Research on the Complex Characteristics of Urban Subway Network and the Identification Method of Key Lines
Abstract
1. Introduction
2. Complex Network Model and Related Indexes
2.1. Establishment of Subway Complex Network Model
2.2. Statistical Indexes of Complex Network Characteristics
3. Complex Characteristics Analysis of Beijing Subway Network
3.1. Complex Characteristics Analysis of the Beijing Subway Network
3.2. Characteristic Analysis of Scale-Free Network and Small-World Network
4. Key Lines’ Identification of Subway Network
4.1. Line Importance Indexes
4.1.1. Global Impact Indexes
4.1.2. Interline Impact Indexes
4.2. Design of Key Lines’ Identification Experiment
- (1)
- The possibility that only one of the subway lines will be out of service and not multiple lines at the same time; and
- (2)
4.3. Experimental Result Analysis
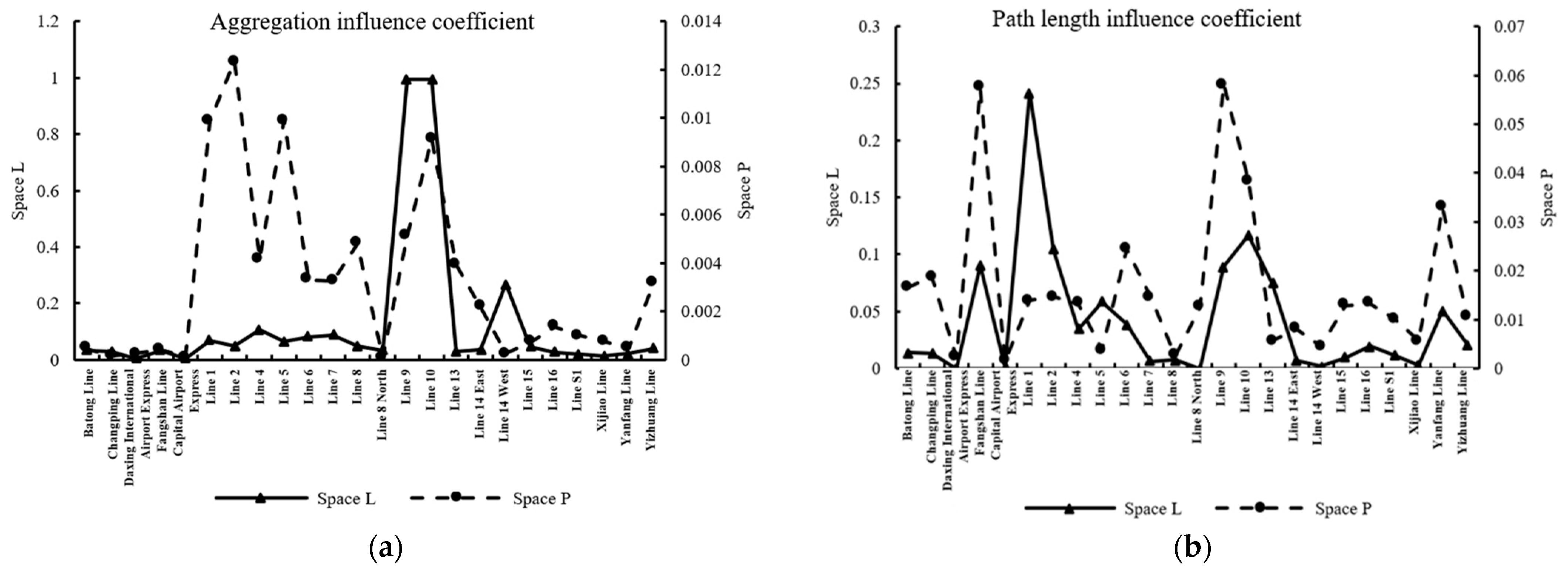
4.3.1. Global Influence Analysis
4.3.2. Local Influence Analysis
5. Conclusions and Prospect
- (1)
- The current Beijing subway network under Space L, the cumulative distribution of degree conforms to the logarithmic function distribution, and the goodness of fit R2 = 0.8531, which is a scale-free network, but with low aggregation coefficient and no small-world characteristics. Under Space P, the goodness of fit R2 = 0.9391 for the logarithmic function, and with high clustering coefficient, low network diameter, strong small-world characteristics, and scale-free network. Under Space C, the goodness of fit R2 = 0.9166 for the logarithmic function, with scale-free network characteristics and similar to Space L network, it has low aggregation but long distance and no small-world network characteristics;
- (2)
- By establishing the line importance index system and giving the key lines’ identification method, based on the Matlab simulation experiment, we obtained the criticality of each line, which Line 1, Line 2, Line 4, Line 6, and Line 10 are the five subway lines with the highest criticality under Space L and Space P; and
- (3)
- Considering the global and local levels, different analysis indexes reflect the different image degrees of the lines to the global network and subway lines, and there are unit differences between the indexes. The line importance index is proposed to combine the above indexes to derive the criticality of the line at a comprehensive level. Considering only the complex network characteristics, Line 10, Line 9, Line 1, Line 2, and Line 5 are the five most important subway lines, with line importance indexes of about 10.07, 6.48, 5.06, 4.56, and 4.36. Line S1, Changping Line, Xijiao Line, Capital Airport Line, and Daxing International Airport Line are the five lowest-importance subway lines, with line importance indexes of about 1.04, 1.04, 0.94, 0.31, and 0.25.
