Optimal Driving Model for Connected and Automated Electric Freight Vehicles in a Wireless Charging Scenario at Signalised Intersections
Abstract
1. Introduction
2. Scenario Description and Schematic
3. Methodology
3.1. Energy Consumption and Wireless Charging Model for CAEFVs
3.2. Optimal Driving Model
3.2.1. Multi-Objective Optimisation
3.2.2. Dynamic Constraints
3.3. Differentiated Passing Strategies
4. Numerical Studies
4.1. Single-Vehicle Simulation with a Communication Delay
4.2. Effects of Different Key Factors on Single-Vehicle Simulation
4.3. Multi-Vehicle Simulations in Different Modes
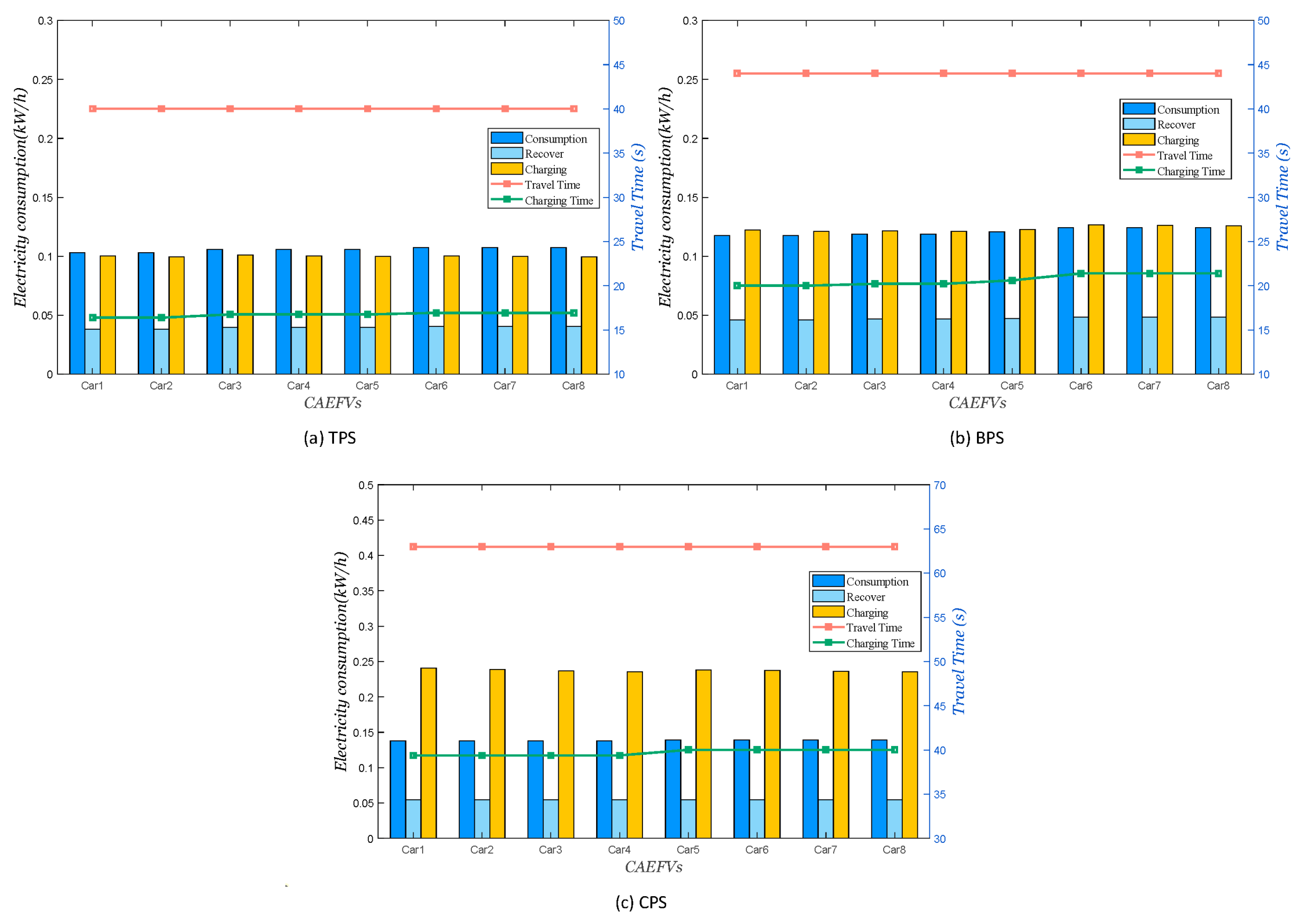
4.3.1. Simulation Using a Fleet of CAEFVs
4.3.2. Mixed-Traffic Simulations Using Different MPRs
5. Conclusions
Author Contributions
Funding
Institutional Review Board Statement
Informed Consent Statement
Data Availability Statement
Acknowledgments
Conflicts of Interest
References
- Quak, H.; Nesterova, N.; van Rooijen, T.; Dong, Y. Zero emission city logistics: Current practices in freight electromobility and feasibility in the near future. Transp. Res. Procedia 2016, 14, 1506–1515. [Google Scholar] [CrossRef]
- Muñoz-Villamizar, A.; Quintero-Araújo, C.L.; Montoya-Torres, J.R.; Faulin, J. Short-and mid-term evaluation of the use of electric vehicles in urban freight transport collaborative networks: A case study. Int. J. Logist. Res. Appl. 2019, 22, 229–252. [Google Scholar] [CrossRef]
- Nowakowska-Grunt, J.; Strzelzcyk, M. Problem of air pollution and road freight in European Union. Transp. Res Procedia 2016, 16, 418–424. [Google Scholar] [CrossRef]
- Kin, B.; Verlinde, S.; Macharis, C. Sustainable urban freight transport in megacities in emerging markets. Sustain. Cities Soc. 2017, 32, 31–41. [Google Scholar] [CrossRef]
- Taefi, T.T.; Kreutzfeldt, J.; Held, T.; Fink, A. Supporting the adoption of electric vehicles in urban road freight transport–A multi-criteria analysis of policy measures in Germany. Transp. Res. Part A Policy Pract. 2016, 91, 61–79. [Google Scholar] [CrossRef]
- Rizet, C.; Cruz, C.; Vromant, M. The constraints of vehicle range and congestion for the use of electric vehicles for urban freight in France. Transp. Res. Procedia 2016, 12, 500–507. [Google Scholar] [CrossRef]
- İmre, Ş.; Celebi, D.; Koca, F. Understanding barriers and enablers of electric vehicles in urban freight transport: Addressing stakeholder needs in Turkey. Sustain. Cities Soc. 2021, 68, 102794. [Google Scholar] [CrossRef]
- Melander, L.; Nyquist-Magnusson, C.; Wallström, H. Drivers for and barriers to electric freight vehicle adoption in Stockholm. Transp. Res Part DTransp. Environ. 2022, 108, 103317. [Google Scholar] [CrossRef]
- Yang, X.G.; Liu, T.; Wang, C.Y. Thermally modulated lithium iron phosphate batteries for mass-market electric vehicles. Nat. Energy 2021, 6, 176–185. [Google Scholar] [CrossRef]
