ABPCaps: A Novel Capsule Network-Based Method for the Prediction of Antibacterial Peptides
Abstract
1. Introduction
2. Materials and Methods
2.1. Dataset Preparation
2.2. Development of ABPCaps
2.3. Evaluation Metrics
3. Results and Discussion
3.1. Comparisons of Baseline Models
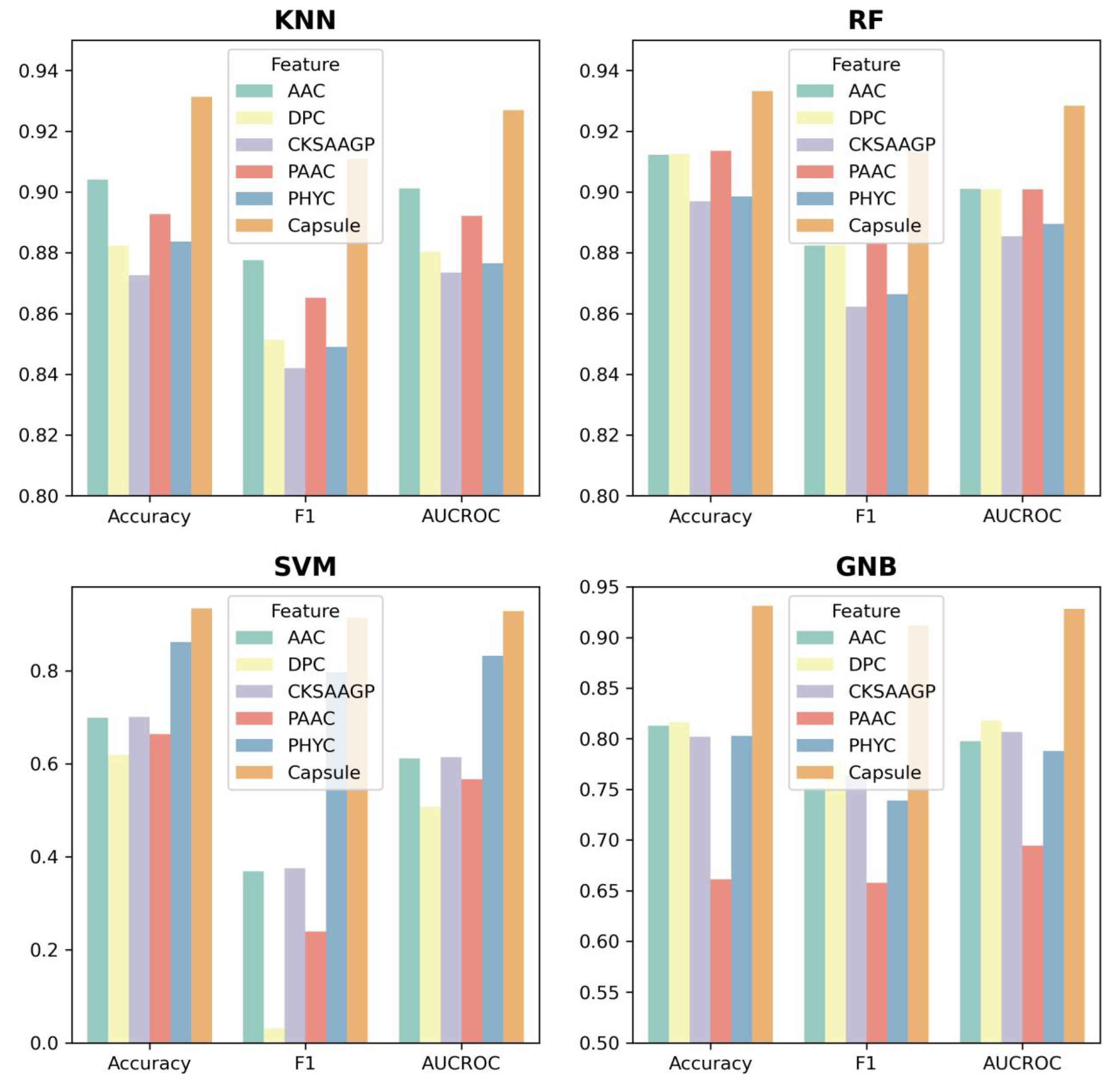
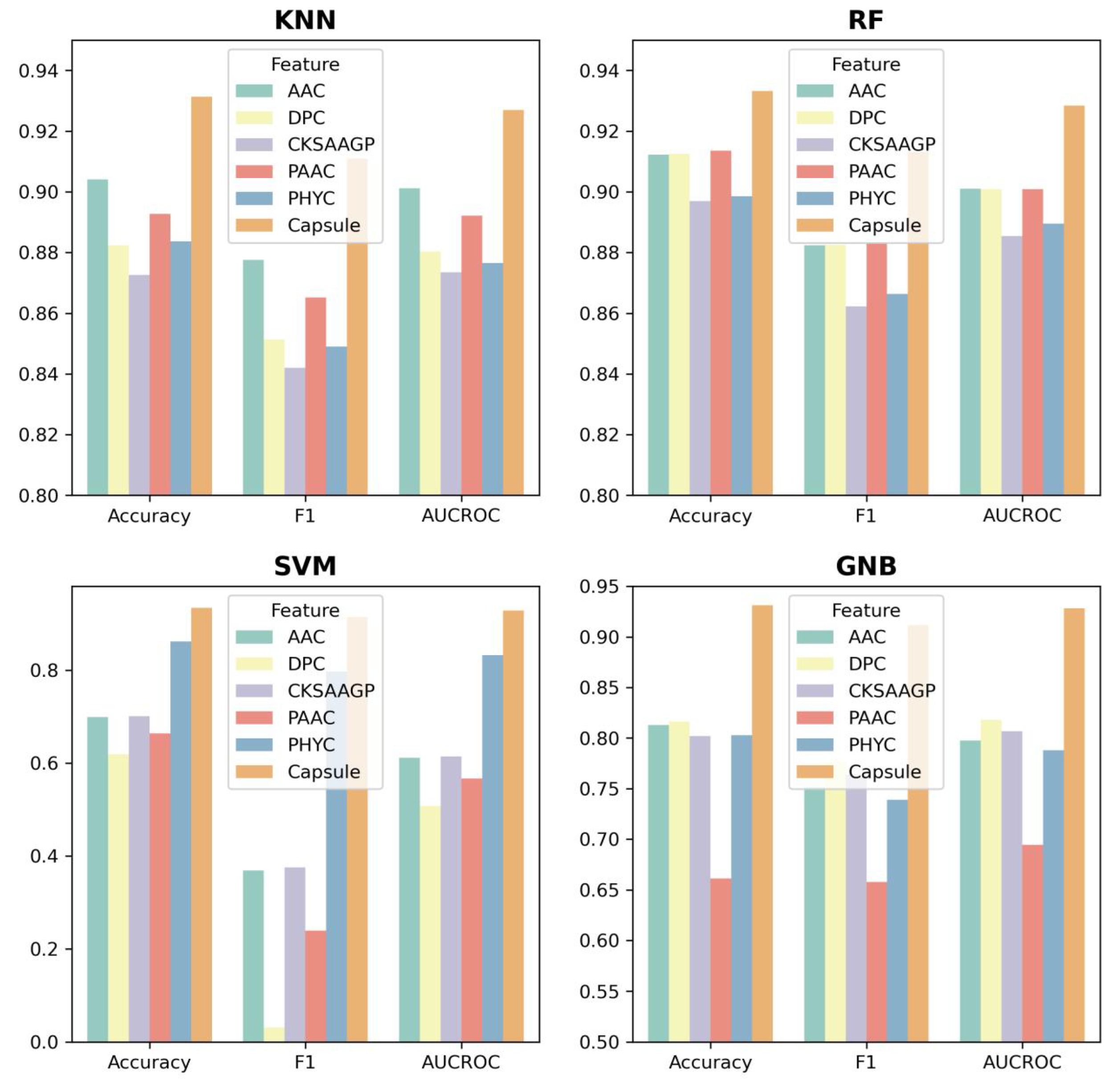
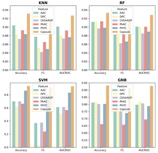
3.2. Comparison of Capsule Network-Based Features and Hand-Crafted Features
3.3. Evaluation of ABPCaps on the Subsets with Functions against Different Bacteria
4. Conclusions
Supplementary Materials
Author Contributions
Funding
Institutional Review Board Statement
Informed Consent Statement
Data Availability Statement
Acknowledgments
Conflicts of Interest
References
- Fair, R.J.; Tor, Y. Antibiotics and bacterial resistance in the 21st century. Perspect. Med. Chem. 2014, 6, PMC-S14459. [Google Scholar] [CrossRef] [PubMed]
- Chambers, H.F.; DeLeo, F.R. Waves of resistance: Staphylococcus aureus in the antibiotic era. Nat. Rev. Microbiol. 2009, 7, 629–641. [Google Scholar] [CrossRef] [PubMed]
- Kosikowska, P.; Lesner, A. Antimicrobial peptides (AMPs) as drug candidates: A patent review (2003–2015). Expert Opin. Ther. Patents 2016, 26, 689–702. [Google Scholar] [CrossRef] [PubMed]
- Wang, J.; Dou, X.; Song, J.; Lyu, Y.; Zhu, X.; Xu, L.; Li, W.; Shan, A. Antimicrobial peptides: Promising alternatives in the post feeding antibiotic era. Med. Res. Rev. 2019, 39, 831–859. [Google Scholar] [CrossRef] [PubMed]
- Brahmachary, M.; Krishnan, S.; Koh, J.L.Y.; Khan, A.M.; Seah, S.H.; Tan, T.W.; Brusic, V.; Bajic, V.B. ANTIMIC: A database of antimicrobial sequences. Nucleic Acids Res. 2004, 32, D586–D589. [Google Scholar] [CrossRef]
- Ye, G.; Wu, H.; Huang, J.; Wang, W.; Ge, K.; Li, G.; Zhong, J.; Huang, Q. LAMP2: A major update of the database linking antimicrobial peptides. Database 2020, 2020, baaa061. [Google Scholar] [CrossRef]
- Shi, G.; Kang, X.; Dong, F.; Liu, Y.; Zhu, N.; Hu, Y.; Xu, H.; Lao, X.; Zheng, H. DRAMP 3.0: An enhanced comprehensive data repository of antimicrobial peptides. Nucleic Acids Res. 2022, 50, D488–D496. [Google Scholar] [CrossRef]
