Magnetocaloric Properties and Critical Behaviour of the Sm2Ni17 Compound
Abstract
1. Introduction
2. Experiments
3. Results and Discussion
3.1. Structural Properties
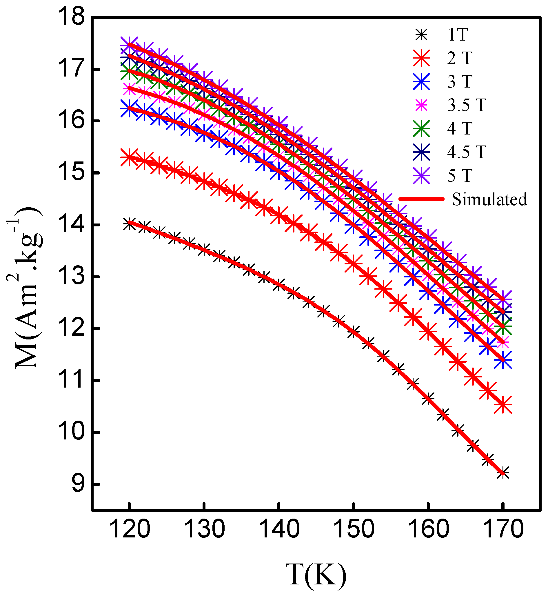
3.2. FM–PM Transition
3.3. Magnetocaloric Properties of SmNi
3.4. Critical Phenomenon and Spin Interaction
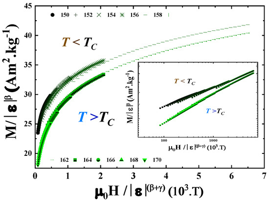
3.4.1. Arrott Plot
3.4.2. Kouvel–Fisher Plot
| Composition | Technique | Ref. | ||||
|---|---|---|---|---|---|---|
| SmNi | MAP | 160.6(1) | 0.26(1) | 1.38(9) | 6.36(6) | Our Work |
| KF | 160.5(2) | 0.25(1) | 1.39(6) | 6.50(4) | ||
| CI | 160 | 6.64(2) | ||||
| Mean-field | Theory | - | 1 | 3 | [71] | |
| 3D Heisenberg | Theory | - | 0.37(1) | 1.39(1) | 4.80(4) | [71] |
| 3D Ising | Theory | - | 0.33(1) | 1.24(1) | 4.82(2) | [71] |
| 3D XY | Theory | - | 0.35 | 1.32 | 4.81 | [71] |
| Tricritical mean-field | Theory | - | 0.25 | 1 | 5 | [71] |
| PrFeAl | MAP | 357.5 | 0.37(1) | 1.34(1) | 4.62(3) | [72] |
| KF | 358.1 | 0.37(1) | 1.35(1) | 4.67(1) | ||
| CI | 358 | 4.72(2) | ||||
| SmNiFe | MAP | 0.38(1) | 1.30(1) | 4.45(4) | [73] | |
| KF | 239.8 | 0.38(1) | 1.30(1) | 4.43(8) | ||
| CI | 239 | 4.63(3) | ||||
| CeCoB | MAP | 128 | 0.39(1) | 1.39(1) | 4.60 | [74] |
| KF | 128 | 0.37(1) | 1.38(1) | 4.77 |
3.4.3. Spin Interaction
4. Conclusions
Author Contributions
Funding
Institutional Review Board Statement
Informed Consent Statement
Data Availability Statement
Acknowledgments
Conflicts of Interest
References
- Giauque, W.F.; MacDougall, D.P. Attainment of Temperatures Below 1° Absolute by Demagnetization of Gd2(SO4)3·8 H2O. Phys. Rev. 1933, 43, 768. [Google Scholar] [CrossRef]
- Weiss, P.; Piccard, A. Le phénomène magnétocalorique. J. Phys. Theor. Appl. 1917, 7, 103–109. [Google Scholar] [CrossRef]
- Nikitin, S.A.; Myalikgulyev, G.; Tishin, A.M.; Annaorazov, M.P.; Asatryan, K.A.; Tyurin, A.L. The magnetocaloric effect in Fe49Rh51 compound. Phys. Lett. A 1990, 148, 363–366. [Google Scholar] [CrossRef]
- Pecharsky, V.K.; Gschneidner, K.A., Jr. Giant magnetocaloric effect in Gd5(Si2Ge2). Phys. Rev. Lett. 1997, 78, 4494. [Google Scholar] [CrossRef]
- Pecharsky, V.K.; Gschneidner, K.A., Jr. Effect of alloying on the giant magnetocaloric effect of Gd5(Si2Ge2). Phys. Rev. Lett. 1997, 167, L179–L184. [Google Scholar] [CrossRef]
- Gschneidner, K.A.; Pecharsky, V.K.; Brück, E.; Duijn, H.G.M.; Levin, E.M. Comment on “Direct Measurement of the ‘Giant’ Adiabatic Temperature Change in Gd5Si2Ge2”. Phys. Rev. Lett. 2000, 85, 4190. [Google Scholar] [CrossRef] [PubMed]
- Tang, H.; Pecharsky, V.K.; Samolyuk, G.D.; Zou, M.; Gschneidner, K.A., Jr.; Antropov, V.P.; Schlagel, D.L.; Lograsso, T.A. Anisotropy of the Magnetoresistance in Gd5Si2Ge2. Phys. Rev. Lett. 2004, 93, 237203. [Google Scholar] [CrossRef]
