A Soybean Classification Method Based on Data Balance and Deep Learning
Abstract
1. Introduction
2. Material and Data Collection
2.1. Vision System and Image Acquisition
2.2. Image Preprocessing
2.3. Data-Augmentation Processing
2.4. Focal-Loss Function and Label-Smoothing
2.4.1. Focal-Loss Function Principle
2.4.2. Label-Smoothing Principle
2.5. Convolutional Neural Networks
2.6. DenseNet Neural Network Model
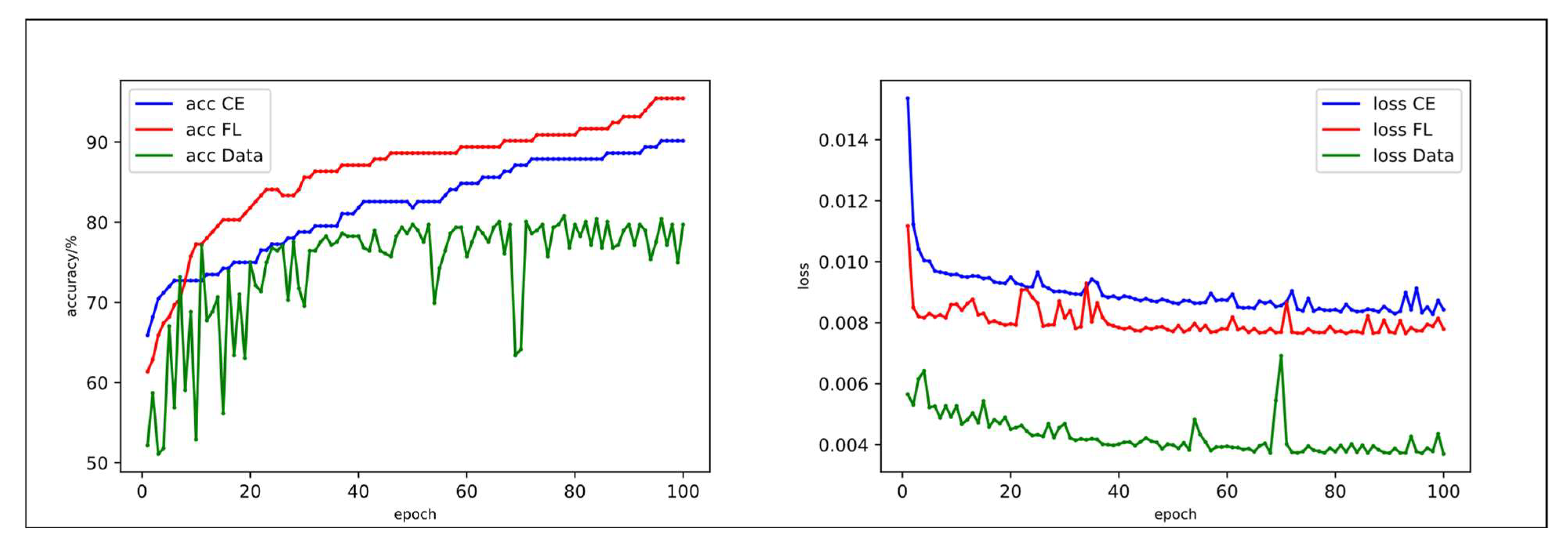
3. Results and Discussion
3.1. Experimental Data
3.2. Data Analysis
3.3. Data Analysis and Demonstration
4. Conclusions
Author Contributions
Funding
Institutional Review Board Statement
Informed Consent Statement
Data Availability Statement
Conflicts of Interest
References
- Li, Y. Progress in Soybean Processing. Soybean Sci. Technol. 2022, 176, 14–26. [Google Scholar]
- Chen, P.; Hua, L.; Wang, W.; Bao, H.; Wang, D.; Chen, J.; Huang, T. Correlation analysis between the internal quality of imported soybeans and their appearance quality traits. Chin. Oil 2011, 36, 30–32. [Google Scholar]
- Chen, W.; Li, W.; Li, Z. Progress in Machine Vision Based Quality Testing of Grain Appearance. J. Henan Univ. Technol. (Nat. Sci. Ed.) 2022, 43, 118–128. [Google Scholar]
- Wu, G.; Wu, Y.; Chen, D.; Li, B.; Zhen, Y. Measurement of ear trait parameters of maize based on machine vision. J. Agric. Mach. 2020, 51, 357–365. [Google Scholar]
- Xie, W.; Wei, S.; Wang, F.; Yang, G.Z.; Ding, X.; Yang, D. Identification of Carrot Surface Defects Based on Machine Vision. J. Agric. Mach. 2020, 51, 450–456. [Google Scholar]
- Wang, Q.; Mei, L.; Ma, M.; Gao, S.; Li, Q. Non-destructive detection and grading of preserved eggs using machine vision and near-infrared spectroscopy. J. Agric. Eng. 2019, 35, 314–321. [Google Scholar]
- Lin, P.; He, J.; Zou, Z.; Chen, Y. Discriminant method of soybean appearance quality based on the visible spectrum. J. Opt. 2019, 39, 208–215. [Google Scholar]
- Yang, B.; Zhong, J. Review of research progress of convolutional neural networks. J. Univ. South China (Nat. Sci. Ed.) 2016, 30, 66–72. [Google Scholar]
- Chen, C.; Qi, F. Development of Convolutional Neural Networks and Their Applications in the Field of Computer Vision. Comput. Sci. 2019, 46, 63–73. [Google Scholar]
- Gao, Q.; Ni, J.; Yang, H.; Han, Z. The visual detection method of pistachio fruit quality based on data balance and deep learning. J. Agric. Mach. 2021, 52, 367–372. [Google Scholar]
- Guo, Z.; Zheng, H.; Xu, X.; Ju, J.; Zheng, Z.; You, C.; Gu, Y. Quality grading of jujubes using composite convolutional neural networks in combination with RGB color space segmentation and deep convolutional generative adversarial networks. J. Food Process Eng. 2020, 44, e13620. [Google Scholar]
- Ünal, Z.; Aktaş, H. Classification of hazelnut kernels with deep learning. Postharvest Biol. Technol. 2023, 197, 112225. [Google Scholar] [CrossRef]
- Xie, W.; Ding, Y.; Wang, F.; Wei, S.; Yang, D. Integrity Identification of Camellia oleifera Seeds Based on Convolutional Neural Network. J. Agric. Mach. 2020, 51, 13–21. [Google Scholar]
- Gulzar, Y.; Hamid, Y.; Soomro, A.B.; Alwan, A.A.; Journaux, L. A Convolution Neural Network-Based Seed Classification System. Symmetry 2020, 12, 2018. [Google Scholar] [CrossRef]