- Jhong, J.H.; Yao, L.; Pang, Y.; Li, Z.; Chung, C.R.; Wang, R.; Li, S.; Li, W.; Luo, M.; Ma, R.; et al. dbAMP 2.0: Updated resource for antimicrobial peptides with an enhanced scanning method for genomic and proteomic data. Nucleic Acids Res. 2022, 50, D460–D470. [Google Scholar] [CrossRef]
- Joseph, S.; Karnik, S.; Nilawe, P.; Jayaraman, V.K.; Idicula-Thomas, S. ClassAMP: A prediction tool for classification of antimicrobial peptides. IEEE/ACM Trans. Comput. Biol. Bioinform. 2012, 9, 1535–1538. [Google Scholar] [CrossRef]
- Xiao, X.; Wang, P.; Lin, W.Z.; Jia, J.H.; Chou, K.C. iAMP-2L: A two-level multi-label classifier for identifying antimicrobial peptides and their functional types. Anal. Biochem. 2013, 436, 168–177. [Google Scholar] [CrossRef]
- Yan, J.; Bhadra, P.; Li, A.; Sethiya, P.; Qin, L.; Tai, H.K.; Wong, K.H.; Siu, S.W. Deep-AmPEP30: Improve short antimicrobial peptides prediction with deep learning. Mol. Ther.-Nucleic Acids 2020, 20, 882–894. [Google Scholar] [CrossRef] [PubMed]
- Veltri, D.; Kamath, U.; Shehu, A. Deep learning improves antimicrobial peptide recognition. Bioinformatics 2018, 34, 2740–2747. [Google Scholar] [CrossRef] [PubMed]
- Youmans, M.; Spainhour, C.; Qiu, P. Long short-term memory recurrent neural networks for antibacterial peptide identification. In Proceedings of the 2017 IEEE International Conference on Bioinformatics and Biomedicine (BIBM), Kansas City, MO, USA, 13–16 November 2017; pp. 498–502. [Google Scholar]
- Singh, V.; Shrivastava, S.; Kumar Singh, S.; Kumar, A.; Saxena, S. StaBle-ABPpred: A stacked ensemble predictor based on biLSTM and attention mechanism for accelerated discovery of antibacterial peptides. Briefings Bioinform. 2022, 23, bbab439. [Google Scholar] [CrossRef]
- Sharma, R.; Shrivastava, S.; Kumar Singh, S.; Kumar, A.; Saxena, S.; Kumar Singh, R. Deep-ABPpred: Identifying antibacterial peptides in protein sequences using bidirectional LSTM with word2vec. Briefings Bioinform. 2021, 22, bbab065. [Google Scholar] [CrossRef] [PubMed]
- Zhang, Y.; Lin, J.; Zhao, L.; Zeng, X.; Liu, X. A novel antibacterial peptide recognition algorithm based on BERT. Briefings Bioinform. 2021, 22, bbab200. [Google Scholar] [CrossRef]
- Hochreiter, S.; Schmidhuber, J. Long short-term memory. Neural Comput. 1997, 9, 1735–1780. [Google Scholar] [CrossRef]
- LaLonde, R.; Bagci, U. Capsules for object segmentation. arXiv 2018, arXiv:1804.04241. [Google Scholar]