- Tegus, O.; Fuquan, B.; Dagula, W.; Zhang, L.; Brück, E.; Si, P.Z.; De Boer, F.R.; Buschow, K.H.J. Magnetic-entropy change in Mn1.1Fe0.9P0.7As0.3−xGex. J. Alloys Compd. 2005, 396, 6–9. [Google Scholar] [CrossRef]
- Bartok, A.; Kuepferling, M.; Curcio, C.; Basso, V.; Pasko, A.; Zehani, K.; Bessais, L.; Mazaleyrat, F.; Lobue, M. Influence of particle size on the magnetocaloric properties of Mn1.30Fe0.65P0.5Si0.5 powders. In Proceedings of the 7th International Conference on Magnetic Refrigeration at Room Temperature (Thermag VII), Turin, Italy, 11–14 September 2016; Volume 400, pp. 333–338. [Google Scholar]
- Bartok, A.; Kustov, M.; Cohen, L.F.; Pasko, A.; Zehani, K.; Bessais, L.; Mazaleyrat, F.; Lobue, M. Study of the first paramagnetic to ferromagnetic transition in as prepared samples of Mn–Fe–P–Si magnetocaloric compounds prepared by different synthesis routes. J. Magn. Magn. Mater. 2016, 400, 333–338. [Google Scholar] [CrossRef]
- Pasko, A.; Bartok, A.; Zehani, K.; Bessais, L.; Mazaleyrat, F.; Lobue, M. X-ray diffraction analysis of the magnetoelastic phase transition in the Mn-Fe-P-Si magnetocaloric alloy. AIP Adv. 2016, 6, 056204. [Google Scholar] [CrossRef]
- Dinesen, A.R.; Linderoth, S.; Mørup, S. Direct and indirect measurement of the magnetocaloric effect in La0.67Ca0.33−xSrxMnO3±δ. J. Phys. Condens. Matter. 2005, 6, 056204. [Google Scholar] [CrossRef]
- Zhong, W.; Au, C.-T.; Du, Y.-W. Review of magnetocaloric effect in perovskite-type oxides. Chin. Phys. B 2013, 22, 057501. [Google Scholar] [CrossRef]
- Felhi, H.; Smari, M.; Bajorek, A.; Nouri, K.; Dhahri, E.; Bessais, L. Controllable synthesis, XPS investigation and magnetic property of multiferroic BiMn2O5 system: The role of neodymium doping. Chin. Phys. B 2019, 29, 198–209. [Google Scholar] [CrossRef]
- Ameur, N.; Elleuch, F.; Triki, M.; Dhahri, E.; Bessais, L.; Hlil, E.K. Effect of A-site deficiency on the structural and magnetic properties of La0.8−x□xNa0.2−x□xMnO3 oxides and estimation of the magnetocaloric behavior. Solid State Commun. 2019, 29, 198–209. [Google Scholar] [CrossRef]
- Guo, D.; Moreno-Ramírez, L.M.; Law, J.Y.; Zhang, Y.; Franco, V. Excellent cryogenic magnetocaloric properties in heavy rare-earth based HRENiGa2 (HRE = Dy, Ho, or Er) compounds. Sci. China Mater. 2023, 66, 249–256. [Google Scholar] [CrossRef]
- Zhang, Y.; Tian, Y.; Zhang, Z.; Jia, Y.; Zhang, B.; Jiang, M.; Wang, J.; Ren, Z. Magnetic properties and giant cryogenic magnetocaloric effect in B-site ordered antiferromagnetic Gd2MgTiO6 double perovskite oxide. Acta Mater. 2023, 226, 117669. [Google Scholar] [CrossRef]
- Zhang, Y.; Xu, P.; Zhu, J.; Yan, S.; Zhang, J.; Li, L. The emergence of considerable room temperature magnetocaloric performances in the transition metal high-entropy alloys. Mater. Today Phys. 2023, 32, 101031. [Google Scholar] [CrossRef]