- Sirjani, N.; Oghli, M.G.; Tarzamni, M.K.; Gity, M.; Shabanzadeh, A.; Ghaderi, P.; Shiri, I.; Akhavan, A.; Faraji, M.; Taghipour, M. A novel deep learning model for breast lesion classification using ultrasound Images: A multicenter data evaluation. Phys. Med. 2023, 107, 102560. [Google Scholar] [CrossRef] [PubMed]
- Senturk, Z.K. From signal to image: An effective preprocessing to enable deep learning-based classification of ECG. Mater. Today Proc. 2022, 81, 1–9. [Google Scholar]
- Agnihotri, A.; Kohli, N. Challenges, opportunities, and advances related to COVID-19 classification based on deep learning. Data Sci. Manag. 2023, 6, 98–109. [Google Scholar] [CrossRef]
- Xiong, J.; Dai, S.; Chu, J.; Lin, X.; Huang, Q.; Yang, Z. Deep learning-based detection method for leaf deficiency symptoms in soybean growing period. J. Agric. Mach. 2020, 51, 195–202. [Google Scholar]
- Guo, W.; Feng, Q.; Li, X. Research progress of convolutional neural network model based on crop disease detection and recognition. Chin. J. Agric. Mach. Chem. 2022, 43, 157–166. [Google Scholar]
- Gómez-Zamanillo, L.; Bereciartua-Pérez, A.; Picón, A.; Parra, L.; Oldenbuerger, M.; Navarra-Mestre, R.; Klukas, C.; Eggers, T.; Echazarra, J. Damage assessment of soybean and redroot amaranth plants in the greenhouse through biomass estimation and deep learning-based symptom classification. Smart Agric. Technol. 2023, 81, 100243. [Google Scholar] [CrossRef]
- Zheng, D.; Zhou, T.; Zeng, Z. Optical Component Defect Recognition Technology Applicable to Intelligent Industrial Monitoring. Lab. Res. Explor. 2022, 41, 13–17. [Google Scholar]
- Liu, L.; Li, S.; Lu, J. A Review of Fault Diagnosis of Rotary Drive Components Based on Convolutional Neural Networks. Mech. Des. 2022, 39, 1–8. [Google Scholar]
- Li, Y.; Chai, Y.; Hu, Y.; Yi, H. Summary of unbalanced data classification methods. Control. Decis. Mak. 2019, 34, 673–688. [Google Scholar]
- Chen, S.; Shen, S.; Li, D. Unbalanced Data Integration Learning Method Based on Sample Weight Updated. Comput. Sci. 2018, 45, 31–37. [Google Scholar]
- Dourado, C. Data Augmentation policies and heuristics effects over dataset imbalance for developing plant identification systems based on Deep Learning: A case study. Rev. Bras. De Comput. Apl. 2022, 14, 85–94. [Google Scholar] [CrossRef]
- Fu, B.; Tang, X.; Xiao, T. Research on Focal Loss Function Applied to Image Emotion Analysis. Comput. Eng. Appl. 2020, 56, 179–184. [Google Scholar]
- Lin, T.Y.; Goyal, P.; Girshick, R.; He, K.; Dollár, P. Focal Loss for Dense Object Detection. IEEE Trans. Pattern Anal. Mach. Intell. 2017, 99, 2999–3007. [Google Scholar]
- Krizhevsky, A.; Sutskever, I.; Geoffrey, E. Hinton. ImageNet classification with deep convolutional neural networks. Commun. ACM 2017, 60, 84–90. [Google Scholar] [CrossRef]
- Simonyan, K.; Zisserman, A. Very Deep Convolutional Networks for Large-Scale Image Recognition. arXiv 2014, arXiv:1409.1556. [Google Scholar]
- He, K.; Zhang, X.; Ren, S.; Sun, J. Deep Residual Learning for Image Recognition. In Proceedings of the IEEE Conference on Computer Vision and Pattern Recognition 2016, Las Vegas, NV, USA, 26 June–1 July 2016. [Google Scholar]
- Huang, G.; Liu, Z.; Van Der Maaten, L.; Weinberger, K.Q. Densely Connected Convolutional Networks. In Proceedings of the IEEE Conference on Computer Vision and Pattern Recognition 2017, Honolulu, HI, USA, 21–26 July 2017. [Google Scholar]
















| Data Set | Intact Soybean Sample | Broken Soybean Sample |
