Inter-Story Drift Ratio Detection of High-Rise Buildings Based on Ambient Noise Recordings
Abstract
1. Introduction
2. Data Acquisition
3. Data and Processing Methods
3.1. Data Pre-Processing
3.2. Polarization Analysis
3.2.1. Calculating the Polarization Parameters
3.2.2. Estimation of the Inter-Story Drift Ratio
Main Load Analysis of the Floors
Deflection Function Fitting
- (1)
- Use the data set formed by and its corresponding heights to fit the derivative function of the deflection curve .
- (2)
- The deflection function can be calculated via the following formula:where is the distance from the ground to the calculation point and is 98 m, the maximum height of the aboveground part of the building. is 0 m.
Calculation of the IDRs
3.3. Meteorological Data
4. Results and Analysis
4.1. Results and Analysis of the Main Loads of the Floors
4.2. Results and Analysis of
4.3. Results and Analysis of Deflection Function Fitting
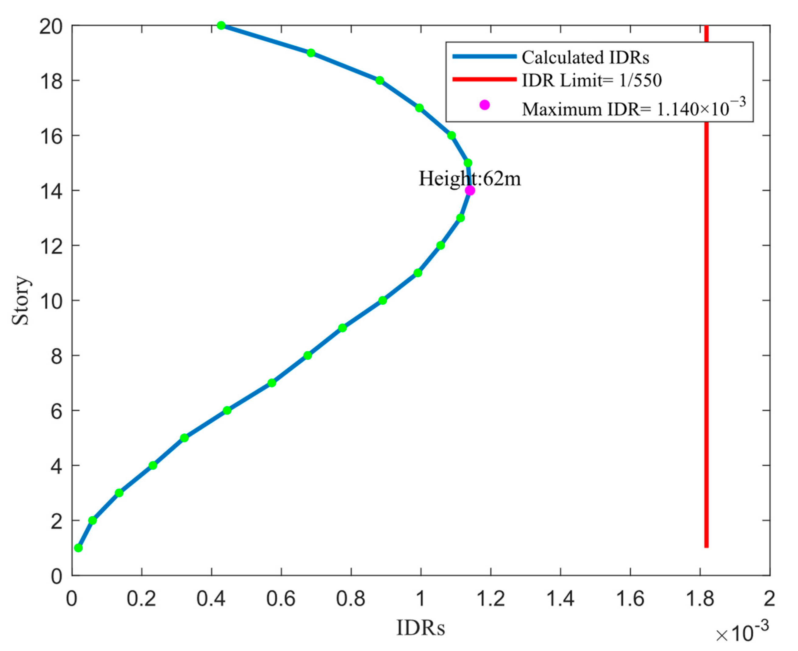
4.4. Results and Analysis of the Calculated IDRs
4.5. Results and Analysis of the Harmful IDR
5. Conclusions
- The IDRs of the Zhonghe Building can be monitored using ambient noise.
- The parameter of the building’s structure can be approximately regarded as the tangent slope of the deflection curve at one point.
- The data set for and the height can be used to fit the deflection function of the building.
- Using the deflection function, IDRs can be calculated.
- The calculation of harmful IDRs can be integrated using IDR data and the secant method. The dangerous places indicated by harmful IDRs and IDRs are different. Structures on the 6th floor and 19th floor may need more attention when storms occur.
- The credible IDRs of the Zhonghe Building of Tongji University during the measurement period were far lower than the IDR limit required by the Chinese standards. The overall structure is reliable.
Author Contributions
Funding
Institutional Review Board Statement
Informed Consent Statement
Data Availability Statement
Conflicts of Interest
References
- American Society of Civil Engineers. Minimum Design Loads and Associated Criteria for Buildings and Other Structures; American Society of Civil Engineers: Reston, VA, USA, 2017. [Google Scholar]
- Bariker, P.; Kolathayar, S. Dynamic Soil Structure Interaction of a High-Rise Building Resting over a Finned Pile Mat. Infrastructures 2022, 7, 142. [Google Scholar] [CrossRef]
- PIP STC01015; Structural Design Criteria. Process Industry Practices: Austin, TX, USA, 2007.