- Zeng, Y.; Lu, Z.; Tang, N.; Li, X.; Zhao, R.W.; Yang, F.M. Structural, magnetic and microscopic physical properties of (Sm,Pr)2Fe17 and their nitrides. J. Magn. Magn. Mater. 1995, 139, 11–18. [Google Scholar]
- Younsi, K.; Russier, V.; Bessais, L. Structure and magnetic properties of nanocrystalline PrCo3 compound. J. Appl. Phys. 2010, 107, 083916. [Google Scholar] [CrossRef]
- Bouzidi, W.; Mliki, N.; Bessais, L. Structural and magnetic properties of new uniaxial nanocrystalline Pr5Co19 compound. J. Magn. Magn. Mater. 2017, 441, 566–571. [Google Scholar] [CrossRef]
- Srinithi, A.K.; Sepehri-Amin, H.; Tang, X.; Tozman, P.; Li, J.; Zhang, J.; Kobayashi, S.; Ohkubo, T.; Nakamura, T.; Hono, K. Phase relations and extrinsic magnetic properties of Sm–(Fe,Co)–Ti– (Ga)-based alloys for ThMn12-type permanent magnets. J. Magn. Magn. Mater. 2021, 529, 167866. [Google Scholar] [CrossRef]
- Fujieda, S.; Fujita, A.; Fukamichi, K. Large magnetocaloric effect in La(FexSi1−x)13 itinerant-electron metamagnetic compounds. App. Phys. Lett. 2002, 81, 1276–1278. [Google Scholar] [CrossRef]
- Fujieda, S.; Fujita, A.; Fukamichi, K. Relative cooling power of La(FexSi1−x)13 after controlling the Curie temperature by hydrogenation and partial substitution of Ce. J. Magn. Magn. Mater. 2007, 310, e1006–e1007. [Google Scholar] [CrossRef]
- Boutahar, A.; Phejar, M.; Paul-Boncour, V.; Bessais, L.; Lassri, H. Theoretical work in magnetocaloric effect of LaFe13−xSix compounds. J. Supercond. Nov. Magn. 2014, 27, 1795–1800. [Google Scholar] [CrossRef]
- Phejar, M.; Paul-Boncour, V.; Bessais, L. Investigation on Structural and Magnetocaloric Properties of LaFe13−xSix(H,C)y Compounds. J. Solid State Chem. 2016, 16, 95–102. [Google Scholar] [CrossRef]
- Phejar, M.; Paul-Boncour, V.; Bessais, L. Structural and magnetic properties of magnetocaloric LaFe13−xSix compounds synthesized by high energy ball-milling. Intermetallics 2016, 18, 2301. [Google Scholar] [CrossRef]
- Dan’Kov, S.Y.; Ivtchenko, V.V.; Tishin, A.M.; Gschneidner, K.A.; Pecharsky, V.K. Magnetocaloric Effect in GdAl2 and Nd2Fe17. Adv. Cryog. Eng. 2000, 46, 397–404. [Google Scholar]
- Tishin, A.M.; Spichkin, Y.I. The Magnetocaloric Effect and Its Applications, 1st ed.; Institute of Physics Publishing: Bristol, UK, 2003; ISBN 9780429141379. [Google Scholar]
- Mandal, K.; Yan, A.; Kerschl, P.; Handstein, A.; Gutfleisch, O.; Müller, K.H. The study of magnetocaloric effect in R2Fe17 (R= Y, Pr) alloys. J. Phys. D Appl. Phys. 2004, 37, 2628. [Google Scholar] [CrossRef]
- Chen, H.; Zhang, Y.; Han, J.; Du, H.; Wang, C.; Yang, Y. Magnetocaloric effect in R2Fe17 (R = Sm, Gd, Tb, Dy, Er). J. Magn. Magn. Mater. 2008, 320, 1382–1384. [Google Scholar] [CrossRef]