- Chate, A.; Dutta, P.; Murthy, S.S. Performance analysis of a thermochemical energy storage system for battery preheating in electric vehicles. Appl. Therm. Eng. 2023, 219, 119439. [Google Scholar] [CrossRef]
- Sandoval, C.; Alvarado, V.M.; Carmona, J.C.; Lopez, G.L.; Gomez-Aguilar, J.F. Energy management control strategy to improve the FC/SC dynamic behavior on hybrid electric vehicles: A frequency based distribution. Renew. Energy 2017, 105, 407–418. [Google Scholar] [CrossRef]
- Zhang, F.; Hu, X.; Langari, R.; Cao, D. Energy management strategies of connected HEVs and PHEVs: Recent progress and outlook. Prog. Energy Combust. Sci. 2019, 73, 235–256. [Google Scholar] [CrossRef]
- Du, J.; Mo, X.; Li, Y.; Zhang, Q.; Li, J.; Wu, X.; Ouyang, M. Boundaries of high-power charging for long-range battery electric car from the heat generation perspective. Energy 2019, 182, 211–223. [Google Scholar] [CrossRef]
- Tahir, Y.; Khan, I.; Rahman, S.; Nadeem, M.F.; Iqbal, A.; Xu, Y.; Rafi, M. A state-of-the-art review on topologies and control techniques of solid-state transformers for electric vehicle extreme fast charging. IET Power Electron. 2021, 14, 1560–1576. [Google Scholar] [CrossRef]
- Cheng, S.; Li, L.; Chen, X.; Fang, S.N.; Wang, X.Y.; Wu, X.H.; Li, W.B. Longitudinal autonomous driving based on game theory for intelligent hybrid electric vehicles with connectivity. Appl. Energy. 2020, 268, 115030. [Google Scholar] [CrossRef]
- Li, L.; Coskun, S.; Langari, R.; Xi, J. Incorporated vehicle lateral control strategy for stability and enhanced energy saving in distributed drive hybrid bus. Appl. Soft Comput. 2021, 111, 107617. [Google Scholar] [CrossRef]
- Lukic, S.; Pantic, Z. Cutting the cord: Static and dynamic inductive wireless charging of electric vehicles. IEEE Electrif. Mag. 2013, 1, 57–64. [Google Scholar] [CrossRef]
- Tavakoli, R.; Pantic, Z. Analysis, design, and demonstration of a 25-kW dynamic wireless charging system for roadway electric vehicles. IEEE J. Emerg. Select. Top. Power Electron. 2017, 6, 1378–1393. [Google Scholar] [CrossRef]
- Zhang, H.; Hu, Z.; Xu, Z.; Song, Y. An integrated planning framework for different types of PEV charging facilities in urban area. IEEE Trans. Smart Grid 2015, 7, 2273–2284. [Google Scholar] [CrossRef]
- Lam, A.Y.; Leung, Y.W.; Chu, X. Electric vehicle charging station placement: Formulation, complexity, and solutions. IEEE Trans. Smart Grid 2014, 5, 2846–2856. [Google Scholar] [CrossRef]
- Ahmad, F.; Saad Alam, M.; Saad Alsaidan, I.; Shariff, S.M. Battery swapping station for electric vehicles: Opportunities and challenges. IET Smart Grid 2020, 3, 280–286. [Google Scholar] [CrossRef]
- Jang, Y.J. Survey of the operation and system study on wireless charging electric vehicle systems. Transp. Res. Part C Emerg. Technol. 2018, 95, 844–866. [Google Scholar] [CrossRef]
- Sun, L.; Ma, D.; Tang, H. A review of recent trends in wireless power transfer technology and its applications in electric vehicle wireless charging. Renew. Sustain. Energy Rev. 2018, 91, 490–503. [Google Scholar] [CrossRef]