- JGJ3-2010; Technical Specification for Concrete Structures of Tall Building. China Architecture& Building Press: Beijing, China, 2011. (In Chinese)
- Liu, D.H.; Yang, C.R.; Zhong, X.G. Seismic Design of High-Rise Buildings; China Architecture & Building Press: Beijing, China, 1993. [Google Scholar]
- Kovačič, B.; Kamnik, R.; Premrov, M.; Gubeljak, N.; Predan, J.; Tišma, Z. Modern Deformation Measurement Techniques and their Comparison. Stroj. Vestn.-J. Mech. Eng. 2008, 54, 364–371. [Google Scholar]
- Hill, C.D.; Sippel, K.D. Modern Deformation Monitoring: A Multi Sensor Approach; FIG XXII International Congress: Washington DC, USA, 2002. [Google Scholar]
- Al-Qabas, I.A.; Farahan, M.H.; Fawzy, H.E. Surrounding Factors’ Influence on the Accuracy of the Digital Level and Total Station. J. Eng. Res. 2020, 8, 9361. [Google Scholar] [CrossRef]
- Yan, F.; Ullah, M.R.; Gong, Y.; Feng, Z.; Chowdury, Y.; Wu, L.L. Use of a no prism total station for field measurements in Pinus tabulaeformis Carr. stands in China. Biosyst. Eng. 2012, 113, 259–265. [Google Scholar] [CrossRef]
- Ibraheem, A. Comparison Between the Use of Modern and Old Surveying Equipment Through the Updating of Digital Maps. Int. J. Adv. Res. Educ. Technol. 2018, 5, 37–42. [Google Scholar]
- JGJ8-2016; Code for deformation measurement of building and structure. China Architecture& Building Press: Beijing, China, 2016. (In Chinese)
- Cosser, E.; Roberts, G.W.; Meng, X.; Dodson, A.H. Measuring the dynamic deformation of bridges using a total station. In Proceedings of the 11th FIG Symposium on Deformation Measurements, Santorini, Greece, 25–28 May 2003; Volume 25. [Google Scholar]
- Bonnefoy-Claudet, S.; Cotton, F.; Bard, P.Y. The nature of noise wavefield and its applications for site effects studies A literature review. Earth Sci. Rev. 2006, 79, 205–227. [Google Scholar] [CrossRef]
- Aoyama, H.; Oshima, H. Tilt change recorded by broadband seismometer prior to small phreatic explosion of Meakan–Dake volcano, Hokkaido, Japan. Geophys. Res. Lett. 2008, 35, 7. [Google Scholar] [CrossRef]
- De Angelis, S.; Bodin, P. Watching the Wind: Seismic Data Contamination at Long Periods due to Atmospheric Pressure-Field-Induced Tilting. Bull. Seismol. Soc. Am. 2012, 102, 1255–1265. [Google Scholar] [CrossRef]
- Ikeda, A.; Fujita, K.; Takewaki, I. Reliability of system identification technique in super high-rise building. Front. Built Environ. 2015, 1, 11. [Google Scholar] [CrossRef]
- Boutin, C.; Hans, S. How Far Ambient Noise Measurement May Help to Assess Building Vulnerability? Springer: Berlin/Heidelberg, Germany, 2009. [Google Scholar]
- Ding, J.; He, Z.; Wang, H.; Mao, H. Structural analysis and design of the complex high-rise structure of Teaching and Research Complex of Tongji university. Build. Struct. 2008, 38, 1–5. (In Chinese) [Google Scholar]
- Yuan, M.; Tuken, A.; Sezen, H. A simplified method for evaluation of seismic displacement of reinforced concrete frame buildings. J. Struct. Integr. Maint. 2019, 4, 51–57. [Google Scholar] [CrossRef]
- Sun, X.; Wu, H.; Wu, Y.; Su, N. Wind-induced responses and control of a Kilometer skyscraper with mass and viscous dampers. J. Build. Eng. 2021, 43, 102552, ISSN 2352-7102. [Google Scholar] [CrossRef]
- Bard, P.-Y. Microtremor measurements: A tool for site effect estimation? In Proceedings of the 2nd International Symposium on the Effects of Surface Geology on Seismic Motion, Yokohama, Japan, 1–3 December 1998; Volume 1, pp. 1251–1279. [Google Scholar]
- Bard, P.-Y.; SESAME-Team. Guideline for the implementation of the H/V Spectral Ratio technique on ambient vibrations-measurements. In Processing and Interpretations; SESAME European Research Project EVG1-CT-2000-00026, D23.12; Engineering and Seismology; Springer: Cham, Switzerland, 2015; pp. 371–394. [Google Scholar]