- Dong, Z.; Lin, S. Research on image classification based on capsnet. In Proceedings of the 2019 IEEE 4th Advanced Information Technology, Electronic and Automation Control Conference (IAEAC), Chengdu, China, 20–22 December 2019; Volume 1, pp. 1023–1026. [Google Scholar]
- Hinton, G.E.; Krizhevsky, A.; Wang, S.D. Transforming auto-encoders. In Proceedings of the Artificial Neural Networks and Machine Learning–ICANN 2011: 21st International Conference on Artificial Neural Networks, Espoo, Finland, 14–17 June 2011, Proceedings, Part I 21; Springer: Berlin, Germany, 2011; pp. 44–51. [Google Scholar]
- Sabour, S.; Frosst, N.; Hinton, G.E. Dynamic routing between capsules. Adv. Neural Inf. Process. Syst. 2017, 30, 3859–3869. [Google Scholar]
- Nguyen, H.H.; Yamagishi, J.; Echizen, I. Use of a capsule network to detect fake images and videos. arXiv 2019, arXiv:1910.12467. [Google Scholar]
- Pan, C.; Velipasalar, S. PT-CapsNet: A novel prediction-tuning capsule network suitable for deeper architectures. In Proceedings of the IEEE/CVF International Conference on Computer Vision, Montreal, BC, Canada, 11–17 October 2021; pp. 11996–12005. [Google Scholar]
- Zhang, Z.; Ye, S.; Liao, P.; Liu, Y.; Su, G.; Sun, Y. Enhanced capsule network for medical image classification. In Proceedings of the 2020 42nd Annual International Conference of the IEEE Engineering in Medicine & Biology Society (EMBC), Montreal, QC, Canada, 20–24 July 2020; pp. 1544–1547. [Google Scholar]
- Zhao, W.; Ye, J.; Yang, M.; Lei, Z.; Zhang, S.; Zhao, Z. Investigating capsule networks with dynamic routing for text classification. arXiv 2018, arXiv:1804.00538. [Google Scholar]
- Hu, J.; Liao, J.; Liu, L.; Ma, W. RCapsNet: A recurrent capsule network for text classification. In Proceedings of the 2020 International Joint Conference on Neural Networks (IJCNN), Glasgow, UK, 19–24 July 2020; pp. 1–8. [Google Scholar]
- Wang, D.; Liang, Y.; Xu, D. Capsule network for protein post-translational modification site prediction. Bioinformatics 2019, 35, 2386–2394. [Google Scholar] [CrossRef] [PubMed]
- Zhang, Q.; Yu, W.; Han, K.; Nandi, A.K.; Huang, D.S. Multi-scale capsule network for predicting DNA-protein binding sites. IEEE/ACM Trans. Comput. Biol. Bioinform. 2020, 18, 1793–1800. [Google Scholar] [CrossRef] [PubMed]