- Reatti, A.; Corti, F.; Pugi, L.; Berzi, L.; Barbieri, R.; Delogu, M.; Pierini, M. Application of induction power recharge to garbage collection service. In Proceedings of the 2017 IEEE 3rd International Forum on Research and Technologies for Society and Industry (RTSI), Modena, Italy, 11–13 September 2017; pp. 1–5. [Google Scholar] [CrossRef]
- Meintz, A.; Prohaska, R.; Konan, A.; Ragatz, A.; Markel, T.; Kelly, K. Analysis of in-route wireless charging for the shuttle system at Zion National Park. In Proceedings of the 2016 IEEE PELS Workshop on Emerging Technologies: Wireless Power Transfer (WoW), Knoxville, TN, USA, 4–6 October 2016; pp. 191–195. [Google Scholar] [CrossRef]
- Yang, L.; Su, Z.; Yang, H.; Na, Z.; Yan, F. An efficient charging algorithm for UAV-aided wireless sensor networks. In Proceedings of the 2020 IEEE 6th International Conference on Computer and Communications (ICCC), Chengdu, China, 11–14 December 2020; pp. 834–838. [Google Scholar] [CrossRef]
- He, J.; Yang, H.; Tang, T.Q.; Huang, H.J. Optimal deployment of wireless charging lanes considering their adverse effect on road capacity. Transp. Res. Part C Emerg. Technol. 2020, 111, 171–184. [Google Scholar] [CrossRef]
- Tran, C.Q.; Keyvan-Ekbatani, M.; Ngoduy, D.; Watling, D. Dynamic wireless charging lanes location model in urban networks considering route choices. Transp. Res. Part C Emerg. Technol. 2022, 139, 103652. [Google Scholar] [CrossRef]
- Talal, M.; Ramli, K.N.; Zaidan, A.A.; Zaidan, B.B.; Jumaa, F. Review on car-following sensor based and data-generation mapping for safety and traffic management and road map toward ITS. Veh. Commun. 2020, 25, 100280. [Google Scholar] [CrossRef]
- Wu, X.; Valera, P.; Morton, J.E. Aggregate energy consumption model for electrical vehicles at signalized intersections. Transp. Res. Rec. 2016, 2572, 103–111. [Google Scholar] [CrossRef]
- Li, Y.; Zhong, Z.; Zhang, K.; Zheng, T. A car-following model for electric vehicle traffic flow based on optimal energy consumption. Phys. A Stat. Mech. Appl. 2019, 533, 122022. [Google Scholar] [CrossRef]
- Fiori, C.; Ahn, K.; Rakha, H.A. Power-based electric vehicle energy consumption model: Model development and validation. Appl. Energy 2016, 168, 257–268. [Google Scholar] [CrossRef]
- Fiori, C.; Marzano, V. Modelling energy consumption of electric freight vehicles in urban pickup/delivery operations: Analysis and estimation on a real-world dataset. Transp. Res. Part D Transp. Environ. 2018, 65, 658–673. [Google Scholar] [CrossRef]
- Fiori, C.; Marzano, V.; Punzo, V.; Montanino, M. Energy consumption modeling in presence of uncertainty. IEEE Trans. Intell. Transp. Syst. 2020, 22, 6330–6341. [Google Scholar] [CrossRef]
