Extended-State-Observer-Based Angular Acceleration Estimation for Supersonic Aircraft Lateral–Directional Control
Abstract
1. Introduction
2. Lateral–Directional Dynamics
| Parameter | Explanation | Value |
|---|---|---|
| Reference area | 1.2 m2 | |
| Mean aerodynamic chord | 0.5 m | |
| Wingspan | 2.1 m | |
| Mass | 280 kg | |
| Product of inertia xz | 6 kg·m2 | |
| Moment of inertia around the x-axis | 9 kg·m2 | |
| Moment of inertia around the y-axis | 300 kg·m2 | |
| Moment of inertia around the z-axis | 300 kg·m2 |
3. Incremental Nonlinear Dynamic Inversion Control Law Design
3.1. INDI Derivation
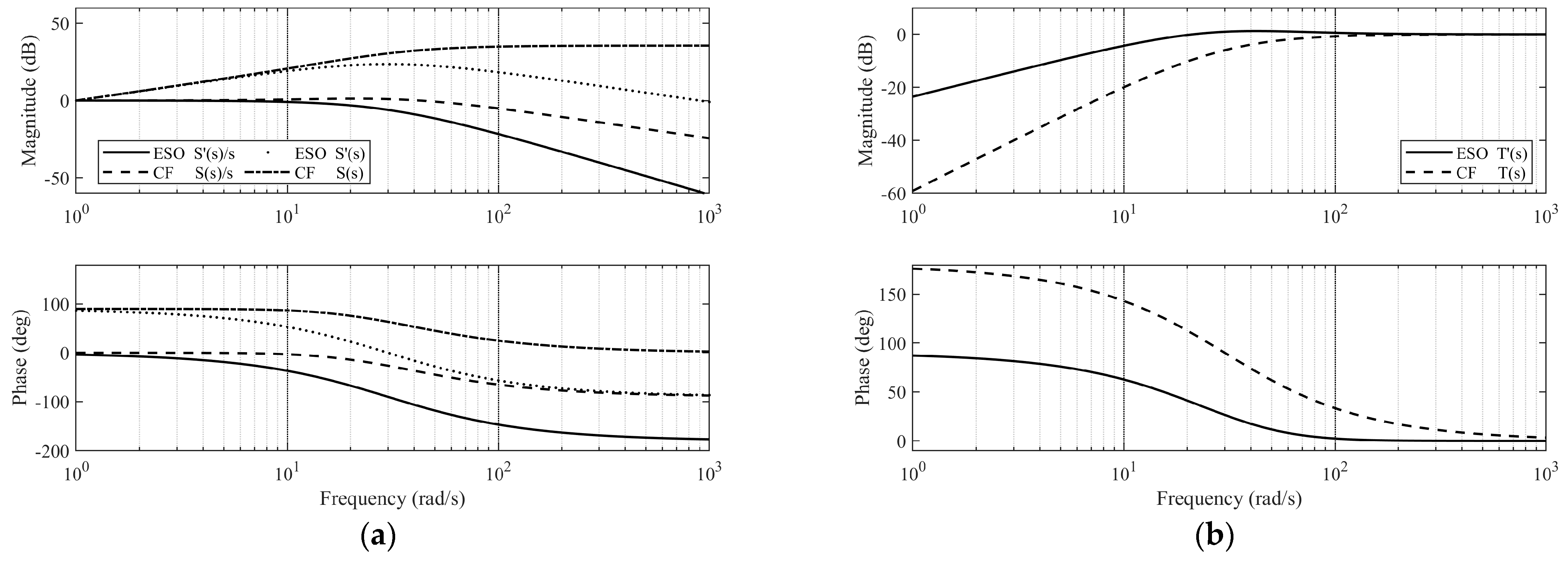
3.2. Angular Acceleration Estimation
3.3. Reference Model with Pseudo-Control Hedging
3.4. Synchronization Filter
3.5. Overall Control Structure
3.5.1. Outer-Loop Control
3.5.2. Inner-Loop Control
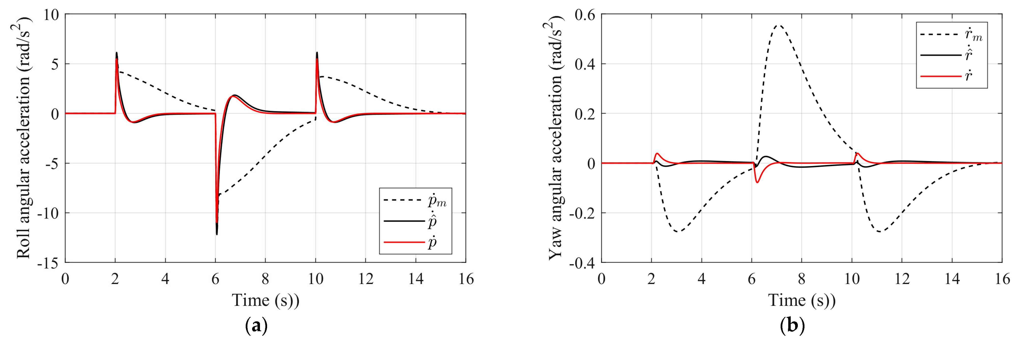
4. Simulation Verification and Discussion
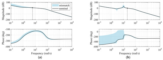
4.1. Influence of Model Mismatches and Sensor Noises
4.2. Sensitivity Analysis
4.3. Flying Quality and Stability Margin Evaluation
5. Flight Test Validation
6. Conclusions
7. Future Works
Author Contributions
Funding
Institutional Review Board Statement
Informed Consent Statement
Data Availability Statement
Acknowledgments
Conflicts of Interest
Nomenclature
| Y | side force (N) |
| L | roll aerodynamic moments (N∙m) |
| M | pitch aerodynamic moments (N∙m) |
| N | yaw aerodynamic moments (N∙m) |
| ϕ | roll Euler angle (rad) |
| θ | pitch Euler angle (rad) |
| V | true airspeed (m/s) |
| p | roll angular rate (rad/s) |
| q | pitch angular rate (rad/s) |
| r | yaw angular rate (rad/s) |
| α | angle-of-attack (rad) |
| β | sideslip angle (rad) |
| deflection angle of the aileron (rad) | |
| deflection angle of the rudder (rad) | |
| commanded deflection angle of the aileron (rad) | |
| commanded deflection angle of the rudder (rad) |
Abbreviations
| INDI | incremental nonlinear dynamic inversion |
| LSR | large-slenderness-ratio |
| ESO | extended state observer |
| CF | complementary filter |
| MC | Monte Carlo |
| NDI | nonlinear dynamic inversion |
| CFD | computational fluid dynamics |
| HOT | higher-order terms |
| RMS | root-mean-square |
| LOES | low-order equivalent system |
| HIL | hardware-in-the-loop |
References
- Wang, D.; Wang, J.-F.; Li, L.-F.; Yang, T.-P.; Chen, J.-T. Novel Volume-Improved Design Method of Large-Slenderness-Ratio Cone-Derived Waveriders. AIAA J. 2020, 58, 4832–4847. [Google Scholar] [CrossRef]
- Day, R.E. Coupling Dynamics in Aircraft: A Historical Perspective; NASA: Kern, CA, USA, 1997. [Google Scholar]
- Dydek, Z.T.; Annaswamy, A.M.; Lavretsky, E. Adaptive Control and the NASA X-15-3 Flight Revisited. IEEE Control Syst. 2010, 30, 32–48. [Google Scholar] [CrossRef]
- Orr, J.S.; Dennehy, C.J. Analysis of the X-15 Flight 3-65-97 Divergent Limit-Cycle Oscillation. J. Aircr. 2017, 54, 135–148. [Google Scholar] [CrossRef]