- Khanal, J.; Tayara, H.; Zou, Q.; To Chong, K. DeepCap-Kcr: Accurate identification and investigation of protein lysine crotonylation sites based on capsule network. Briefings Bioinform. 2022, 23, bbab492. [Google Scholar] [CrossRef]
- Su, X.; You, Z.H.; Huang, D.s.; Wang, L.; Wong, L.; Ji, B.; Zhao, B. Biomedical knowledge graph embedding with capsule network for multi-label drug-drug interaction prediction. IEEE Trans. Knowl. Data Eng. 2022, 35, 5640–5651. [Google Scholar] [CrossRef]
- Li, Z.; Li, S.; Luo, M.; Jhong, J.H.; Li, W.; Yao, L.; Pang, Y.; Wang, Z.; Wang, R.; Ma, R.; et al. dbPTM in 2022: An updated database for exploring regulatory networks and functional associations of protein post-translational modifications. Nucleic Acids Res. 2022, 50, D471–D479. [Google Scholar] [CrossRef]
- Kao, H.J.; Huang, C.H.; Bretaña, N.A.; Lu, C.T.; Huang, K.Y.; Weng, S.L.; Lee, T.Y. A two-layered machine learning method to identify protein O-GlcNAcylation sites with O-GlcNAc transferase substrate motifs. BMC Bioinform. 2015, 16, S10. [Google Scholar] [CrossRef] [PubMed]
- Bretana, N.A.; Lu, C.T.; Chiang, C.Y.; Su, M.G.; Huang, K.Y.; Lee, T.Y.; Weng, S.L. Identifying protein phosphorylation sites with kinase substrate specificity on human viruses. PLoS ONE 2012, 7, e40694. [Google Scholar] [CrossRef]
- Lee, T.Y.; Huang, K.Y.; Chuang, C.H.; Lee, C.Y.; Chang, T.H. Incorporating deep learning and multi-omics autoencoding for analysis of lung adenocarcinoma prognostication. Comput. Biol. Chem. 2020, 87, 107277. [Google Scholar] [CrossRef]
- Bui, V.M.; Weng, S.L.; Lu, C.T.; Chang, T.H.; Weng, J.T.Y.; Lee, T.Y. SOHSite: Incorporating evolutionary information and physicochemical properties to identify protein S-sulfenylation sites. BMC Genom. 2016, 17, 9. [Google Scholar] [CrossRef]
- Chen, S.A.; Lee, T.Y.; Ou, Y.Y. Incorporating significant amino acid pairs to identify O-linked glycosylation sites on transmembrane proteins and non-transmembrane proteins. BMC Bioinform. 2010, 11, 536. [Google Scholar] [CrossRef]
- Yao, L.; Li, W.; Zhang, Y.; Deng, J.; Pang, Y.; Huang, Y.; Chung, C.R.; Yu, J.; Chiang, Y.C.; Lee, T.Y. Accelerating the Discovery of Anticancer Peptides through Deep Forest Architecture with Deep Graphical Representation. Int. J. Mol. Sci. 2023, 24, 4328. [Google Scholar] [CrossRef] [PubMed]