- Deflorio, F.; Castello, L. Dynamic charging-while-driving systems for freight delivery services with electric vehicles: Traffic and energy modelling. Transp. Res. Part C Emerg. Technol. 2017, 81, 342–362. [Google Scholar] [CrossRef]
- He, J.; Huang, H.J.; Yang, H.; Tang, T.Q. An electric vehicle driving behavior model in the traffic system with a wireless charging lane. Phys. A Stat. Mech. Appl. 2017, 481, 119–126. [Google Scholar] [CrossRef]
- He, J.; Yang, H.; Huang, H.J.; Tang, T.Q. Impacts of wireless charging lanes on travel time and energy consumption in a two-lane road system. Phys A Stat. Mech. Appl. 2018, 500, 1–10. [Google Scholar] [CrossRef]
- Li, Y.; Wang, W.; Xing, L.; Fan, Q.; Wang, H. Longitudinal safety evaluation of electric vehicles with the partial wireless charging lane on freeways. Accid. Anal. Prev. 2018, 111, 133–141. [Google Scholar] [CrossRef]
- Li, B.; Dong, X.; Wen, J. Cooperative-driving control for mixed fleets at wireless charging sections for lane changing behaviour. Energy 2022, 243, 122976. [Google Scholar] [CrossRef]
- Zhao, W.; Ngoduy, D.; Shepherd, S.; Liu, R.; Papageorgiou, M. A platoon based cooperative eco-driving model for mixed automated and human-driven vehicles at a signalised intersection. Transp. Res. Part C Emerg. Technol. 2018, 95, 802–821. [Google Scholar] [CrossRef]
- Xin, Q.; Fu, R.; Yuan, W.; Liu, Q.; Yu, S. Predictive intelligent driver model for eco-driving using upcoming traffic signal information. Phys. A Stat. Mech. Appl. 2018, 508, 806–823. [Google Scholar] [CrossRef]
- Liao, P.; Tang, T.Q.; Liu, R.; Huang, H.J. An eco-driving strategy for electric vehicle based on the powertrain. Appl. Energy 2018, 302, 117583. [Google Scholar] [CrossRef]
- Ma, F.; Yang, Y.; Wang, J.; Li, X.; Wu, G.; Zhao, Y.; Wu, L.; Aksun-Guvenc, B.; Guvenc, L. Eco-driving-based cooperative adaptive cruise control of connected vehicles platoon at signalized intersections. Transp. Res. Part D Transp. Environ. 2021, 92, 102746. [Google Scholar] [CrossRef]
- Sun, P.; Nam, D.; Jayakrishnan, R.; Jin, W. An eco-driving algorithm based on vehicle to infrastructure (V2I) communications for signalized intersections. Transp. Res. Part C Emerg. Technol. 2020, 144, 103876. [Google Scholar] [CrossRef]
- Menzel, T.; Bagschik, G.; Isensee, L.; Schomburg, A.; Maurer, M. From functional to logical scenarios: Detailing a keyword-based scenario description for execution in a simulation environment. In Proceedings of the 2019 IEEE Intelligent Vehicles Symposium (IV), Paris, France, 9–12 June 2019; pp. 2383–2390. [Google Scholar] [CrossRef]
- Hasan, N.; Wang, H.; Saha, T.; Pantic, Z. A novel position sensorless power transfer control of lumped coil-based in-motion wireless power transfer systems. In Proceedings of the 2015 IEEE Energy Conversion Congress and Exposition (ECCE), Montreal, QC, Canada, 20–24 September 2015; pp. 586–593. [Google Scholar] [CrossRef]
- Li, S.; Wang, L.; Guo, Y.; Liu, Z. Flexible energy-transfer control of dynamic wireless power transfer system based on estimation of load and mutual inductance. IEEE Trans. Ind. Appl. 2021, 58, 1157–1167. [Google Scholar] [CrossRef]