- Sobel, K.; Shapiro, E. Eigenstructure Assignment for Design of Multimode Flight Control Systems. IEEE Control Syst. Mag. 1985, 5, 9–15. [Google Scholar] [CrossRef]
- Ogunwa, T.; Abdullah, E.; Chahl, J. Modeling and Control of an Articulated Multibody Aircraft. Appl. Sci. 2022, 12, 1162. [Google Scholar] [CrossRef]
- Wang, L.; Zhang, N.; Yue, T.; Liu, H.; Zhu, J.; Jia, X. Three-Axis Coupled Flight Control Law Design for Flying Wing Aircraft Using Eigenstructure Assignment Method. Chin. J. Aeronaut. 2020, 33, 2510–2526. [Google Scholar] [CrossRef]
- Nieto-Wire, C.; Sobel, K. Eigenstructure Assignment for a Tailless Aircraft. In Proceedings of the AIAA Guidance, Navigation and Control Conference and Exhibit, Honolulu, HI, USA, 20–23 August 2007; American Institute of Aeronautics and Astronautics: Reston VA, USA, 2007. [Google Scholar]
- Snell, A. Decoupling Control Design with Applications to Flight. J. Guid. Control Dyn. 1998, 21, 647–655. [Google Scholar] [CrossRef]
- Acquatella, P.; Falkena, W.; van Kampen, E.-J.; Chu, Q.P. Robust Nonlinear Spacecraft Attitude Control Using Incremental Nonlinear Dynamic Inversion. In Proceedings of the AIAA Guidance, Navigation, and Control Conference, Minneapolis, MN, USA, 13–16 August 2012; p. 4623. [Google Scholar]
- Lungu, R.; Lungu, M. Automatic Control of Aircraft in Lateral-Directional Plane During Landing: Automatic Control of Aircraft in Lateral-Directional Plane During Landing. Asian J. Control 2016, 18, 433–446. [Google Scholar] [CrossRef]
- Sieberling, S.; Chu, Q.P.; Mulder, J.A. Robust Flight Control Using Incremental Nonlinear Dynamic Inversion and Angular Acceleration Prediction. J. Guid. Control Dyn. 2010, 33, 1732–1742. [Google Scholar] [CrossRef]
- Wang, X.; van Kampen, E.-J.; Chu, Q.; Lu, P. Incremental Sliding-Mode Fault-Tolerant Flight Control. J. Guid. Control Dyn. 2019, 42, 244–259. [Google Scholar] [CrossRef]
- Ahmadi, K.; Asadi, D.; Nabavi-Chashmi, S.-Y.; Tutsoy, O. Modified Adaptive Discrete-Time Incremental Nonlinear Dynamic Inversion Control for Quad-Rotors in the Presence of Motor Faults. Mech. Syst. Signal Process. 2023, 188, 109989. [Google Scholar] [CrossRef]
- Jiali, Y.; Jihong, Z. An Angular Acceleration Estimation Method Based on the Complementary Filter Theory. In Proceedings of the 2016 IEEE International Instrumentation and Measurement Technology Conference Proceedings, Taipei, Taiwan, 23–26 May 2016; IEEE: Piscataway, NJ, USA, 2016; pp. 1–6. [Google Scholar]
- Ren, Z.; Fu, W.; Li, Y.; Yan, B.; Zhu, S.; Yan, J. Enhanced attitude control of unmanned aerial vehicles based on virtual angular accelerometer. J. IEEE Access 2019, 7, 104330–104343. [Google Scholar] [CrossRef]
- Liu, Z.; Zhang, Y.; Liang, J.; Chen, H. Application of the Improved Incremental Nonlinear Dynamic Inversion in Fixed-Wing UAV Flight Tests. J. Aerosp. Eng. 2022, 35, 04022091. [Google Scholar] [CrossRef]
- Valasek, J.; Chen, W. Observer/Kalman Filter Identification for Online System Identification of Aircraft. J. Guid. Control Dyn. 2003, 26, 347–353. [Google Scholar] [CrossRef]