- Witten, J.; Witten, Z. Deep learning regression model for antimicrobial peptide design. BioRxiv 2019, 692681. [Google Scholar] [CrossRef]
- Pirtskhalava, M.; Amstrong, A.A.; Grigolava, M.; Chubinidze, M.; Alimbarashvili, E.; Vishnepolsky, B.; Gabrielian, A.; Rosenthal, A.; Hurt, D.E.; Tartakovsky, M. DBAASP v3: Database of antimicrobial/cytotoxic activity and structure of peptides as a resource for development of new therapeutics. Nucleic Acids Res. 2021, 49, D288–D297. [Google Scholar] [CrossRef] [PubMed]
- Qureshi, A.; Thakur, N.; Tandon, H.; Kumar, M. AVPdb: A database of experimentally validated antiviral peptides targeting medically important viruses. Nucleic Acids Res. 2014, 42, D1147–D1153. [Google Scholar] [CrossRef]
- Agrawal, P.; Bhagat, D.; Mahalwal, M.; Sharma, N.; Raghava, G.P. AntiCP 2.0: An updated model for predicting anticancer peptides. Briefings Bioinform. 2021, 22, bbaa153. [Google Scholar] [CrossRef]
- Agrawal, P.; Bhalla, S.; Chaudhary, K.; Kumar, R.; Sharma, M.; Raghava, G.P. In silico approach for prediction of antifungal peptides. Front. Microbiol. 2018, 9, 323. [Google Scholar] [CrossRef]
- Afshar, P.; Heidarian, S.; Naderkhani, F.; Oikonomou, A.; Plataniotis, K.N.; Mohammadi, A. COVID-CAPS: A capsule network-based framework for identification of COVID-19 cases from X-ray images. Pattern Recognit. Lett. 2020, 138, 638–643. [Google Scholar] [CrossRef]
- Zhang, K.; Jiao, M.; Chen, X.; Wang, Z.; Liu, B.; Liu, L. SC-BiCapsNet: A Sentiment Classification Model Based on Bi-Channel Capsule Network. IEEE Access 2019, 7, 171801–171813. [Google Scholar] [CrossRef]
- Li, C.; Quan, C.; Peng, L.; Qi, Y.; Deng, Y.; Wu, L. A Capsule Network for Recommendation and Explaining What You Like and Dislike. In Proceedings of the 42nd International ACM SIGIR Conference on Research and Development in Information Retrieval, SIGIR’19, Paris, France, 21–25 July 2019; Association for Computing Machinery: New York, NY, USA, 2019; pp. 275–284. [Google Scholar] [CrossRef]
- Chung, J.; Gulcehre, C.; Cho, K.; Bengio, Y. Empirical evaluation of gated recurrent neural networks on sequence modeling. arXiv 2014, arXiv:1412.3555. [Google Scholar]