- Ntousakis, I.A.; Nikolos, I.K.; Papageorgiou, M. Optimal vehicle trajectory planning in the context of cooperative merging on highways. Transp. Res. Part C Emerg. Technol. 2016, 71, 464–488. [Google Scholar] [CrossRef]
- Zhao, H.; Han, G.; Niu, X. The signal control optimization of road intersections with slow traffic based on improved PSO. Mob. Netw. Appl. 2020, 25, 623–631. [Google Scholar] [CrossRef]
- He, X.; Liu, H.X.; Liu, X. Optimal vehicle speed trajectory on a signalized arterial with consideration of queue. Transp. Res. Part C Emerg. Technol. 2015, 61, 106–120. [Google Scholar] [CrossRef]
- Wu, X.; He, X.; Yu, G.; Harmandayan, A.; Wang, Y. Energy-optimal speed control for electric vehicles on signalized arterials. IEEE Trans. Intell. Transp. Syst. 2015, 16, 2786–2796. [Google Scholar] [CrossRef]







| Authors | Electric Vehicles | Signalised Intersections | Passing Strategies | Wireless Charging | Mixed Traffic |
|---|---|---|---|---|---|
| Zhao et al. [40] | X | X | |||
| Xin et al. [41] | X | X | X | ||
| Liao et al. [42] | X | X | X | ||
| Ma et al. [43] | X | X | X | ||
| Sun et al. [44] | X | X | |||
| This study |
| Weighting Coefficient | CPS | BPS | TPS |
|---|---|---|---|
| 0.6–0.8 | 0.2–0.4 | 0.1–0.2 | |
| 0.1–0.2 | 0.4–0.6 | 0.1–0.2 | |
| 0.1–0.2 | 0.2–0.4 | 0.6–0.8 |
| Parameter | Value | Parameter | Value |
|---|---|---|---|
| 20 | 0.94 | ||
| 2 | 0.96 | ||
| 4.88 | 0.97 | ||
| −3.41 | 0.14 | ||
| 4521 | 0.1–0.9 | ||
| 3000 | 0.15 | ||
| 1521 | 22,000 | ||
| 0 | 60 | ||
| 1.75 | 500 | ||
| 0.0328 | 600 | ||
| 4.575 | 35 | ||
| 2.81 | 35 | ||
| 0.316 | 0 |
| Comparative Indicator | No Control | CPS | BPS | TPS |
|---|---|---|---|---|
| Travel time (s) | 47.5 | 70 | 48 | 40 |
| Pure consumption (kWh) | 0.1442 | 0.1427 | 0.1391 | 0.0984 |
| Brake recovery power (kWh) | 0.0619 | 0.054 | 0.0528 | 0.0356 |
| Charging power (kWh) | 0.055 | 0.2628 | 0.1486 | 0.0812 |
| Passing consumption (kWh) | 0.0273 | −0.1741 | −0.0623 | −0.0184 |
| Power savings (kWh) | / | 0.2014 | 0.0896 | 0.0457 |
| Scenario | Initial Velocity (m/s) | WCA (D1, D2) (m) | Charging Efficiency |
|---|---|---|---|
| A | 20 | (50, 250) | 90% |
| B | 18 | (50, 250) | 90% |
| C | 16 | (50, 250) | 90% |
| D | 20 | (50, 150) | 90% |
| E | 20 | (50, 250) | 90% |
| F | 20 | (50, 350) | 90% |
| G | 20 | (50, 250) | 30% |
| H | 20 | (50, 250) | 60% |
| I | 20 | (50, 250) | 90% |
| Scenario | SOC | |||||
|---|---|---|---|---|---|---|
| A–C | 70 | 43.34 | 858,132 | 349,735 | 114,547 | 0.502 |
| B–C | 70 | 45.88 | 908,424 | 438,177 | 143,841 | 0.502 |
| C–C | 70 | 47.79 | 946,242 | 520,801 | 184,543 | 0.502 |
| A–B | 56 | 28.76 | 569,448 | 326,037 | 106,991 | 0.501 |
| B–B | 53 | 28.41 | 562,518 | 396,600 | 152,478 | 0.501 |
| C–B | 50 | 27.72 | 548,856 | 499,761 | 190,914 | 0.501 |
