failure Mode and Effect Analysis (FMEA) Handbook; Automotive Industry Action Group: Southfield, MI, USA, 2018. [Google Scholar]
  22. Sun, J.-J.; Yeh, T.-M.; Pai, F.-Y. Application of Monte Carlo Simulation to Study the Probability of Confidence Level under the PFMEA’s Action Priority. Mathematics 2022, 10, 2596. [Google Scholar] [CrossRef]
  23. Ouyang, L.; Che, Y.; Yan, L.; Park, C. Multiple Perspectives on Analyzing Risk Factors in FMEA. Comput. Ind. 2022, 141, 103712. [Google Scholar] [CrossRef]
  24. Anes, V.; Morgado, T.; Abreu, A.; Calado, J.; Reis, L. Updating the FMEA Approach with Mitigation Assessment Capabilities—A Case Study of Aircraft Maintenance Repairs. Appl. Sci. 2022, 12, 11407. [Google Scholar] [CrossRef]
  25. Sahin, B. Consistency Control and Expert Consistency Prioritization for FFTA by Using Extent Analysis Method of Trapezoidal FAHP. Appl. Soft Comput. 2017, 56, 46–54. [Google Scholar] [CrossRef]
  26. Bognár, F.; Hegedus, C. Analysis and Consequences on Some Aggregation Functions of PRISM (Partial Risk Map) Risk Assessment Method. Mathematics 2022, 10, 676. [Google Scholar] [CrossRef]
  27. Dahooie, J.H.; Vanaki, A.S.; Firoozfar, H.R.; Zavadskas, E.K.; Čereška, A. An Extension of the Failure Mode and Effect Analysis with Hesitant Fuzzy Sets to Assess the Occupational Hazards in the Construction Industry. Appl. Sci. 2020, 17, 1442. [Google Scholar]
  28. Shi, L.; Shuai, J.; Xu, K. Fuzzy Fault Tree Assessment based on Improved AHP for Fire and Explosion Accidents for Steel Oil Storage Tanks. J. Hazard. Mater. 2014, 278, 529–538. [Google Scholar] [CrossRef] [PubMed]
  29. Kabir, S. An Overview of Fault Tree Analysis and Its Application in Model-based Dependability Analysis. Expert Syst. Appl. 2017, 77, 114–135. [Google Scholar] [CrossRef]
  30. Ruijters, E.; Stoelinga, M. Fault Tree Analysis: A Survey of the State-of-the-art in Modeling, Analysis and Tools. Comput. Sci. Rev. 2015, 15, 29–62. [Google Scholar] [CrossRef]
  31. Peeters, J.F.W.; Basten, R.J.I.; Tinga, T. Improving Failure Analysis Efficiency by Combining FTA and FMEA in a Recursive Manner. Reliab. Eng. Syst. Saf. 2018, 172, 36–44. [Google Scholar] [CrossRef]
  32. Wang, D.; Zhang, P.; Chen, L. Fuzzy Fault tree Analysis for Fire and Explosion of Crude Oil Tanks. J. Loss Prev. Process Ind. 2013, 26, 1390–1398. [Google Scholar] [CrossRef]
  33. Pang, N.; Jia, P.; Liu, P.; Yin, F.; Zhou, L.; Wang, L.; Yun, F.; Wang, X. A Fuzzy Markov Model for Risk and Reliability Prediction of Engineering Systems: A Case Study of a Subsea Wellhead Connector. Appl. Sci. 2020, 10, 6902. [Google Scholar] [CrossRef]
  34. Liu, G.; Wang, X. A Trapezoidal Fuzzy Number-Based VIKOR Method with Completely Unknown Weight Information. Symmetry 2023, 15, 559. [Google Scholar] [CrossRef]
  35. Hus, H.M.; Chen, C.T. Aggregation of Fuzzy Opinions under Group Decision Making. Fuzzy Sets Syst. 1996, 79, 279–285. [Google Scholar]
  36. Yu, V.F.; Dat, L.Q. An Improved Ranking Method for Fuzzy Numbers with Integral Values. Appl. Soft Comput. 2014, 14, 603–608. [Google Scholar] [CrossRef]
  37. Onisawa, T. An Approach to Human Reliability in Man-machine Systems Using Error Possibility. Fuzzy Sets Syst. 1988, 27, 87–103. [Google Scholar] [CrossRef]
  38. Braglia, M.; Gabbrielli, R.; Marrazzini, L. An Improved Failure Mode and Effects Analysis Method Based on Uncertainty Measure in the Evidence Theory. Qual. Reliab. Eng. Int. 2020, 36, 1786–1807. [Google Scholar]
  39. Razouk, H.; Kern, R. Improving the Consistency of the Failure Mode Effect Analysis (FMEA) Documents in Semiconductor Manufacturing. Appl. Sci. 2022, 12, 1840. [Google Scholar] [CrossRef]
  40. Selim, H.; Yunusoglu, M.G.; Balaman, Ş.Y. A Dynamic Maintenance Planning Framework Based on Fuzzy TOPSIS and FMEA: Application in an International Food Company. Qual. Reliab. Eng. Int. 2016, 32, 795–804. [Google Scholar] [CrossRef]
  41. Liu, R.; Liu, H.-C.; Shi, H.; Gu, X. Occupational Health and Safety Risk Assessment: A Systematic Literature Review of Models, Methods, and Applications. Saf. Sci. 2023, 160, 106050. [Google Scholar] [CrossRef]
  42. Wu, Z.; Chen, J.; Lin, X. Inspection Method and Study of the Wear Condition of Traction Wheel Grooves in Lifts. China Plant Eng. 2019, 9, 115–116. [Google Scholar]
  43. Wei, Q.; Wang, H.; Hu, J. Study on Fuzzy Integrated Assessment Method for Safety Level of Traction Elevators and Its Application. J. Saf. Sci. Technol. 2013, 9, 129–136. [Google Scholar]
Disclaimer/Publisher’s Note: The statements, opinions and data contained in all publications are solely those of the individual author(s) and contributor(s) and not of MDPI and/or the editor(s). MDPI and/or the editor(s) disclaim responsibility for any injury to people or property resulting from any ideas, methods, instructions or products referred to in the content.

Article Metrics

Citations

Article Access Statistics

Multiple requests from the same IP address are counted as one view.