- Abadi, M.; Barham, P.; Chen, J.; Chen, Z.; Davis, A.; Dean, J.; Devin, M.; Ghemawat, S.; Irving, G.; Isard, M.; et al. Tensorflow: A system for large-scale machine learning. In Proceedings of the Osdi, Savannah, GA, USA, 2–4 November 2016; Volume 16, pp. 265–283. [Google Scholar]
- Kingma, D.P.; Ba, J. Adam: A method for stochastic optimization. arXiv 2014, arXiv:1412.6980. [Google Scholar]
- Meher, P.K.; Sahu, T.K.; Saini, V.; Rao, A.R. Predicting antimicrobial peptides with improved accuracy by incorporating the compositional, physico-chemical and structural features into Chou’s general PseAAC. Sci. Rep. 2017, 7, 42362. [Google Scholar] [CrossRef] [PubMed]
- Chung, C.R.; Kuo, T.R.; Wu, L.C.; Lee, T.Y.; Horng, J.T. Characterization and identification of antimicrobial peptides with different functional activities. Briefings Bioinform. 2020, 21, 1098–1114. [Google Scholar] [CrossRef] [PubMed]
- Bahdanau, D.; Cho, K.; Bengio, Y. Neural machine translation by jointly learning to align and translate. arXiv 2014, arXiv:1409.0473. [Google Scholar]
- Van der Maaten, L.; Hinton, G. Visualizing data using t-SNE. J. Mach. Learn. Res. 2008, 9, 2579–2605. [Google Scholar]




| Years | Tools/Authors | Used Features | Target | Method | URL |
|---|---|---|---|---|---|
| 2022 | AMPpredictor | AAC, DPC, PAAC, PHYC | ABPs, AVPs, AFPs, ACPs, TMC | GBDT | https://awi.cuhk.edu.cn/~dbAMP/predict.php (accessed on 7 January 2022) |
| 2022 | StaBle-ABPpred | Peptide level features and amino acid level features | ABPs | biLSTM and attention mechanism | https://stable-abppred.anvil.app (accessed on 1 January 2022) |
| 2022 | Zhang et al. | Peptide sequence | AMPs | BERT | Not available |
| 2021 | Deep-ABPpred | Peptide level features and amino acid level features | ABPs | biLSTM, SVM, RF | https://abppred.anvil.app/ (accessed on 31 March 2021) |
| 2021 | AVPIden | AAC, DPC, CKSAAP, PAAC, PHYC | AVPs | RF | http://awi.cuhk.edu.cn/AVPIden/ (accessed on 19 July 2021) |
| 2020 | Deep-AmPEP30 | PseKRAAC reduced amino acids composition | AMPs | DL | https://app.cbbio.online/ampep/home (accessed on 5 June 2020) |
| 2020 | AntiCP 2.0 | AAC, DPC, terminus composition, binary profile | ACPs | SVM | https://webs.iiitd.edu.in/raghava/anticp2/ (accessed on 6 August 2020) |
| 2020 | AMPfun | Binary profiling of amino acid position, AAC, PHYC | ABPs, AVPs, AFPs, ACPs, TMC | CART, RF, SVM | http://fdblab.csie.ncu.edu.tw/AMPfun/index.html (accessed on 1 May 2020) |
