Fast Vibration Reduction Optimization Approach for Complex Thin-Walled Shells Accelerated by Global Proper Orthogonal Decomposition Reduced-Order Model
Abstract
1. Introduction
2. A Review of Structural Frequency Response Analysis Method
3. Method of Constructing Global POD ROM
3.1. Initial POD Reduced Basis Matrix
3.2. CV–Voronoi Sequence Sampling Method
3.3. Global POD Reduced Basis Matrix Updating Method
4. Vibration Reduction Optimization Approach Accelerated by Global POD ROM
4.1. Efficient Global Optimization Algorithm Based on Surrogate Model
4.2. An Optimization Framework for Vibration Reduction of Complex Thin-Walled Shells Accelerated by the Global POD ROM
5. Illustrative Examples
5.1. Vibration Reduction Optimization Design of S-Shaped Curved Stiffened Shell
5.2. Vibration Reduction Optimization Design of PAF
6. Conclusions
- (1)
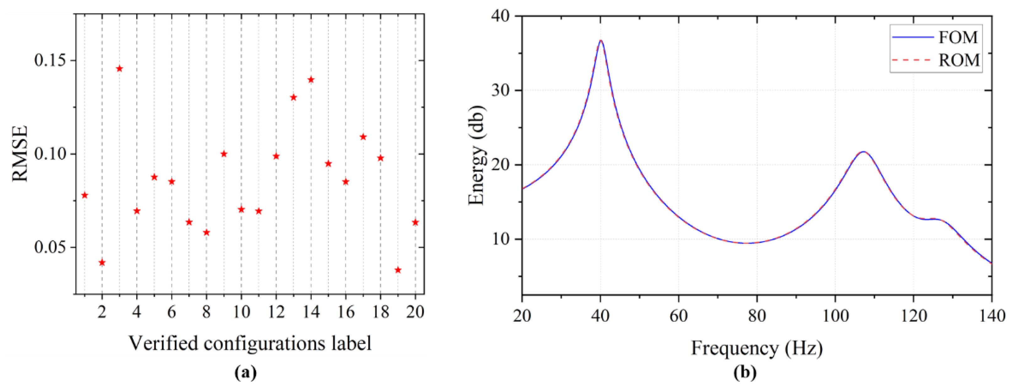
- For the global POD ROM: The calculation accuracy and efficiency of the proposed approach are verified by the vibration reduction optimization examples of the S-shaped curved stiffened shell and PAF. The RMSE of the dynamic response is calculated by random sampling in the design space, which verifies that the global POD ROM has high accuracy in the global design space. Compared with the FOM, the dynamics analysis based on the global POD ROM reduces the single mean calculation time by more than 96.9% and 97.6%, respectively, which has a significant computational efficiency advantage.
- (2)
- For vibration reduction optimization: In the S-shaped curved stiffened shell and PAF vibration reduction optimization examples, the optimized result in satisfied mass and first resonance frequency constraint decreased by 79.6% and 31.5% of objective energy, respectively, when compared to the initial results. It shows that this method is effective for vibration reduction optimization in complex thin-walled structures. For the vibration reduction optimization of the S-shaped curved stiffened shell, the optimization results of the global POD ROM are reduced by 58.8% in the same time period compared with the FOM method. For PAF structures, compared with the FOM method, the vibration reduction optimization results of the global POD ROM are reduced by 20.0% in the same time period. It shows that the proposed approach has a stronger optimization ability.
Author Contributions
Funding
Institutional Review Board Statement
Informed Consent Statement
Data Availability Statement
Conflicts of Interest
References
- Léné, F.; Duvaut, G.; Olivier-Mailhé, M.; Ben Chaabane, S.; Grihon, S. An advanced methodology for optimum design of a composite stiffened cylinder. Compos. Struct. 2009, 91, 392–397. [Google Scholar] [CrossRef]
- Tanishima, N.; Okamoto, H.; Iki, K.; Watanabe, K.; Okumura, T.; Kato, H.; Hayashi, M.; Hirano, D. Concept and design of the caging-based debris gripper for PAF capturing. J. Space Saf. Eng. 2020, 7, 358–363. [Google Scholar] [CrossRef]
- Chen, S.; Yang, Z.; Ying, M.; Zheng, Y.; Liu, Y.; Pan, Z. Parallel load-bearing and damping system design and test for satellite vibration suppression. Appl. Sci. 2020, 10, 1548. [Google Scholar] [CrossRef]
- Tian, K.; Li, H.; Huang, L.; Huang, H.; Zhao, H.; Wang, B. Data-driven modelling and optimization of stiffeners on undevelopable curved surfaces. Struct. Multidiscip. Optim. 2020, 62, 3249–3269. [Google Scholar] [CrossRef]
- Hu, W.; Wu, J.; Zhu, Q.; Shen, J.; Zheng, X. Vibration suppression for flexible plate with tunable magnetically controlled joint stiffness/damping. Appl. Sci. 2022, 12, 11483. [Google Scholar] [CrossRef]
- Liu, W.; Mahfoze, O.A.; Longshaw, S.M.; Skillen, A.; Emerson, D.R. Simulating slosh induced damping, with application to aircraft wing-like structures. Appl. Sci. 2022, 12, 8481. [Google Scholar] [CrossRef]