- Gao, Z. Scaling and Bandwidth-Parameterization Based Controller Tuning. In Proceedings of the 2003 American Control Conference, Denver, CO, USA, 4–6 June 2003; Volume 6, pp. 4989–4996. [Google Scholar]
- Chen, J.; Du, N.; Han, Y. Decoupling Attitude Control of a Hypersonic Glide Vehicle Based on a Nonlinear Extended State Observer. Int. J. Aerosp. Eng. 2020, 2020, 4905698. [Google Scholar] [CrossRef]
- Lyu, H.; Gong, Z.; Chen, Y.; Chen, W.; Wang, W. Large-Slenderness-Ratio Supersonic Aircraft Lateral–Directional Coupling Dynamics Analysis and Control. Int. J. Aerosp. Eng. 2022, 2022, 2490675. [Google Scholar] [CrossRef]
- Kim, C.-S.; Ji, C.-H.; Koh, G.-O.; Kim, B.S. Stability Margin and Structural Coupling Analysis of a Hybrid INDI Control for the Fighter Aircraft. Int. J. Aeronaut. Space Sci. 2021, 22, 1154–1169. [Google Scholar] [CrossRef]
- Cakiroglu, C.; Van Kampen, E.-J.; Chu, Q.P. Robust Incremental Nonlinear Dynamic Inversion Control Using Angular Accelerometer Feedback. In Proceedings of the 2018 AIAA Guidance, Navigation, and Control Conference, Kissimmee, FL, USA, 8–12 January 2018; American Institute of Aeronautics and Astronautics: Reston, VA, USA, 2018. [Google Scholar]
- Wang, X.; van Kampen, E.-J.; Chu, Q.; Lu, P. Stability Analysis for Incremental Nonlinear Dynamic Inversion Control. J. Guid. Control Dyn. 2019, 42, 1116–1129. [Google Scholar] [CrossRef]
- Pavel, M.D.; Shanthakumaran, P.; Chu, Q.; Stroosma, O.; Wolfe, M.; Cazemier, H. Incremental Nonlinear Dynamic Inversion for the Apache AH-64 Helicopter Control. J. Am. Helicopter Soc. 2020, 65, 1–16. [Google Scholar] [CrossRef]
- Liu, J. Finite Time Observer Based Incremental Nonlinear Fault-Tolerant Flight Control. Aerosp. Sci. Technol. 2020, 11, 105986. [Google Scholar] [CrossRef]
- Kumtepe, Y.; Pollack, T.; Van Kampen, E.-J. Flight Control Law Design Using Hybrid Incremental Nonlinear Dynamic Inversion. In Proceedings of the AIAA SCITECH 2022 Forum, San Diego, CA, USA, 3–7 January 2022; American Institute of Aeronautics and Astronautics: Reston, VA, USA, 2022. [Google Scholar]
- Ji, C.; Kim, C.; Kim, B.-S. A Hybrid Incremental Nonlinear Dynamic Inversion Control for Improving Flying Qualities of Asymmetric Store Configuration Aircraft. Aerospace 2021, 8, 126. [Google Scholar] [CrossRef]
- Zhao, Y.; Yan, G.; Qin, Y.; Fu, Q. Information Fusion Based on Complementary Filter for SINS/CNS/GPS Integrated Navigation System of Aerospace Plane. Sensors 2020, 20, 7193. [Google Scholar] [CrossRef] [PubMed]
- Narkhede, P.; Joseph Raj, A.N.; Kumar, V.; Karar, V.; Poddar, S. Least Square Estimation-Based Adaptive Complimentary Filter for Attitude Estimation. Trans. Inst. Meas. Control 2019, 41, 235–245. [Google Scholar] [CrossRef]
- Yoo, T.S.; Hong, S.K.; Yoon, H.M.; Park, S. Gain-Scheduled Complementary Filter Design for a MEMS Based Attitude and Heading Reference System. Sensors 2011, 11, 3816–3830. [Google Scholar] [CrossRef]