| 2020 | AmpGram | Binarized n-grams | AMPs | RF | http://biongram.biotech.uni.wroc.pl/AmpGram/ (accessed on 17 June 2020) |
| 2018 | AMPScanner | Peptide Sequence | AMPs | DL | https://www.dveltri.com/ascan/ (accessed on 24 March 2018) |
| 2018 | AmPEP | AAC, PAAC, CTDD | AMPs | RF | https://app.cbbio.online/ampep/home (accessed on 26 January 2018) |
| 2017 | iAMPpred | Compositional, structural and physico-chemical features | ABPs, AFPs, AVPs | SVM | http://cabgrid.res.in:8080/amppred/ (accessed on 13 February 2017) |
| 2016 | CAMP R3 | Sequence composition, physicochemical properties, structural characteristics of amino acids | AMPs | SVM, RF, ANN | http://www.camp.bicnirrh.res.in/predict/ (accessed on 4 January 2016) |
| 2012 | ClassAMP | 257 sequence features | ABPs, AFPs, AVPs | SVM, RF | http://www.bicnirrh.res.in/classamp/ (accessed on 26 June 2012) |
| Model | Accuracy | Recall | Precision | F1-Score | AUROC |
|---|---|---|---|---|---|
| LSTM | 91.35% | 87.69% | 89.72% | 0.8869 | 0.9067 |
| GRU | 90.48% | 87.60% | 87.75% | 0.8768 | 0.8995 |
| CNN | 90.09% | 86.43% | 87.76% | 0.8709 | 0.8941 |
| biLSTM | 91.19% | 88.11% | 89.00% | 0.8855 | 0.9062 |
| biGRU | 90.48% | 87.10% | 88.14% | 0.8762 | 0.8985 |
| KNN | 88.43% | 90.12% | 81.83% | 0.8577 | 0.8874 |
| RF | 92.19% | 87.27% | 92.13% | 0.8963 | 0.9128 |
| ABPCaps | 93.33% | 90.95% | 91.72% | 0.9134 | 0.9289 |
| Model | Accuracy | Recall | Precision | F1-Score | AUROC |
|---|---|---|---|---|---|
| iAMPpred | 77.28% | 88.86% | 65.13% | 0.7517 | 0.7942 |
| ClassAMP | 61.28% | 40.11% | 49.95% | 0.4450 | 0.5737 |
| AMPfun | 78.78% | 94.64% | 65.66% | 0.7753 | 0.8170 |
| ABPCaps | 93.33% | 90.95% | 91.72% | 0.9134 | 0.9289 |
| Target Bacteria | Number of Positive Samples | Number of Negative Samples | Number of Samples in Train Set | Number of Samples in Test Set |
|---|---|---|---|---|
| E. coli | 4166 | 4166 | 6661 | 1671 |
| S. aureus | 3713 | 3713 | 5941 | 1485 |
| P. aeruginosa | 2252 | 2252 | 3603 | 901 |
| C. albicans | 1601 | 1601 | 2562 | 640 |
| B. subtilis | 1325 | 1325 | 2120 | 530 |
| S. epidermidis | 840 | 840 | 1344 | 336 |
| M. luteus | 701 | 701 | 1122 | 280 |
| K. pneumoniae | 694 | 694 | 1110 | 278 |