Author Contributions
Funding
Institutional Review Board Statement
Informed Consent Statement
Data Availability Statement
Conflicts of Interest
References
- Lü, W.H.; Wang, G.J.; Wang, P.F. A Review on Reliability of Transportation Network Based on Complex Network Theory. Sci. Technol. Eng. 2019, 19, 26–33. [Google Scholar]
- Sarker, S.; Veremyev, A.; Boginski, V.; Singh, A. Critical Nodes in River Networks. Sci. Rep. 2019, 9, 11178. [Google Scholar] [CrossRef] [PubMed]
- An, F.; Gao, X.; Guan, J.; Jiang, M.; Liu, Q. Detecting the Significant Nodes in Two-Layer Flow Networks: An Interlayer Non-Failure Cascading Effect Perspective. Eur. Phys. J. Spec. Top. 2019, 228, 2475–2490. [Google Scholar] [CrossRef]
- Yang, Y.; Liu, Y.; Zhou, M.; Li, F.; Sun, C. Robustness Assessment of Urban Rail Transit Based on Complex Network Theory: A Case Study of the Beijing Subway. Saf. Sci. 2015, 79, 149–162. [Google Scholar] [CrossRef]
- Watts, D.J.; Strogatz, S.H. Collective Dynamics of ‘Small-World’ Networks. Nature 1998, 393, 440–442. [Google Scholar] [CrossRef]
- Barabási, A.-L.; Albert, R. Emergence of Scaling in Random Networks. Science 1999, 286, 509–512. [Google Scholar] [CrossRef]
- Ye, Q.; Kim, H. Assessing Network Vulnerability of Heavy Rail Systems with the Impact of Partial Node Failures. Transportation 2019, 46, 1591–1614. [Google Scholar] [CrossRef]
- Ye, Q.; Kim, H. Assessing Network Vulnerability Using Shortest Path Network Problems. J. Transp. Saf. Secur. 2021, 13, 1–25. [Google Scholar] [CrossRef]
- Owais, M. Issues Related to Transit Network Design Problem. Int. J. Comput. Appl. 2015, 120, 40–45. [Google Scholar] [CrossRef]
- Owais, M.; Ahmed, A.S.; Moussa, G.S.; Khalil, A.A. Design Scheme of Multiple-Subway Lines for Minimizing Passengers Transfers in Mega-Cities Transit Networks. Int. J. Rail Transp. 2021, 9, 540–563. [Google Scholar] [CrossRef]
- Owais, M.; Ahmed, A.S.; Moussa, G.S.; Khalil, A.A. An Optimal Metro Design for Transit Networks in Existing Square Cities Based on Non-Demand Criterion. Sustainability 2020, 12, 9566. [Google Scholar] [CrossRef]
- Latora, V.; Marchiori, M. Is the Boston Subway a Small-World Network? Phys. A Stat. Mech. Appl. 2002, 314, 109–113. [Google Scholar] [CrossRef]
- Sienkiewicz, J.; Hołyst, J.A. Statistical Analysis of 22 Public Transport Networks in Poland. Phys. Rev. E 2005, 72, 046127. [Google Scholar] [CrossRef] [PubMed]
- Zhang, J.; Liang, Q.H.; He, X.T. Study on the complexity of Beijing metro network. J. Beijing Jiaotong Univ. 2013, 37, 78–84. [Google Scholar]