|---|---|---|
| Original data set | 439 | 92 |
| Data-augmentation data set | 787 | 829 |
| Convolutional Neural Network | Characteristic |
|---|---|
| AlexNet | AlexNet applied ReLU as the activation function of a convolutional neural network in CNN for the first time and proposed that the deeper network structure uses the stacked convolutional layer to extract image features, and uses Dropout and data enhancement data-augmentation to suppress overfitting [28]. |
| VGG | VGG realizes image recognition through the set convolution layer, pooling layer, and full connection layer, and the whole network uniformly uses the same size of convolution kernel size (3 × 3) and maximum pooling size (2 × 2), which can improve the performance by deepening the network [29]. |
| ResNet | ResNet adds a direct channel to different convolution layers of the network to allow the original input information to be transmitted directly to the later layers. This approach greatly reduces the problem of gradient vanishing [30]. |
| DenseNet | DenseNet is a dense convolutional neural network with a deeper number, which connects all layers under the premise of ensuring the maximum information transmission between layers in the network. A 1 × 1 convolution kernel was also inserted to reduce the feature map and parameters [31]. |
| CNN Model | CE Loss Function | Focal-Loss Function | Oversampling | |||
|---|---|---|---|---|---|---|
| Training Accuracy/% | Test Accuracy/% | Training Accuracy/% | Test Accuracy/% | Training Accuracy/% | Test Accuracy/% | |
| AlexNet | 85.99 | 82.58 | 88.60 | 87.87 | 56.30 | 50.72 |
| VGG | 89.90 | 87.87 | 89.58 | 89.39 | 52.26 | 48.55 |
| ResNet | 90.55 | 90.15 | 96.41 | 95.45 | 89.27 | 79.71 |
| DenseNet | 96.74 | 96.21 | 99.35 | 98.48 | 97.83 | 97.71 |
| Average value | 90.80 | 89.20 | 93.49 | 92.80 | 73.92 | 69.17 |
| Data Set | Intact Soybean Sample | Broken Soybean Sample |
|---|---|---|
| Original data set | 249 | 243 |
| Oversampled data set | 700 | 659 |
Disclaimer/Publisher’s Note: The statements, opinions and data contained in all publications are solely those of the individual author(s) and contributor(s) and not of MDPI and/or the editor(s). MDPI and/or the editor(s) disclaim responsibility for any injury to people or property resulting from any ideas, methods, instructions or products referred to in the content. |
© 2023 by the authors. Licensee MDPI, Basel, Switzerland. This article is an open access article distributed under the terms and conditions of the Creative Commons Attribution (CC BY) license (https://creativecommons.org/licenses/by/4.0/).
Share and Cite
Zhang, N.; Zhang, E.; Li, F. A Soybean Classification Method Based on Data Balance and Deep Learning. Appl. Sci. 2023, 13, 6425. https://doi.org/10.3390/app13116425
Zhang N, Zhang E, Li F. A Soybean Classification Method Based on Data Balance and Deep Learning. Applied Sciences. 2023; 13(11):6425. https://doi.org/10.3390/app13116425
Chicago/Turabian StyleZhang, Ning, Enxu Zhang, and Fei Li. 2023. "A Soybean Classification Method Based on Data Balance and Deep Learning" Applied Sciences 13, no. 11: 6425. https://doi.org/10.3390/app13116425
APA StyleZhang, N., Zhang, E., & Li, F. (2023). A Soybean Classification Method Based on Data Balance and Deep Learning. Applied Sciences, 13(11), 6425. https://doi.org/10.3390/app13116425