| S. typhimurium | 677 | 677 | 1083 | 271 |
| E. faecalis | 613 | 613 | 981 | 245 |
| Model | Precision | Recall | Accuracy | F1-Score | AUROC |
|---|---|---|---|---|---|
| CNN | 93.32% | 92.78% | 93.08% | 0.9304 | 0.9309 |
| biGRU | 91.38% | 91.84% | 91.59% | 0.9157 | 0.9164 |
| biLSTM | 93.51% | 92.33% | 92.99% | 0.9291 | 0.9299 |
| GRU | 91.81% | 91.75% | 91.77% | 0.9173 | 0.9182 |
| LSTM | 93.18% | 92.67% | 92.95% | 0.9291 | 0.9298 |
| KNN | 83.89% | 79.50% | 79.50% | 0.7876 | 0.7956 |
| RF | 87.50% | 87.31% | 87.31% | 0.8731 | 0.8738 |
| ABPCaps | 96.31% | 93.57% | 95.00% | 0.9491 | 0.9502 |
Disclaimer/Publisher’s Note: The statements, opinions and data contained in all publications are solely those of the individual author(s) and contributor(s) and not of MDPI and/or the editor(s). MDPI and/or the editor(s) disclaim responsibility for any injury to people or property resulting from any ideas, methods, instructions or products referred to in the content. |
© 2023 by the authors. Licensee MDPI, Basel, Switzerland. This article is an open access article distributed under the terms and conditions of the Creative Commons Attribution (CC BY) license (https://creativecommons.org/licenses/by/4.0/).
Share and Cite
Yao, L.; Pang, Y.; Wan, J.; Chung, C.-R.; Yu, J.; Guan, J.; Leung, C.; Chiang, Y.-C.; Lee, T.-Y. ABPCaps: A Novel Capsule Network-Based Method for the Prediction of Antibacterial Peptides. Appl. Sci. 2023, 13, 6965. https://doi.org/10.3390/app13126965
Yao L, Pang Y, Wan J, Chung C-R, Yu J, Guan J, Leung C, Chiang Y-C, Lee T-Y. ABPCaps: A Novel Capsule Network-Based Method for the Prediction of Antibacterial Peptides. Applied Sciences. 2023; 13(12):6965. https://doi.org/10.3390/app13126965
Chicago/Turabian StyleYao, Lantian, Yuxuan Pang, Jingting Wan, Chia-Ru Chung, Jinhan Yu, Jiahui Guan, Clement Leung, Ying-Chih Chiang, and Tzong-Yi Lee. 2023. "ABPCaps: A Novel Capsule Network-Based Method for the Prediction of Antibacterial Peptides" Applied Sciences 13, no. 12: 6965. https://doi.org/10.3390/app13126965
APA StyleYao, L., Pang, Y., Wan, J., Chung, C.-R., Yu, J., Guan, J., Leung, C., Chiang, Y.-C., & Lee, T.-Y. (2023). ABPCaps: A Novel Capsule Network-Based Method for the Prediction of Antibacterial Peptides. Applied Sciences, 13(12), 6965. https://doi.org/10.3390/app13126965

