State Residualisation and Kron Reduction for Model Order Reduction of Energy Systems
Abstract
1. Introduction
2. Power System Modelling
2.1. Grid-Forming Converter
2.1.1. Modelling the Grid-Forming Converter Control Loops
2.1.2. Modelling the Grid-Forming Converter Physical Hardware
2.2. Transformers
2.3. Branches
2.4. Loads
3. Model Order Reduction by Combination of the State Residualisation and Kron Reduction Technique
3.1. State Residualisation Technique
3.1.1. State Residualisation Principle
3.1.2. State Categorisation
- (1)
- Linearisation. The non-linear DAE model in (20) is linearised around a steady-state operating point [30], resulting in a linear time invariant system that can be represented in state space as in (43).
- (2)
- Participation Factor. Participation factors are a linear algebraic tool, introduced in [31], which quantify the links between the eigenvalues of a linear system and its state variables. More precisely, the participation factor is a complex number whose modulus gives the participation of the state in the eigenvalue (and vice versa) and indicates how much the state variable influences the considered pole. The participation factor is calculated as in (44):
- (3)
- Groups of States and Eigenvalues. With obtained, the states that participate the most in each eigenvalue can be grouped together, with the rest discarded. Thus, groups (states that do not belong to any group can be set to zero, as they do not significantly contribute to any eigenvalue) are obtained, as there are eigenvalues. This process can be achieved by ordering in descending order and summing the first terms larger than a threshold, .
3.1.3. Modal State Residualisation
3.2. The Kron Reduction Technique
4. Application and Results
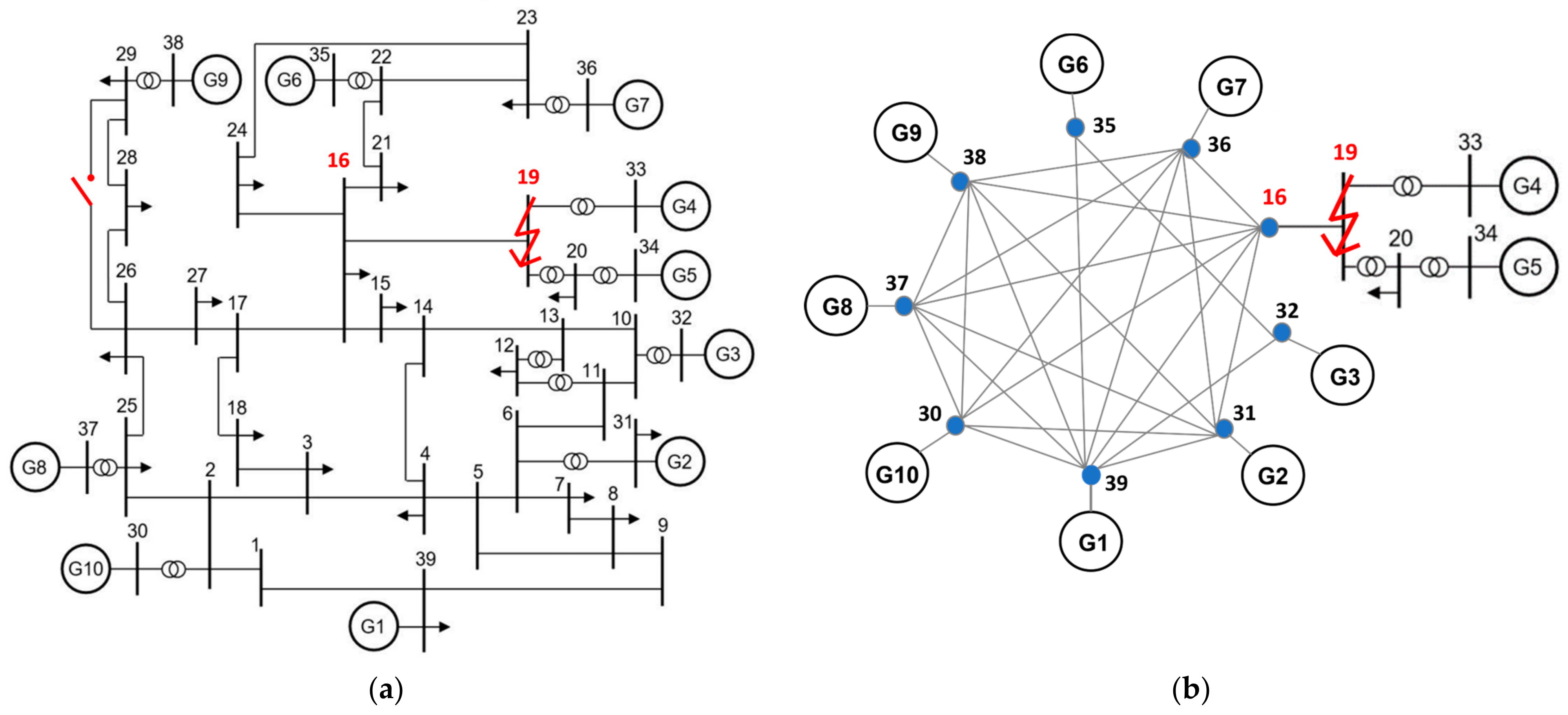
4.1. General Structure of Modified IEEE 39-Bus System
4.2. Application of State Residualisation Technique
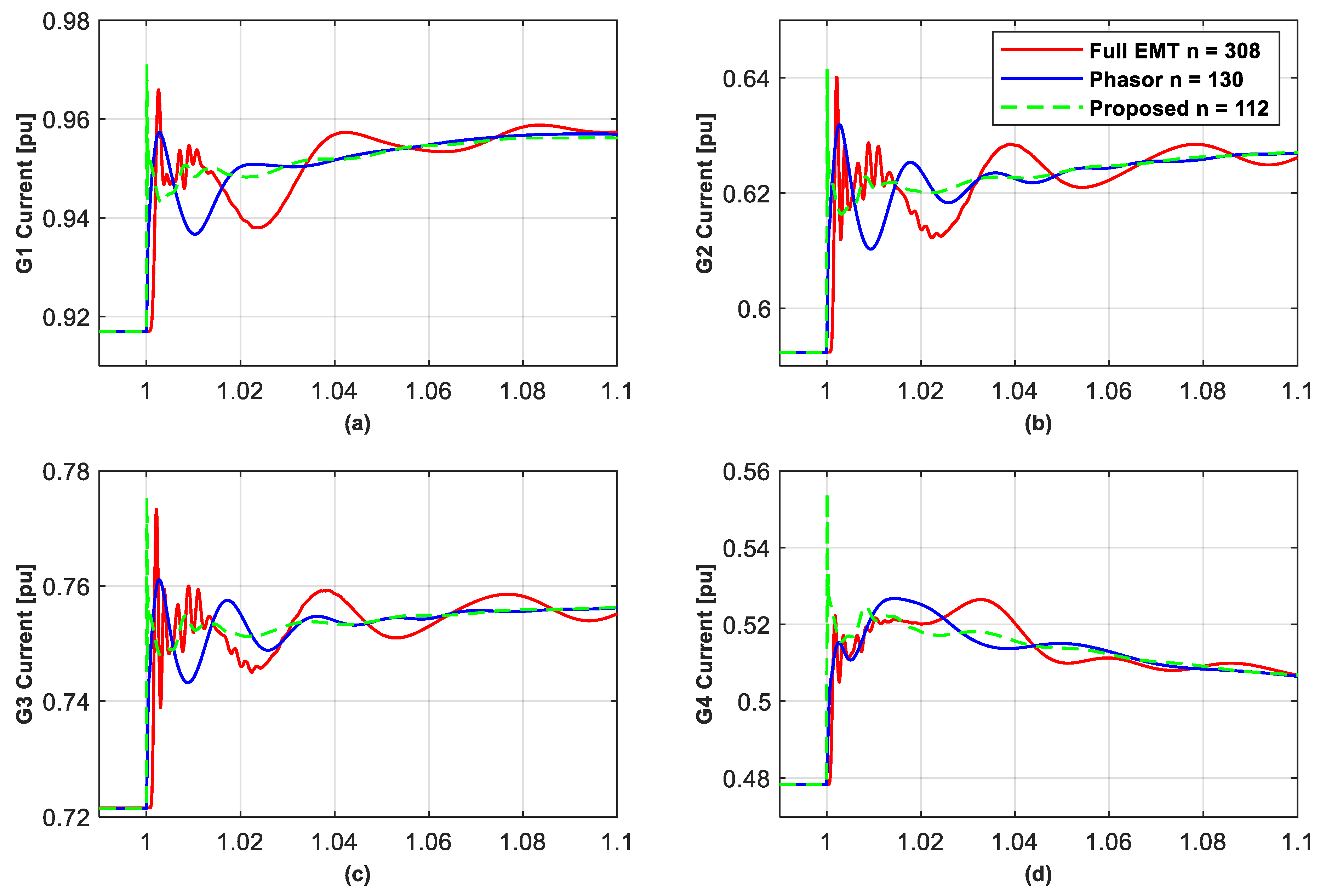
4.3. Dynamic Simulation Results and Analysis
4.4. Application of Kron Reduction Technique
5. Conclusions
Author Contributions
Funding
Institutional Review Board Statement
Informed Consent Statement
Data Availability Statement
Conflicts of Interest
Nomenclature
| The injected, and measured active power | |
| The virtual angular speed and angle generated by the droop control | |
| The injected and measured reactive power | |
| The d- and q-axis voltage references for the inner voltage proportional-integral (PI) controller | |
| The d- and q-axis voltage across the filter | |
| The d- and q-axis current references for the inner current PI controller | |
| The d- and q-axis current through the filter | |
| The current amplitude through the filter | |