- Zhang, J.; Zhao, M.; Liu, H.; Xu, X. Networked Characteristics of the Urban Rail Transit Networks. Phys. A Stat. Mech. Appl. 2013, 392, 1538–1546. [Google Scholar] [CrossRef]
- Du, F.; Huang, H.W.; Zhang, D.M.; Zhang, F. Analysis of characteristics of complex network and robustness in Shanghai metro network. Eng. J. Wuhan Univ. 2016, 49, 701–707. [Google Scholar]
- Wang, X.; Koç, Y.; Derrible, S.; Ahmad, S.N.; Pino, W.J.A.; Kooij, R.E. Multi-Criteria Robustness Analysis of Metro Networks. Phys. A Stat. Mech. Appl. 2017, 474, 19–31. [Google Scholar] [CrossRef]
- Lü, L.; Chen, D.; Ren, X.-L.; Zhang, Q.-M.; Zhang, Y.-C.; Zhou, T. Vital Nodes Identification in Complex Networks. Phys. Rep. 2016, 650, 1–63. [Google Scholar] [CrossRef]
- Gao, H.Y.; Liu, F.; Qian, Y. Complexity and optimization of public transit network: Taking Baoji for example. J. Chang. Univ. 2018, 38. 146–153 + 181. [Google Scholar]
- Lu, H.; Shi, Y. Complexity of Public Transport Networks. Tsinghua Sci. Technol. 2007, 12, 204–213. [Google Scholar] [CrossRef]
- Newman, M.E.J. Fast Algorithm for Detecting Community Structure in Networks. Phys. Rev. E 2004, 69, 066133. [Google Scholar] [CrossRef] [PubMed]
- Yang, Y.Z.; Hu, M.; Huang, T.Y. Influential Nodes Identification in Complex Networks Based on Global and Local Information. Chin. Phys. B 2020, 29, 088903. [Google Scholar] [CrossRef]
- Sheng, J.; Dai, J.; Wang, B.; Duan, G.; Long, J.; Zhang, J.; Guan, K.; Hu, S.; Chen, L.; Guan, W. Identifying Influential Nodes in Complex Networks Based on Global and Local Structure. Phys. A Stat. Mech. Appl. 2020, 541, 123262. [Google Scholar] [CrossRef]











| Indexes | Formulas | |
|---|---|---|
| Degree | (1) | |
| Node clustering coefficient | (2) | |
| Global clustering coefficient | (3) | |
| Average path length | (4) | |
| Network efficiency | (5) | |
| Degree centrality | (6) | |
| Near-centrality | (7) | |
| Intermediate centrality | (8) | |
| Connectivity | (9) | |
| Network diameter | (10) | |
| Parameters | Description |
|---|---|
| Adjacency matrix variables | |
| Number of actually connected edges of node i | |
| The maximum number of possible edges in the network | |
| N | Number of nodes in the network |
| The shortest path length between nodes i and j | |
| i, s,v | Node number in the network |
| Number of all shortest paths from node s to node t through node i | |
| Number of all shortest paths from node s to node t | |
| The actual number of edges of network G | |
| The maximum number of possible edges of network G |