- Gorria, P.; Álvarez, P.; Marcos, J.S.; Llamazares, J.L.S.; Pérez, M.J.; Blanco, J.A. Crystal structure, magnetocaloric effect and magnetovolume anomalies in nanostructured Pr2Fe17. Act. Mater. 2009, 57, 1724–1733. [Google Scholar] [CrossRef]
- Alvarez, P.; Gorria, P.; Franco, V.; Marcos, J.S.; Perez, M.J.; Sanchez-Llamazares, J.; Puente-Orench, I.; Blanco, J.J. Nanocrystalline Nd2Fe17 synthesized by high-energy ball milling: Crystal structure, microstructure and magnetic properties. J. Phys. Condens. Mater. 2010, 22, 216005. [Google Scholar] [CrossRef]
- Saidi, M.; Nouri, K.; Walha, S.; Dhahri, E.; Kabadou, A.; Jemmali, M.; Bessais, L. Structural, Magnetic, Magnetocaloric and Mössbauer Spectrometry Study of Gd2Fe17−xCux (x = 0, 0.5, 1 and 1.5) Compounds. J. Electron. Mater. 2019, 48, 2242–2253. [Google Scholar] [CrossRef]
- Bouzidi, W.; Nouri, K.; Bartoli, T.; Sedek, R.; Lassri, H.; Moscovici, J.; Bessais, L. Study of the magnetic and magnetocaloric properties at low-field in Nd2Fe17−xSix intermetallics. J. Magn. Magn. Mater. 2020, 497, 166018. [Google Scholar] [CrossRef]
- Carfagna, P.D.; Wallace, W.E. Magnetic Characteristics of 2–17 Lanthanide-Nickel Compounds. J. Appl. Phys. 1968, 39, 5259–5262. [Google Scholar] [CrossRef]
- Zhong, X.P.; de Boer, F.R.; Jacobs, T.H.; Buschow, K.H.J. Magnetic coupling in rare-earth compounds of type R2Ni17. J. Magn. Magn. Mater. 1990, 92, 46–52. [Google Scholar] [CrossRef]
- Moze, O.; Cadogan, J.M.; Kennedy, S.J.; Buschow, K.H.J. Magnetic order in R2Ni17 intermetallics: A neutron-diffraction investigation. Physica B 2002, 319, 35–44. [Google Scholar] [CrossRef]
- Banerjee, D.; Kumar, P.; Suresh, K.G.; Nigam, A.K. Anomalous magnetic and magnetocaloric properties of Er2Ni17. J. Phys. D Appl. Phys. 2007, 40, 2691–2694. [Google Scholar] [CrossRef]
- Osterreicher, H.; Parker, F.T. Magnetic cooling near Curie temperatures above 300 K. J. Appl. Phys. 1984, 55, 4334. [Google Scholar] [CrossRef]
- Jin, S.G.; Liu, L.M.; Wang, Y.L.; Chen, B.X. Research for room-temperature magnetic refrigerants in RxCe2−xFe17 series. J. Appl. Phys. 1991, 70, 6275. [Google Scholar] [CrossRef]
- Pawlik, K.; Skorvanek, I.; Kovac, J.; Pawlik, P.; Wyslacki, J.J.; Bodak, O.I. Phase structure and magnetocaloric effect in binary Pr–Fe alloys. J. Magn. Magn. Mater. 2006, 304, e510. [Google Scholar] [CrossRef]
- Gschneidner, K.A., Jr.; Pecharsky, V.K.; Tsokol, A.O. Recent developments in magnetocaloric materials. Rep. Prog. Phys. 2005, 68, 1479. [Google Scholar] [CrossRef]
- Mikheev, M.; Iwasieczko, W.; Platonov, S.P. The magnetocaloric effect in R2Fe17 intermetallics with different types of magnetic phase transition. Low Temp. Phys. 2015, 41, 985. [Google Scholar]
- Bessais, L.; Dorolti, E.; Djega-Mariadassou, C. High coercivity in nanocrystalline carbides Sm (Fe, Ga)9 C. Appl. Phys. Lett. 2005, 87, 192503. [Google Scholar] [CrossRef]