| The d- and q-axis states for the integrator of the voltage and current PI controllers | |
| The d- and q-axis voltage reference and real values of the DC/AC converter | |
| The d- and q-axis states for the damping enhancement control | |
| The generated d- and q-axis voltage of the damping enhancement control which are added to the outer loop voltage reference | |
| The generated d- and q-axis voltage of the virtual impedance current-limiting control which are added to the outer loop voltage reference | |
| The generated virtual impedance resistor and reactance |
References
- Hatziargyriou, N.; Milanović, J.; Rahmann, C.; Ajjarapu, V.; Cañizares, C.; Erlich, I.; Hill, D.; Hiskens, I.; Kamwa, I.; Pal, B. Stability Definitions and Characterization of Dynamic Behavior in Systems with High Penetration of Power Electronic Interfaced Technologies; IEEE PES Technical Report PES-TR77; IEEE: Piscataway, NJ, USA, 2020. [Google Scholar]
- Rocabert, J.; Luna, A.; Blaabjerg, F.; Rodriguez, P. Control of power converters in AC microgrids. IEEE Trans. Power Electron. 2012, 27, 4734–4749. [Google Scholar] [CrossRef]
- Yu, M.; Roscoe, A.J.; Dyśko, A.; Booth, C.D.; Ierna, R.; Zhu, J.; Urdal, H. Instantaneous penetration level limits of non-synchronous devices in the British power system. IET Renew. Power Gener. 2017, 11, 1211–1217. [Google Scholar] [CrossRef]
- Zhao, X.; Thakurta, P.G.; Flynn, D. Grid-forming requirements based on stability assessment for 100% converter-based Irish power system. IET Renew. Power Gener. 2022, 16, 447–458. [Google Scholar] [CrossRef]
- Markovic, U.; Stanojev, O.; Aristidou, P.; Vrettos, E.; Callaway, D.; Hug, G. Understanding small-signal stability of low-inertia systems. IEEE Trans. Power Syst. 2021, 36, 3997–4017. [Google Scholar] [CrossRef]
- De Siqueira, J.C.G.; Bonatto, B.D.; Marti, J.R.; Hollman, J.A.; Dommel, H.W. A discussion about optimum time step size and maximum simulation time in EMTP-based programs. Int. J. Electr. Power Energy Syst. 2015, 72, 24–32. [Google Scholar] [CrossRef]
- Vorobev, P.; Huang, P.H.; Al Hosani, M.; Kirtley, J.L.; Turitsyn, K. High-fidelity model order reduction for microgrids stability assessment. IEEE Trans. Power Syst. 2017, 33, 874–887. [Google Scholar] [CrossRef]
- Gu, Y.; Bottrell, N.; Green, T.C. Reduced-order models for representing converters in power system studies. IEEE Trans. Power Electron. 2017, 33, 3644–3654. [Google Scholar] [CrossRef]
- Antoulas, A.C. Approximation of Large-Scale Dynamical Systems; SIAM: Philadelphia, PA, USA, 2005. [Google Scholar]
- Varga, A. Enhanced modal approach for model reduction. Math. Model. Syst. 1995, 1, 91–105. [Google Scholar] [CrossRef]