- van’t Veld, R.; Van Kampen, E.-J.; Chu, Q.P. Stability and Robustness Analysis and Improvements for Incremental Nonlinear Dynamic Inversion Control. In Proceedings of the 2018 AIAA Guidance, Navigation, and Control Conference, Kissimmee, FL, USA, 8–12 January 2018; American Institute of Aeronautics and Astronautics: Reston, VA, USA, 2018. [Google Scholar]
- Johnson, E.N.; Calise, A.J. Pseudo-Control Hedging: A New Method for Adaptive Control. In Proceedings of the Advances in Navigation Guidance and Control Technology Workshop, Huntsville, AL, USA, 1–2 November 2000. [Google Scholar]
- Li, Y.; Liu, X.; Lu, P.; He, Q.; Ming, R.; Zhang, W. Angular Acceleration Estimation-Based Incremental Nonlinear Dynamic Inversion for Robust Flight Control. Control Eng. Pract. 2021, 117, 104938. [Google Scholar] [CrossRef]
- Hosseinzadeh, M.; Kolmanovsky, I.; Baruah, S.; Sinopoli, B. Reference Governor-Based Fault-Tolerant Constrained Control. Automatica 2022, 136, 110089. [Google Scholar] [CrossRef]
- Zhang, J.; Holzapfel, F. Saturation Protection with Pseudo Control Hedging: A Control Allocation Perspective. In Proceedings of the AIAA Scitech 2021 Forumm, Virtual, 11–15/19–21 January 2021; American Institute of Aeronautics and Astronautics: Reston, VA, USA, 2021. [Google Scholar]
- Smit, B.; Pollack, T.; Van Kampen, E.-J. Adaptive Incremental Nonlinear Dynamic Inversion Flight Control for Consistent Handling Qualities. In Proceedings of the AIAA SCITECH 2022 Forum, San Diego, CA, USA, 3–7 January 2022; American Institute of Aeronautics and Astronautics: Reston, VA, USA, 2022. [Google Scholar]
- Saksena, V.R.; O’reilly, J.; Kokotovic, P.V. Singular Perturbations and Time-Scale Methods in Control Theory: Survey 1976–1983. Automatica 1984, 20, 273–293. [Google Scholar] [CrossRef]
- Bodson, M. Evaluation of Optimization Methods for Control Allocation. J. Guid. Control Dyn. 2002, 25, 703–711. [Google Scholar] [CrossRef]
- Nieto-Wire, C.; Sobel, K. Flight Control Design for a Tailless Aircraft Using Eigenstructure Assignment. Int. J. Aerosp. Eng. 2011, 2011, 549131. [Google Scholar] [CrossRef]
- Miller, C. Nonlinear Dynamic Inversion Baseline Control Law: Architecture and Performance Predictions. In Proceedings of the AIAA Guidance, Navigation, and Control Conference, Portland, OR, USA, 8–11 August 2011; American Institute of Aeronautics and Astronautics: Reston, VA, USA, 2011. [Google Scholar]
- Huang, Y.; Zhang, Y.; Pool, D.M.; Stroosma, O.; Chu, Q. Time-Delay Margin and Robustness of Incremental Nonlinear Dynamic Inversion Control. J. Guid. Control Dyn. 2022, 45, 394–404. [Google Scholar] [CrossRef]
- Magni, J.-F. Robust Modal Control with a Toolbox for Use with Matlab®; Springer Science & Business Media: Berlin, Germany, 2012. [Google Scholar]
- Department of Defense. MIL-HDBK-1797 Department of Defense Handbook Flying Qualities of Piloted Aircraft; Department of Defense: Washington, DC, USA, 1997.