| A–T | 42 | 14.34 | 283,932 | 147,738 | 26,886 | 0.500 |
| B–T | 41 | 14.56 | 288,289 | 249,521 | 72,473 | 0.500 |
| C–T | 40 | 14.77 | 292,446 | 350,387 | 129,504 | 0.500 |
| D–C | 70 | 37.07 | 733,986 | 542,135 | 189,507 | 0.501 |
| E–C | 70 | 47.79 | 946,242 | 529,289 | 194,543 | 0.502 |
| F–C | 70 | 54.44 | 1,077,912 | 514,963 | 195,922 | 0.503 |
| D–B | 49 | 17.90 | 354,420 | 507,589 | 193,992 | 0.500 |
| E–B | 51 | 29.14 | 576,972 | 498,659 | 180,952 | 0.501 |
| F–B | 53 | 36.64 | 725,472 | 479,620 | 175,348 | 0.501 |
| D–T | 40 | 6.15 | 121,770 | 358,885 | 123,058 | 0.499 |
| E–T | 40 | 14.77 | 292,446 | 354,387 | 128,932 | 0.500 |
| F–T | 40 | 23.25 | 460,350 | 356,885 | 129,217 | 0.501 |
| G–C | 70 | 48.33 | 318,978 | 556,425 | 189,507 | 0.499 |
| H–C | 70 | 45.86 | 605,352 | 534,646 | 196,450 | 0.501 |
| I–C | 70 | 40.27 | 797,346 | 488,428 | 194,652 | 0.502 |
| G–B | 44 | 19.75 | 130,350 | 418,037 | 163,906 | 0.499 |
| H–B | 48 | 24.95 | 329,340 | 471,339 | 186,291 | 0.500 |
| I–B | 52 | 30.52 | 604,296 | 508,489 | 195,560 | 0.501 |
| G–T | 40 | 14.54 | 95,964 | 356,885 | 129,217 | 0.499 |
| H–T | 40 | 14.54 | 191,928 | 356,885 | 129,217 | 0.499 |
| I–T | 40 | 14.77 | 292,446 | 354,387 | 128,464 | 0.500 |
Disclaimer/Publisher’s Note: The statements, opinions and data contained in all publications are solely those of the individual author(s) and contributor(s) and not of MDPI and/or the editor(s). MDPI and/or the editor(s) disclaim responsibility for any injury to people or property resulting from any ideas, methods, instructions or products referred to in the content. |
© 2023 by the authors. Licensee MDPI, Basel, Switzerland. This article is an open access article distributed under the terms and conditions of the Creative Commons Attribution (CC BY) license (https://creativecommons.org/licenses/by/4.0/).
Share and Cite
Wang, W.; Fan, S.; Wang, Z.; Yao, X.; Mu, K. Optimal Driving Model for Connected and Automated Electric Freight Vehicles in a Wireless Charging Scenario at Signalised Intersections. Appl. Sci. 2023, 13, 6286. https://doi.org/10.3390/app13106286
Wang W, Fan S, Wang Z, Yao X, Mu K. Optimal Driving Model for Connected and Automated Electric Freight Vehicles in a Wireless Charging Scenario at Signalised Intersections. Applied Sciences. 2023; 13(10):6286. https://doi.org/10.3390/app13106286
Chicago/Turabian StyleWang, Wenbo, Songhua Fan, Zijian Wang, Xinpeng Yao, and Kenan Mu. 2023. "Optimal Driving Model for Connected and Automated Electric Freight Vehicles in a Wireless Charging Scenario at Signalised Intersections" Applied Sciences 13, no. 10: 6286. https://doi.org/10.3390/app13106286
APA StyleWang, W., Fan, S., Wang, Z., Yao, X., & Mu, K. (2023). Optimal Driving Model for Connected and Automated Electric Freight Vehicles in a Wireless Charging Scenario at Signalised Intersections. Applied Sciences, 13(10), 6286. https://doi.org/10.3390/app13106286