- Zhou, J.; Shi, P.; Gan, D.; Xu, Y.; Xin, H.; Jiang, C.; Xie, H.; Wu, T. Large-scale power system robust stability analysis based on value set approach. IEEE Trans. Power Syst. 2017, 32, 4012–4023. [Google Scholar] [CrossRef]
- Marinescu, B.; Mallem, B.; Rouco, L. Large-scale power system dynamic equivalents based on standard and border synchrony. IEEE Trans. Power Syst. 2010, 25, 1873–1882. [Google Scholar] [CrossRef]
- Campos, N.d.M.D.; Sarnet, T.; Kilter, J. Novel Gramian-based Structure-preserving Model Order Reduction for Power Systems with High Penetration of Power Converters. IEEE Trans. Power Syst. 2022. [Google Scholar] [CrossRef]
- Ghosh, S.; Isbeih, Y.J.; El Moursi, M.S.; El-Saadany, E.F. Cross-gramian model reduction approach for tuning power system stabilizers in large power networks. IEEE Trans. Power Syst. 2019, 35, 1911–1922. [Google Scholar] [CrossRef]
- Willcox, K.; Peraire, J. Balanced model reduction via the proper orthogonal decomposition. AIAA J. 2002, 40, 2323–2330. [Google Scholar] [CrossRef]
- Chinesta, F.; Ladeveze, P.; Cueto, E. A short review on model order reduction based on proper generalized decomposition. Arch. Comput. Methods Eng. 2011, 18, 395. [Google Scholar] [CrossRef]
- Chaniotis, D.; Pai, M. Model reduction in power systems using Krylov subspace methods. IEEE Trans. Power Syst. 2005, 20, 888–894. [Google Scholar] [CrossRef]
- Ali, H.R.; Pal, B.C. Model order reduction of multi-terminal direct-current grid systems. IEEE Trans. Power Syst. 2020, 36, 699–711. [Google Scholar] [CrossRef]
- Levron, Y.; Belikov, J. Reduction of power system dynamic models using sparse representations. IEEE Trans. Power Syst. 2017, 32, 3893–3900. [Google Scholar] [CrossRef]
- Grdenić, G.; Delimar, M.; Beerten, J. AC Grid Model Order Reduction Based on Interaction Modes Identification in Converter-Based Power Systems. IEEE Trans. Power Syst. 2022, 38, 2388–2397. [Google Scholar] [CrossRef]
- Scarciotti, G. Low computational complexity model reduction of power systems with preservation of physical characteristics. IEEE Trans. Power Syst. 2016, 32, 743–752. [Google Scholar] [CrossRef]
- Acle, Y.G.I.; Freitas, F.D.; Martins, N.; Rommes, J. Parameter preserving model order reduction of large sparse small-signal electromechanical stability power system models. IEEE Trans. Power Syst. 2019, 34, 2814–2824. [Google Scholar] [CrossRef]
- Ajala, O.; Baeckeland, N.; Johnson, B.; Dhople, S.; Domínguez-García, A. Model Reduction and Dynamic Aggregation of Grid-forming Inverter Networks. IEEE Trans. Power Syst. 2022. [Google Scholar] [CrossRef]
- Cossart, Q. Outils et Méthodes Pour L’analyse et la Simulation de Réseaux de Transport 100% Électronique de Puissance. Laboratoire d’Electrotechnique et d’Electronique de Puissance (L2EP) de Lille. Ph.D. Thesis, Hesam Université, Paris, France, 2019. [Google Scholar]