- Ma, Z.D.; Kikuchi, N.; Cheng, H.C. Topological design for vibrating structures. Comput. Methods Appl. Mech. Eng. 1995, 121, 259–280. [Google Scholar] [CrossRef]
- Zargham, S.; Ward, T.A.; Ramli, R.; Badruddin, I.A. Topology optimization: A review for structural designs under vibration problems. Struct. Multidiscip. Optim. 2016, 53, 1157–1177. [Google Scholar] [CrossRef]
- Zhao, J.; Wang, C. Dynamic response topology optimization in the time domain using model reduction method. Struct. Multidiscip. Optim. 2016, 53, 101–114. [Google Scholar] [CrossRef]
- Liu, H.; Zhang, W.; Gao, T. A comparative study of dynamic analysis methods for structural topology optimization under harmonic force excitations. Struct. Multidiscip. Optim. 2015, 51, 1321–1333. [Google Scholar] [CrossRef]
- Li, Z.; Su, X.; Tan, J.; Wang, H.; Wu, W. Multi-objective optimization of the layout of damping material for reducing the structure-borne noise of thin-walled structures. Thin-Walled Struct. 2019, 140, 331–341. [Google Scholar] [CrossRef]
- Madeira, J.F.A.; Araújo, A.L.; Soares, C.M.; Soares, C.M. Multiobjective optimization for vibration reduction in composite plate structures using constrained layer damping. Comput. Struct. 2020, 232, 105810. [Google Scholar] [CrossRef]
- Xu, Z.D.; Huang, X.H.; Xu, F.H.; Yuan, J. Parameters optimization of vibration isolation and mitigation system for precision platforms using non-dominated sorting genetic algorithm. Mech. Syst. Signal Process. 2019, 128, 191–201. [Google Scholar] [CrossRef]
- Wang, W.; Cheng, G.; Li, Q. Fast dynamic performance optimization of complicated beam-type structures based on two new reduced physical models. Eng. Optim. 2013, 45, 835–850. [Google Scholar] [CrossRef]
- Feeny, B.F.; Kappagantu, R. On the physical interpretation of proper orthogonal modes in vibrations. J. Sound Vib. 1998, 211, 607–616. [Google Scholar] [CrossRef]
- Lu, K.; Jin, Y.; Chen, Y.; Yang, Y.; Hou, L.; Zhang, Z.; Li, Z.; Fu, C. Review for order reduction based on proper orthogonal decomposition and outlooks of applications in mechanical systems. Mech. Syst. Signal Process. 2019, 123, 264–297. [Google Scholar] [CrossRef]
- Wu, M.Y.; Wu, Y.; Yuan, X.Y.; Chen, Z.H.; Wu, W.T.; Aubry, N. Fast prediction of flow field around airfoils based on deep convolutional neural network. Appl. Sci. 2022, 12, 12075. [Google Scholar] [CrossRef]
- Su, Y.; Di, J.; Li, J.; Xia, F. Wind pressure field reconstruction and prediction of large-span roof structure with folded-plate type based on proper orthogonal decomposition. Appl. Sci. 2022, 12, 8430. [Google Scholar] [CrossRef]
- Rowley, C.W.; Colonius, T.; Murray, R.M. Model reduction for compressible flows using POD and Galerkin projection. Phys. D Nonlinear Phenom. 2004, 189, 115–129. [Google Scholar] [CrossRef]
- Ghoman, S.; Wang, Z.; Chen, P.; Kapania, R. A POD-based reduced order design scheme for shape optimization of air vehicles. In Proceedings of the 53rd AIAA/ASME/ASCE/AHS/ASC Structures, Structural Dynamics and Materials Conference 20th AIAA/ASME/AHS Adaptive Structures Conference 14th AIAA, Honolulu, HI, USA, 23–26 April 2012. [Google Scholar]
- Moore, J.; Cutright, S.; Viken, J.K. Structural design exploration of an electric powered multi-propulsor wing configuration. In Proceedings of the 58th AIAA/ASCE/AHS/ASC Structures, Structural Dynamics, and Materials Conference, Grapevine, TX, USA, 9–13 January 2017. [Google Scholar]
- Azam, S.E.; Mariani, S. Investigation of computational and accuracy issues in POD-based reduced order modeling of dynamic structural systems. Eng. Struct. 2013, 54, 150–167. [Google Scholar] [CrossRef]
- Benner, P.; Gugercin, S.; Willcox, K. A survey of projection-based model reduction methods for parametric dynamical systems. SIAM Rev. 2015, 57, 483–531. [Google Scholar] [CrossRef]