- Khazzan, S.; Mliki, N.; Bessais, L.; Djega-Mariadassou, C. Rare-earth iron-based intermetallic compounds and their carbides: Structure and magnetic behaviors. J. Magn. Magn. Mater. 2010, 322, 224–229. [Google Scholar] [CrossRef]
- Bensalem, R.; Tebib, W.; Alleg, S.; Sunol, J.J.; Bessais, L.; Greneche, J.M. Magnetic properties of nanostructured Fe92P8 powder mixture. J. Alloys Compd. 2009, 471, 24–27. [Google Scholar] [CrossRef]
- Hamrita, A.; Slimani, Y.; Salem, M.K.B.; Hannachi, E.; Bessais, L.; Azzouz, F.B.; Salem, M.B. Superconducting properties of polycrystalline YBa2Cu3O7−d prepared by sintering of ball-milled precursor powder. Ceram. Int. 2014, 40, 1461–1470. [Google Scholar] [CrossRef]
- Rietveld, H.M. Line profiles of neutron powder-diffraction peaks for structure refinement. Acta Crystallogr. 1967, 22, 151–152. [Google Scholar] [CrossRef]
- Rietveld, H.M. A Profile Refinement Method for Nuclear and Magnetic Structures. J. Appl. Crystallogr. 1969, 2, 65–71. [Google Scholar] [CrossRef]
- Rodríguez-Carvajal, J. Recent advances in magnetic structure determination by neutron powder diffraction. J. Phys. B 1993, 192, 55–69. [Google Scholar] [CrossRef]
- Nouri, K.; Jemmali, M.; Walha, S.; Zehani, K.; Bessais, L.; Salah, A.B. The isothermal section phase diagram of the Sm-Fe-Ni ternary system at 800 °C. J. Alloys Compd. 2016, 661, 508–515. [Google Scholar] [CrossRef]
- Pramanik, A.K.; Banerjee, A. Phase separation and the effect of quenched disorder in Pr0.5Sr0.5MnO3. J. Phys. Condens. Matter 2008, 20, 275207. [Google Scholar] [CrossRef]
- Li, Z.W.; Morrish, A.H. Negative exchange interactions and Curie temperatures for Sm2Fe17 and Sm2Fe17. Phys. Rev. B 1997, 55, 3670–3676. [Google Scholar] [CrossRef]
- Foldeaki, M.; Chahine, R.; Bose, T.K. Magnetic measurements: A powerful tool in magnetic refrigerator design. J. Appl. Phys. 1995, 77, 3528–3537. [Google Scholar] [CrossRef]
- Hamad, M.A. Theoretical work on magnetocaloric effect in La0.75Ca0.25MnO3. Adv. Ceram. 2012, 1, 290–295. [Google Scholar] [CrossRef]
- Griffith, L.D.; Mudryk, Y.; Slaughter, J.; Pecharsky, V.K. Material-based figure of merit for caloric materials. J. Appl. Phys. 2018, 123, 034902. [Google Scholar] [CrossRef]
- Nouri, K.; Jemmali, M.; Walha, S.; Zehani, K.; Ben Salah, A.; Bessais, L. Structural, atomic Hirschfeld surface, magnetic and magnetocaloric properties of SmNi5 compound. J. Alloys Compd. 2016, 672, 440–448. [Google Scholar] [CrossRef]
- Fersi, R.; Bouzidi, W.; Mliki, N.; Bessais, L. Effect of stacking blocks on the low field magnetic refrigeration in nanocrystalline Pr2Co7 compound. Intermetallics 2018, 100, 181–187. [Google Scholar] [CrossRef]
- Bouzidi, W.; Mliki, N.; Bessais, L. Second-Order Magnetic Transition and Low Field Magnetocaloric Effect in Nanocrystalline Pr5Co19 Compound. J. Electron. Mater. 2018, 47, 2776–2781. [Google Scholar] [CrossRef]