- Cossart, Q.; Colas, F.; Kestelyn, X. A Novel Event-and Non-Projection-Based Approximation Technique by State Residualization for the Model Order Reduction of Power Systems with a High Renewable Energies Penetration. IEEE Trans. Power Syst. 2020, 37, 3221–3229. [Google Scholar] [CrossRef]
- Pagola, F.L.; Perez-Arriaga, I.J.; Verghese, G.C. On sensitivities, residues and participations: Applications to oscillatory stability analysis and control. IEEE Trans. Power Syst. 1989, 4, 278–285. [Google Scholar] [CrossRef] [PubMed]
- Bottrell, N.; Green, T.C. Comparison of current-limiting strategies during fault ride-through of inverters to prevent latch-up and wind-up. IEEE Trans. Power Electron. 2013, 29, 3786–3797. [Google Scholar] [CrossRef]
- D’Arco, S.; Suul, J.A.; Fosso, O.B. Automatic tuning of cascaded controllers for power converters using eigenvalue parametric sensitivities. IEEE Trans. Ind. Appl. 2014, 51, 1743–1753. [Google Scholar] [CrossRef]
- Qoria, T.; Gruson, F.; Colas, F.; Guillaud, X.; Debry, M.-S.; Prevost, T. Tuning of cascaded controllers for robust grid-forming voltage source converter. In Proceedings of the Power Systems Computation Conference (PSCC), Dublin, Ireland, 11–15 June 2018; pp. 1–7. [Google Scholar]
- Kundur, P.S.; Malik, O.P. Power System Stability and Control; McGraw-Hill Education: New York, NY, USA, 1994. [Google Scholar]
- Pérez-Arriaga, I.J.; Verghese, G.C.; Schweppe, F.C. Selective modal analysis with applications to electric power systems, Part I: Heuristic introduction. IEEE Trans. Power Appar. Syst. 1982, PAS-101, 3117–3125. [Google Scholar] [CrossRef]
- Lee, K.Y.; El-Sharkawi, M.A. Modern Heuristic Optimization Techniques: Theory and Applications to Power Systems; John Wiley & Sons: Hoboken, NJ, USA, 2008; Volume 39. [Google Scholar]
- Cossart, Q.; Colas, F.; Kestelyn, X. A priori error estimation of the structure-preserving modal model reduction by state residualization of a grid forming converter for use in 100% power electronics transmission systems. In Proceedings of the 15th IET International Conference on AC and DC Power Transmission (ACDC 2019), Coventry, UK, 5–7 February 2019. [Google Scholar]
- Grainger, J.J. Power System Analysis; McGraw-Hill: New York, NY, USA, 1999. [Google Scholar]
- Pai, A. Energy Function Analysis for Power System Stability; Springer Science & Business Media: Berlin/Heidelberg, Germany, 1989. [Google Scholar]
- Fritzson, P. Principles of Object-Oriented Modeling and Simulation with Modelica 3.3: A Cyber-Physical Approach; John Wiley & Sons: Hoboken, NJ, USA, 2014. [Google Scholar]