| Average Degree | Global Aggregation Coefficient C | Average Path Length D | Network Efficiency | Degree Centrality (Top 3) | Near-Centrality (Top 3) | Intermediate Centrality (Top 3) | Connectivity | Network Diameter L | |
|---|---|---|---|---|---|---|---|---|---|
| Space L | 2.252 | 0.002 | 16.632 | 0.261 | Xizhimen (0.013) | Chegongzhuang (0.091) | Xizhimen (0.244) | 0.378 | 54 |
| Chegongzhuang (0.011) | Ping’anli (0.089) | Chegongzhuang (0.202) | |||||||
| Baishiqiaonan (0.011) | Dongsi (0.088) | Baishiqiaonan (0.180) | |||||||
| Space P | 25.79 | 0.917 | 2.652 | 0.446 | Songjiazhuang (0.468) | Songjiazhuang (0.504) | Guogongzhuang (0.215) | 0.621 | 6 |
| Haidian Huangzhuang (0.462) | Haidian Huangzhuang (0.498) | Songjiazhuang (0.181) | |||||||
| Jiaomenxi (0.462) | Jiaomenxi (0.498) | Shuangjing (0.109) | |||||||
| Space C | 4.75 | 0.395 | 2.214 | 0.723 | Line 10 (1.217) | Line 10 (0.697) | Line 10 (0.670) | 0.507 | 5 |
| Line 4 (0.783) | Line 4 (0.605) | Line 9 (0.340) | |||||||
| Line 5 (0.783) | Line 6 (0.575) | Line 4 (0.232) |
| Indexes | Formulas | |
|---|---|---|
| Aggregation influence coefficient | (11) | |
| Path length influence coefficient | (12) | |
| Network efficiency influence coefficient | (13) | |
| Connectivity influence coefficient | (14) | |
| Parameters | Description |
|---|---|
| a | Network deleted line |
| Initial global aggregation coefficient, global coefficient after deleting Line a | |
| Initial global average path length, global average path length after deleting Line a | |
| Initial network efficiency, network efficiency after deleting Line a | |
| Initial connectivity, connectivity after deleting Line a |
| Indexes | Formulas | |
|---|---|---|
| Station expected degree centrality of Line a | (15) | |
| Station expected near-centrality of Line a | (16) | |
| Station expected intermediate centrality of Line a | (17) | |
| Parameters | Description |
|---|---|
| Number of stations on Line a | |
| Node number | |
| Degree centrality of station i of Line a | |
| Closeness centrality of station i of Line a | |
| Betweenness centrality of station i of Line a |
| Indexes | Formulas | |
|---|---|---|
| Degree centrality influence coefficient of Line i | (19) | |
| Near-centrality influence coefficient of Line i | (20) | |
| Intermediate centrality influence coefficient of Line i | (21) | |
| Degree centrality sensitivity coefficient of Line i | (22) | |
| Near-centrality sensitivity coefficient of Line i | (23) | |
| Intermediate centrality sensitivity coefficient of Line i | (24) | |
| Index system of line importance | First-Grade Indexes | Second-Grade Indexes |
| Global impact indexes | ||
| Interline impact indexes | ||