- Gravirov, V.V.; Kislov, K.V. Seismic Signals and Wind Noise. In Proceedings of the CTBTO S&T, Vienna, Austria, 8–10 June 2011. [Google Scholar]
- Asten, M.W. Geological control on the three-component spectra of Rayleigh-wave microseisms. Bull. Seismol. Soc. Am. 1978, 68, 1623–1636. [Google Scholar]
- Asten, M.W.; Henstridge, J.D. Array estimators and the use of microseisms for reconnaissance of sedimentary basins. Geophysics 1984, 49, 1828–1837. [Google Scholar] [CrossRef]
- Guo, Z.; Aydin, A.; Huang, Y.; Xue, M. Polarization characteristics of Rayleigh waves to improve seismic site effects analysis by HVSR method. Eng. Geol. 2021, 292, 106274. [Google Scholar] [CrossRef]
- Koper, K.D.; Burlacu, R. The fine structure of double-frequency microseisms recorded by seismometers in North America. J. Geophys. Res. Solid Earth 2015, 120, 1677–1691. [Google Scholar] [CrossRef]
- Sun, M. Wind load shape coefficient and shape design in building structure. Sci. Technol. Inf. 2012, 12, 405–406. (In Chinese) [Google Scholar]
- Erdenebat, D.; Waldmann, D.; Scherbaum, F.; Teferle, N. The Deformation Area Difference (DAD) method for condition assessment of reinforced structures. Eng. Struct. 2018, 155, 315–329. [Google Scholar] [CrossRef]
- Ćurić, I.; Radić, J.; Franetović, M. Determination of the Bending Moment—Curvature Relationship for Reinforced Concrete Hollow Section Bridge Columns. Teh. Vjesn.-Tech. Gaz. 2016, 23, 907–916. [Google Scholar]
- GB/T 28591-2012; Windscale. Standards Press of China: Beijing, China, 2012. (In Chinese)
- Cai, J.; Bu, G.; Yang, C.; Chen, Q.; Zuo, Z. Calculation Methods for Inter-Story Drifts of Building Structures. Adv. Struct. Eng. 2014, 17, 735–745. [Google Scholar] [CrossRef]
- Akehashi, H.; Takewaki, I. Resilience evaluation of elastic-plastic high-rise buildings under resonant long-duration ground motion. Jpn. Archit. Rev. 2022, 5, 373–385. [Google Scholar] [CrossRef]
- Akehashi, H.; Takewaki, I. Bounding of earthquake response via critical double impulse for efficient optimal design of viscous dampers for elastic-plastic moment frames. Jpn. Archit. Rev. 2022, 5, 131–149. [Google Scholar] [CrossRef]









| 0 | 0 | 0 | 0 |
| 13 | −0.054757 | 56 | −0.00096 |
| 16 | −0.09 | 70 | −0.00157 |
| 17 | −0.07 | 74 | −0.00122 |
| 18 | −0.020511 | 78 | −0.00036 |
| 20 | −0.032471 | 88 | −0.00057 |
| 21 | −0.021921 | 92 | −0.00038 |
Disclaimer/Publisher’s Note: The statements, opinions and data contained in all publications are solely those of the individual author(s) and contributor(s) and not of MDPI and/or the editor(s). MDPI and/or the editor(s) disclaim responsibility for any injury to people or property resulting from any ideas, methods, instructions or products referred to in the content. |
© 2023 by the authors. Licensee MDPI, Basel, Switzerland. This article is an open access article distributed under the terms and conditions of the Creative Commons Attribution (CC BY) license (https://creativecommons.org/licenses/by/4.0/).
Share and Cite
Peng, Z.; Guo, Z.; Shen, Y.; Wang, X. Inter-Story Drift Ratio Detection of High-Rise Buildings Based on Ambient Noise Recordings. Appl. Sci. 2023, 13, 6724. https://doi.org/10.3390/app13116724
Peng Z, Guo Z, Shen Y, Wang X. Inter-Story Drift Ratio Detection of High-Rise Buildings Based on Ambient Noise Recordings. Applied Sciences. 2023; 13(11):6724. https://doi.org/10.3390/app13116724
Chicago/Turabian StylePeng, Zhen, Zhen Guo, Yifan Shen, and Xu Wang. 2023. "Inter-Story Drift Ratio Detection of High-Rise Buildings Based on Ambient Noise Recordings" Applied Sciences 13, no. 11: 6724. https://doi.org/10.3390/app13116724
APA StylePeng, Z., Guo, Z., Shen, Y., & Wang, X. (2023). Inter-Story Drift Ratio Detection of High-Rise Buildings Based on Ambient Noise Recordings. Applied Sciences, 13(11), 6724. https://doi.org/10.3390/app13116724