| Parameters | Values (pu) | Parameters | Values (pu) |
|---|---|---|---|
| 0.005, 0.15, 0.066 | 0.52, 1.16, 0.74, 1.19 | ||
| 0.02, 0.0001, | 1 | ||
| 31.4 rad/s | 0.67, 5 |
| Case | Number of Groups |
|---|---|
| Case 1 | 23 |
| Case 2 | 21 |
| Case 3 | 29 |
| Case | Retained State Variables (The Remainder Are Residualised) | MOR Order |
|---|---|---|
| Case 1 | All state variables for G4 and G5, except for G5 | 53 |
| for the remaining GFMs | ||
| Branch B16–19, transformers T20–34, T20–34 and T19–20, load L20 | ||
| Case 2 | All state variables for G4 and G5, except for G5 | 101 |
| for the remaining GFMs | ||
| Branch B16–19, transformers T20–34, T20–34 and T19–20, load L20 | ||
| Case 3 | All state variables for G9 | 112 |
| for the remaining GFMs | ||
| Branches B26–29, B26–28, B28–29, transformer T29–38, loads L29, L28 |
| Case | Phasor Model | State Residualisation Reduced Model |
|---|---|---|
| Case 1 | ||
| Case 2 | ||
| Case 3 |
| Case | Full EMT Model | Phasor Model | MOR by State Residualisation and Kron Reduction |
|---|---|---|---|
| Case 1 | 100% | 25.3% | 21.6% (order 53) |
| Case 2 | 100% | 63.9% | 54.1% (order 101) |
| Case 3 | 100% | 81.8% | 65.4% (order 112) |
Disclaimer/Publisher’s Note: The statements, opinions and data contained in all publications are solely those of the individual author(s) and contributor(s) and not of MDPI and/or the editor(s). MDPI and/or the editor(s) disclaim responsibility for any injury to people or property resulting from any ideas, methods, instructions or products referred to in the content. |
© 2023 by the authors. Licensee MDPI, Basel, Switzerland. This article is an open access article distributed under the terms and conditions of the Creative Commons Attribution (CC BY) license (https://creativecommons.org/licenses/by/4.0/).
Share and Cite
Zhao, X.; Kestelyn, X.; Cossart, Q.; Colas, F.; Flynn, D. State Residualisation and Kron Reduction for Model Order Reduction of Energy Systems. Appl. Sci. 2023, 13, 6593. https://doi.org/10.3390/app13116593
Zhao X, Kestelyn X, Cossart Q, Colas F, Flynn D. State Residualisation and Kron Reduction for Model Order Reduction of Energy Systems. Applied Sciences. 2023; 13(11):6593. https://doi.org/10.3390/app13116593
Chicago/Turabian StyleZhao, Xianxian, Xavier Kestelyn, Quentin Cossart, Frédéric Colas, and Damian Flynn. 2023. "State Residualisation and Kron Reduction for Model Order Reduction of Energy Systems" Applied Sciences 13, no. 11: 6593. https://doi.org/10.3390/app13116593
APA StyleZhao, X., Kestelyn, X., Cossart, Q., Colas, F., & Flynn, D. (2023). State Residualisation and Kron Reduction for Model Order Reduction of Energy Systems. Applied Sciences, 13(11), 6593. https://doi.org/10.3390/app13116593