| Deleted Lines | Clustering Coefficient | Path Length | Connectivity | Network Efficiency | ||||
|---|---|---|---|---|---|---|---|---|
| Space L (Unit:103) | Space P (Unit:10) | Space L | Space P | Space L | Space P | Space L | Space P | |
| None (entire network) | 2.002 | 9.172 | 16.632 | 2.652 | 0.3776 | 0.6214 | 0.261 | 0.446 |
| Batong Line | 2.0704 | 9.1762 | 16.401 | 2.608 | 0.3781 | 0.6511 | 0.2652 | 0.4556 |
| Changping Line | 2.064 | 9.1704 | 16.416 | 2.602 | 0.378 | 0.6506 | 0.2609 | 0.4537 |
| Daxing International Airport Express | 2.0141 | 9.1696 | 16.633 | 2.646 | 0.3779 | 0.6285 | 0.2577 | 0.4499 |
| Fangshan Line | 2.0704 | 9.1759 | 15.135 | 2.5 | 0.3781 | 0.6532 | 0.2783 | 0.4693 |
| Capital Airport Express | 2.0141 | 9.1709 | 16.655 | 2.648 | 0.3779 | 0.6283 | 0.2491 | 0.4479 |
| Line 1 | 2.1368 | 9.2626 | 20.655 | 2.689 | 0.3667 | 0.6369 | 0.2054 | 0.4406 |
| Line 2 | 2.103 | 9.2854 | 18.359 | 2.691 | 0.3598 | 0.6277 | 0.232 | 0.4431 |
| Line 4 | 2.2148 | 9.2105 | 17.2 | 2.687 | 0.369 | 0.6237 | 0.2469 | 0.441 |
| Line 5 | 2.1299 | 9.2629 | 17.607 | 2.662 | 0.3633 | 0.6287 | 0.2393 | 0.4518 |
| Line 6 | 2.1645 | 9.2024 | 17.277 | 2.717 | 0.3682 | 0.6322 | 0.2497 | 0.4461 |
| Line 7 | 2.1786 | 9.2019 | 16.737 | 2.691 | 0.3717 | 0.6499 | 0.2556 | 0.4436 |
| Line 8 | 2.103 | 9.216 | 16.755 | 2.659 | 0.3704 | 0.6475 | 0.2523 | 0.4467 |
| Line 8 North | 2.0704 | 9.1728 | 16.631 | 2.619 | 0.3771 | 0.6517 | 0.2513 | 0.4572 |
| Line 9 | 0.01 | 9.2192 | 15.146 | 2.498 | 0.3727 | 0.6362 | 0.269 | 0.4742 |
| Line 10 | 0.01 | 9.0882 | 18.575 | 2.754 | 0.3591 | 0.592 | 0.2223 | 0.4332 |
| Line 13 | 2.064 | 9.2083 | 17.868 | 2.667 | 0.3718 | 0.64 | 0.2254 | 0.4437 |
| Line 14 East | 2.0768 | 9.1921 | 16.749 | 2.673 | 0.3741 | 0.0981 | 0.243 | 0.44 |
| Line 14 West | 2.5407 | 9.1744 | 16.601 | 2.64 | 0.3783 | 0.1011 | 0.2417 | 0.4431 |
| Line 15 | 2.0964 | 9.1653 | 16.472 | 2.618 | 0.3776 | 0.6554 | 0.2431 | 0.4474 |
| Line 16 | 2.0576 | 9.1595 | 16.308 | 2.617 | 0.3789 | 0.6496 | 0.2391 | 0.4475 |
| Line S1 | 2.045 | 9.1627 | 16.44 | 2.625 | 0.3786 | 0.6409 | 0.2367 | 0.449 |
| Xijiao Line | 2.0325 | 9.1651 | 16.589 | 2.637 | 0.3783 | 0.6383 | 0.2366 | 0.4527 |
| Yanfang Line | 2.0513 | 9.1674 | 15.784 | 2.565 | 0.3787 | 0.647 | 0.2516 | 0.4684 |
| Yizhuang Line | 2.0833 | 9.143 | 16.279 | 2.624 | 0.3795 | 0.6588 | 0.2464 | 0.4616 |
| Lines | Degree Centrality | Near-Centrality | Intermediate Centrality | |||||||||
|---|---|---|---|---|---|---|---|---|---|---|---|---|
| Influence Index | Sensitivity Index | Influence Index | Sensitivity Index | Influence Index | Sensitivity Index | |||||||