- Sharma, M.K.; Kumar, A.; Kumari, K.; Park, S.J.; Yadav, N.; Huh, S.H.; Koo, B.H. Structural, Magnetic, and Magnetocaloric Studies of Ball-Milled Fe100−xTx (T = Ni and Mn) Alloy. Appl. Sci. 2022, 12, 9098. [Google Scholar] [CrossRef]
- Saidi, M.; Bessais, L.; Jemmali, M. Review of the influence of copper and chromium substitution on crystal structure, magnetic properties and magnetocaloric effect of GdFe2−x(Cu, Cr)x (x = 0, 0.1, 0.15 and 0.2) intermetallic compounds. J. Phys. Chem. Solids 2022, 160, 110343. [Google Scholar] [CrossRef]
- Jaballah, H.; Charbonnier, V.; Bessais, L.; Mliki, N. Investigation of Spin Reorientation and Magnetocaloric Behavior in PrCo5−xCux Compounds. Mater. Res. Bull. 2023, 165, 112326. [Google Scholar] [CrossRef]
- Banerjee, B.K. On a generalised approach to first and second order magnetic transitions. Phys. Lett. 1964, 2, 16–17. [Google Scholar] [CrossRef]
- Pramanik, A.K.; Banerjee, A. Critical behavior at paramagnetic to ferromagnetic phase transition in Pr0.5Sr0.5MnO3: A bulk magnetization study. Phys. Rev. B 2009, 79, 214426. [Google Scholar] [CrossRef]
- Arrott, A.; Noakes, J.E. Approximate equation of state for nickel near its critical temperature. Phys. Rev. Lett. 1967, 19, 786. [Google Scholar] [CrossRef]
- Liu, Y.; Koch, R.J.; Hu, Z.; Aryal, N.; Stavitski, E.; Tong, X.; Attenkofer, K.; Bozin, E.S.; Yin, W.; Petrovic, C. Three-dimensional Ising ferrimagnetism of Cr-Fe-Cr trimers in FeCr2Te4. Phys. Rev. B 2020, 102, 085158. [Google Scholar] [CrossRef]
- Kouvel, J.S.; Fisher, M.E. Detailed magnetic behavior of nickel near its Curie point. Phys. Rev. 1964, 136, A1626. [Google Scholar] [CrossRef]
- Fisher, M.E. The theory of equilibrium critical phenomena. Rep. Prog. Phys. 1967, 30, 615. [Google Scholar] [CrossRef]
- Widom, B. Equation of state in the neighborhood of the critical point. J. Chem. Phys. 1965, 43, 3898–3905. [Google Scholar] [CrossRef]
- Zhang, L.; Menzel, D.; Jin, C.; Du, H.; Ge, M.; Zhang, C.; Pi, L.; Tian, M.; Zhang, Y. Critical behavior of the single-crystal helimagnet MnSi. Phys. Rev. B 2015, 91, 024403. [Google Scholar] [CrossRef]
- Jaballah, H.; Guetari, R.; Mliki, N.; Bessais, L. Magnetic properties, critical behavior and magnetocaloric effect in the nanocrystalline Pr2Fe16Al. J. Phys. Chem. Solids 2022, 169, 024403. [Google Scholar] [CrossRef]
- Jaballah, H.; Nouri, K.; Mliki, N.; Bessais, L.; Jemmali, M. Universality class change from Mean-Field to 3D-Heisenberg in magnetocaloric compounds SmNi3−xFex. Chem. Phys. Lett. 2022, 787, 139260. [Google Scholar] [CrossRef]
- Ma, Z.; Xu, P.; Ying, J.; Zhang, Y.; Li, L. Insight into the structural and magnetic properties of RECo12B6 (RE = Ce, Pr, Nd) compounds: A combined experimental and theoretical investigation. Acta Mater. 2023, 247, 118757. [Google Scholar] [CrossRef]