- United States Military. Military Specification. In Flying Qualities of Piloted Airplanes; Defense Technical Information Center: Fort Belvoir, VA, USA, 1980. [Google Scholar]




















| Name | Value |
|---|---|
| Dutch-roll mode | −0.561 ± 8.76i * |
| Roll mode | −3.4 |
| Spiral mode | −0.0157 |
| Dutch-roll mode frequency (rad/s) | 8.78 |
| Dutch-roll mode damping ratio | 0.0639 |
| Actuator | Rate Limit (deg/s) | Position Limit (deg) | Damping Ratio | Natural Frequency (rad/s) |
|---|---|---|---|---|
| Aileron | ±120 | ±25 | 0.7 | 60 |
| Rudder | ±120 | ±20 | 0.7 | 60 |
| Channel | (rad/s) | ESO (rad/s) | |||
|---|---|---|---|---|---|
| Roll | 6 | 8 | 60 | 0.7 | 30 |
| Yaw | 3 | 5 | 60 | 0.7 | 30 |
| Parameter | Explanation | Uncertainty (%) |
|---|---|---|
| Inertial parameters | ±20 | |
| Control coefficients | ±30 | |
| Static aero coefficients | ±20 | |
| Control coupling coefficients | ±20 | |
| Aero coefficients of damping force | ±50 | |
| Aero coefficients of damping moment | ±80 | |
| Dynamic pressure | ±20 | |
| Actuator damping ratio | ±20 | |
| Actuator natural frequency | ±20 |
| Tracking Parameter | ay (m/s2) | r (deg/s) | p (deg/s) | ϕ (deg/s) |
|---|---|---|---|---|
| 0.2 | 0.57 | 2.53 | 1.93 |
Disclaimer/Publisher’s Note: The statements, opinions and data contained in all publications are solely those of the individual author(s) and contributor(s) and not of MDPI and/or the editor(s). MDPI and/or the editor(s) disclaim responsibility for any injury to people or property resulting from any ideas, methods, instructions or products referred to in the content. |
© 2023 by the authors. Licensee MDPI, Basel, Switzerland. This article is an open access article distributed under the terms and conditions of the Creative Commons Attribution (CC BY) license (https://creativecommons.org/licenses/by/4.0/).
Share and Cite
Lyu, H.; Ye, Z.; Chen, Y.; Zhao, T.; Gong, Z.; Liu, X.; Qin, B.; Chen, K. Extended-State-Observer-Based Angular Acceleration Estimation for Supersonic Aircraft Lateral–Directional Control. Appl. Sci. 2023, 13, 6598. https://doi.org/10.3390/app13116598
Lyu H, Ye Z, Chen Y, Zhao T, Gong Z, Liu X, Qin B, Chen K. Extended-State-Observer-Based Angular Acceleration Estimation for Supersonic Aircraft Lateral–Directional Control. Applied Sciences. 2023; 13(11):6598. https://doi.org/10.3390/app13116598
Chicago/Turabian StyleLyu, Huitao, Zheng Ye, Yongliang Chen, Tong Zhao, Zheng Gong, Xueqiang Liu, Bo Qin, and Kun Chen. 2023. "Extended-State-Observer-Based Angular Acceleration Estimation for Supersonic Aircraft Lateral–Directional Control" Applied Sciences 13, no. 11: 6598. https://doi.org/10.3390/app13116598
APA StyleLyu, H., Ye, Z., Chen, Y., Zhao, T., Gong, Z., Liu, X., Qin, B., & Chen, K. (2023). Extended-State-Observer-Based Angular Acceleration Estimation for Supersonic Aircraft Lateral–Directional Control. Applied Sciences, 13(11), 6598. https://doi.org/10.3390/app13116598