| Space L | Space P | Space L | Space P | Space L | Space P | Space L | Space P | Space L | Space P | Space L | Space P | |
| Batong Line | 0.0331 | 0.0429 | 0.0909 | 0.2308 | 0.2329 | 0.2511 | 1.0722 | 0.2595 | 1.1512 | 0.9514 | 1.6563 | 0 |
| Changping Line | 0.0961 | 0.0836 | 0.1579 | 0.1818 | 0.2123 | 0.251 | 5.6882 | 0.3901 | 1.2471 | 1.5942 | 2.422 | 0 |
| Daxing International Airport Express | 0.0127 | 0.0013 | 0.3333 | 0.5 | 0.0278 | 0.0258 | 15.5309 | 2.3116 | 0.2016 | 0.188 | 2.145 | 0 |
| Fangshan Line | 0.1121 | 0.1901 | 0.0909 | 0.1473 | 11.6482 | 4.0419 | 3.2233 | 1.642 | 3.2551 | 1.7857 | 2.7474 | 3 |
| Capital Airport Express | 0.0127 | 0.0054 | 0.3333 | 0.6667 | 0.0287 | 0.0222 | 13.8196 | 0.3757 | 0.1782 | 0.1838 | 2.145 | 0 |
| Line 1 | 0.2634 | 0.4842 | 0.2787 | 0.3106 | 3.7704 | 0.2025 | 0.5406 | 0.2311 | 4.7006 | 1.0438 | 2.926 | 1.6582 |
| Line 10 | 1.505 | 2.0671 | 0.3671 | 0.2798 | 37.6092 | 4.8911 | 0.7635 | 0.2465 | 7.2682 | 1.7066 | 2.935 | 1.872 |
| Line 13 | 0.265 | 0.2552 | 0.4783 | 0.4972 | 1.4249 | 0.2457 | 1.0745 | 0.3752 | 2.4558 | 1.6453 | 2.8109 | 2.7136 |
| Line 14 West | 0.2193 | 0.2319 | 0.36 | 0.4359 | 3.062 | 0.142 | 1.2269 | 0.3394 | 2.5278 | 0.8957 | 4.183 | 2.4942 |
| Line 14 East | 0.0455 | 0.0328 | 0.1111 | 0.3333 | 0.0808 | 0.0635 | 8.4215 | 0.2691 | 0.4958 | 0.4401 | 2.1702 | 0 |
| Line 15 | 0.1738 | 0.2128 | 0.2143 | 0.2222 | 0.2643 | 0.2647 | 6.0401 | 0.2992 | 1.7233 | 2.1428 | 2.2782 | 0 |
| Line 16 | 0.0137 | 0.0071 | 0.0588 | 0.1111 | 0.2446 | 0.1766 | 6.3384 | 2.4542 | 0.9733 | 0.7488 | 2.1389 | 0 |
| Line 2 | 0.4148 | 0.7549 | 0.4286 | 0.5041 | 1.9412 | 0.3707 | 0.7536 | 0.3505 | 3.7501 | 1.0312 | 2.3585 | 1.7241 |
| Line 4 | 0.3182 | 0.57 | 0.2055 | 0.2189 | 6.9843 | 2.5085 | 0.6849 | 0.2924 | 4.5011 | 1.4982 | 1.8743 | 1.4488 |
| Line 5 | 0.4602 | 0.5399 | 0.3585 | 0.4127 | 4.5536 | 2.17 | 0.9092 | 0.3439 | 5.3169 | 1.1585 | 2.6438 | 1.4889 |
| Line 6 | 0.3691 | 0.759 | 0.2542 | 0.3007 | 7.9404 | 0.4665 | 0.7799 | 0.2463 | 4.5416 | 0.69 | 2.1777 | 1.5862 |
| Line 7 | 0.3014 | 0.3826 | 0.1833 | 0.178 | 0.4649 | 0.3275 | 0.8248 | 0.2279 | 2.4626 | 1.7626 | 4.253 | 1.9527 |
| Line 8 | 0.3391 | 0.3166 | 0.3158 | 0.3333 | 7.5768 | 0.2513 | 1.0862 | 0.3186 | 3.4361 | 1.0696 | 3.531 | 2.0835 |
| Line 8 North | 0.0704 | 0.0708 | 0.1304 | 0.2086 | 0.1295 | 0.2035 | 0.9051 | 0.2829 | 1.0716 | 0.8611 | 1.4125 | 1.8641 |
| Line 9 | 0.2445 | 0.3284 | 0.3182 | 0.574 | 15.8312 | 3.9464 | 0.5388 | 0.2532 | 5.3306 | 2.2728 | 2.4462 | 2.2007 |
| Line S1 | 0.0169 | 0.0356 | 0.0769 | 0.4085 | 0.1428 | 0.1304 | 7.4496 | 0.3354 | 0.7362 | 0.4506 | 2.1668 | 1.1718 |