- Fischer, S.F.; Kaul, S.N.; Kronmüller, H. Critical magnetic properties of disordered polycrystalline Cr75Fe25 and Cr70Fe30 alloys. Phys. Rev. B 2002, 65, 064443. [Google Scholar] [CrossRef]
- Fisher, M.E.; Ma, S.K.; Nickel, B.G. Critical exponents for long-range interactions. Phys. Rev. Lett. 1972, 29, 917. [Google Scholar] [CrossRef]













| Compound | (T) | J(K·kg) | RCP J·kg | Ref. |
|---|---|---|---|---|
| SmNi | 5 | 0.7 | ∼37 | This Work |
| ErNi | 5 | ∼0.6 | ∼24 | [39] |
| SmNi | 5 | 5 | 26.85 | [58] |
| PrCo | 1.5 | 1.1 | 18.5 | [59] |
| PrCo | 1.5 | 5 | 18.2 | [60] |
| FeNi | 3 | 0.35 | ∼18 | [61] |
| GdFe | 1.5 | 0.79 | 13.3 | [62] |
| PrCoCu | 4 | 0.7 | ∼128 | [63] |
| d | n | |||||
|---|---|---|---|---|---|---|
| 3 | 1 | 2.0794 | 0.6665 | 0.00039 | 0.3068 | 5.5175 |
| 2 | 1.9902 | 0.6964 | −0.0892 | 0.3516 | 4.9419 | |
| 3 | 1.9376 | 0.7153 | −0.1459 | 0.3799 | 4.6476 | |
| 2 | 1 | 1.3717 | 1.0104 | −0.0208 | 0.3174 | 5.3666 |
| 2 | 1.3158 | 1.0532 | −0.1065 | 0.3602 | 4.8468 | |
| 3 | 1.2828 | 1.0804 | −0.1608 | 0.3874 | 4.5773 | |
| 1 | 1 | 0.6819 | 2.0324 | −0.0324 | 0.3232 | 5.2879 |
| 2 | 0.6549 | 2.1162 | −0.1162 | 0.3651 | 4.7961 | |
| 3 | 0.6389 | 2.1691 | −0.1691 | 0.3915 | 4.5393 |
Disclaimer/Publisher’s Note: The statements, opinions and data contained in all publications are solely those of the individual author(s) and contributor(s) and not of MDPI and/or the editor(s). MDPI and/or the editor(s) disclaim responsibility for any injury to people or property resulting from any ideas, methods, instructions or products referred to in the content. |
© 2023 by the authors. Licensee MDPI, Basel, Switzerland. This article is an open access article distributed under the terms and conditions of the Creative Commons Attribution (CC BY) license (https://creativecommons.org/licenses/by/4.0/).
Share and Cite
Horcheni, J.; Nouri, K.; Jaballah, H.; Bessais, L.; Dhahri, E.; Jemmali, M. Magnetocaloric Properties and Critical Behaviour of the Sm2Ni17 Compound. Appl. Sci. 2023, 13, 6575. https://doi.org/10.3390/app13116575
Horcheni J, Nouri K, Jaballah H, Bessais L, Dhahri E, Jemmali M. Magnetocaloric Properties and Critical Behaviour of the Sm2Ni17 Compound. Applied Sciences. 2023; 13(11):6575. https://doi.org/10.3390/app13116575
Chicago/Turabian StyleHorcheni, Jihed, Kamal Nouri, Hamdi Jaballah, Lotfi Bessais, Essebti Dhahri, and Mosbah Jemmali. 2023. "Magnetocaloric Properties and Critical Behaviour of the Sm2Ni17 Compound" Applied Sciences 13, no. 11: 6575. https://doi.org/10.3390/app13116575
APA StyleHorcheni, J., Nouri, K., Jaballah, H., Bessais, L., Dhahri, E., & Jemmali, M. (2023). Magnetocaloric Properties and Critical Behaviour of the Sm2Ni17 Compound. Applied Sciences, 13(11), 6575. https://doi.org/10.3390/app13116575