| Xijiao Line | 0.0127 | 0.0032 | 0.1111 | 0.2 | 0.0646 | 0.0654 | 8.7791 | 2.2943 | 0.4978 | 0.4664 | 2.1398 | 0 |
| Yanfang Line | 0.0455 | 0.062 | 0.0667 | 0.125 | 0.6717 | 0.4041 | 14.6542 | 5.2906 | 1.569 | 1.7519 | 3.0673 | 0 |
| Yizhuang Line | 0.0189 | 0.0201 | 0.04 | 0.0769 | 0.3161 | 0.1473 | 4.1182 | 2.1397 | 1.3938 | 0.9196 | 2.1565 | 0 |
| Subway Lines | Importance Index | Ranking | Subway Lines | Importance Index | Ranking |
|---|---|---|---|---|---|
| Line 10 | 10.073 | 1 | Line 14 East | 2.159 | 13 |
| Line 9 | 6.479 | 2 | Line 7 | 1.922 | 14 |
| Line 1 | 5.059 | 3 | Yizhuang Line | 1.734 | 15 |
| Line 2 | 4.558 | 4 | Line 15 | 1.246 | 16 |
| Line 5 | 4.362 | 5 | Line 16 | 1.129 | 17 |
| Fangshan Line | 4.361 | 6 | Line 8 North | 1.109 | 18 |
| Line 4 | 3.461 | 7 | Batong Line | 1.098 | 19 |
| Line 6 | 3.155 | 8 | Line S1 | 1.042 | 20 |
| Line 14 West | 2.505 | 9 | Changping Line | 1.035 | 21 |
| Line 13 | 2.48 | 10 | Xijiao Line | 0.942 | 22 |
| Yanfang Line | 2.225 | 11 | Capital Airport Express | 0.312 | 23 |
| Line 8 | 2.169 | 12 | Daxing International Airport Express | 0.25 | 24 |
Disclaimer/Publisher’s Note: The statements, opinions and data contained in all publications are solely those of the individual author(s) and contributor(s) and not of MDPI and/or the editor(s). MDPI and/or the editor(s) disclaim responsibility for any injury to people or property resulting from any ideas, methods, instructions or products referred to in the content. |
© 2022 by the authors. Licensee MDPI, Basel, Switzerland. This article is an open access article distributed under the terms and conditions of the Creative Commons Attribution (CC BY) license (https://creativecommons.org/licenses/by/4.0/).
Share and Cite
Pan, Y.; Chang, M.; Feng, S.; Hao, D. Research on the Complex Characteristics of Urban Subway Network and the Identification Method of Key Lines. Appl. Sci. 2023, 13, 565. https://doi.org/10.3390/app13010565
Pan Y, Chang M, Feng S, Hao D. Research on the Complex Characteristics of Urban Subway Network and the Identification Method of Key Lines. Applied Sciences. 2023; 13(1):565. https://doi.org/10.3390/app13010565
Chicago/Turabian StylePan, Yilei, Mengying Chang, Shumin Feng, and Dongsheng Hao. 2023. "Research on the Complex Characteristics of Urban Subway Network and the Identification Method of Key Lines" Applied Sciences 13, no. 1: 565. https://doi.org/10.3390/app13010565
APA StylePan, Y., Chang, M., Feng, S., & Hao, D. (2023). Research on the Complex Characteristics of Urban Subway Network and the Identification Method of Key Lines. Applied Sciences, 13(1), 565. https://doi.org/10.3390/app13010565