- Baur, U.; Beattie, C.; Benner, P.; Gugercin, S. Interpolatory projection methods for parameterized model reduction. SIAM J. Sci. Comput. 2011, 33, 2489–2518. [Google Scholar] [CrossRef]
- Gugercin, S.; Antoulas, A.C. A survey of model reduction by balanced truncation and some new results. Int. J. Control 2004, 77, 748–766. [Google Scholar] [CrossRef]
- Bamer, F.; Bucher, C. Application of the proper orthogonal decomposition for linear and nonlinear structures under transient excitations. Acta Mech. 2012, 223, 2549–2563. [Google Scholar] [CrossRef]
- Tian, K.; Wang, B.; Zhou, Y.; Waas, A.M. Proper-orthogonal-decomposition-based buckling analysis and optimization of hybrid fiber composite shells. AIAA J. 2018, 56, 1723–1730. [Google Scholar] [CrossRef]
- Tian, K.; Ma, X.; Li, Z.; Lin, S.; Wang, B.; Waas, A.M. A multi-fidelity competitive sampling method for surrogate-based stacking sequence optimization of composite shells with multiple cutouts. Int. J. Solids Struct. 2020, 193, 1–12. [Google Scholar] [CrossRef]
- Ritto, T.G.; Buezas, F.S.; Sampaio, R. A new measure of efficiency for model reduction: Application to a vibroimpact system. J. Sound Vib. 2011, 330, 1977–1984. [Google Scholar] [CrossRef]
- Li, Y.; Tian, K.; Hao, P.; Wang, B. Optimization design for vibration reduction of complex configuration structures via global reduced-order basis. Eng. Optim. 2021, 53, 1819–1833. [Google Scholar] [CrossRef]
- Humar, J. Dynamics of Structures, 3rd ed.; CRC Press: Boca Raton, FL, USA, 2012; pp. 399–477. [Google Scholar]
- Xu, S.; Liu, H.; Wang, X.; Jiang, X. A robust error-pursuing sequential sampling approach for global metamodeling based on voronoi diagram and cross validation. J. Mech. Des. 2014, 136, 071009. [Google Scholar] [CrossRef]
- Amine Bouhlel, M.; Bartoli, N.; Regis, R.G.; Otsmane, A.; Morlier, J. Efficient global optimization for high-dimensional constrained problems by using the Kriging models combined with the partial least squares method. Eng. Optim. 2018, 50, 2038–2053. [Google Scholar] [CrossRef]
- Kaymaz, I. Application of kriging method to structural reliability problems. Struct. Saf. 2005, 27, 133–151. [Google Scholar] [CrossRef]
- Jeong, S.; Murayama, M.; Yamamoto, K. Efficient optimization design method using kriging model. J. Aircr. 2005, 42, 413–420. [Google Scholar] [CrossRef]
- Cheng, W.; Wang, Z.; Zhou, L.; Sun, X.; Shi, J. Influences of shield ratio on the infrared signature of serpentine nozzle. Aerosp. Sci. Technol. 2017, 71, 299–311. [Google Scholar] [CrossRef]
- Liu, L.K.; Zheng, G.T. Parameter analysis of PAF for whole-spacecraft vibration isolation. Aerosp. Sci. Technol. 2007, 11, 464–472. [Google Scholar] [CrossRef]
- Ariane 5-Payload Adapter. Available online: https://www.esa.int/ESA_Multimedia/Images/2001/11/Ariane_5_-_payload_adapter (accessed on 20 November 2022).
- MSG-1 Is Installed on Its Payload Adapter, the ACU 1666 IN S5B Building. Available online: https://www.esa.int/ESA_Multimedia/Images/2002/08/MSG-1_is_installed_on_its_payload_adapter_the_ACU_1666_IN_S5B_building2 (accessed on 11 November 2022).




















| Global POD ROM | Modal Superposition Method | Modal Acceleration Method | |
|---|---|---|---|
| Computation Time [s] | 114.6 | 436.2 | 562.3 |
| Maximum Energy Relative Error [%] | 0.5 | 202.3 | 2.0 |
| Lower Bound | Upper Bound | Initial Value | Optimized Value (ROM) | Optimized Value (FOM) | |
|---|---|---|---|---|---|
| S1 [mm] | 1.50 | 4.50 | 3.00 | 1.50 | 4.50 |
| S2 [mm] | 1.50 | 4.50 | 3.00 | 3.68 | 4.12 |
| S3 [mm] | 1.50 | 4.50 | 3.00 | 4.48 | 2.01 |
| S4 [mm] | 1.50 | 4.50 | 3.00 | 2.93 | 1.50 |
| S5 [mm] | 1.50 | 4.50 | 3.00 | 4.50 | 2.23 |
| T1 [mm] | 1.50 | 4.50 | 3.00 | 1.50 | 3.76 |
| T2 [mm] | 1.50 | 4.50 | 3.00 | 1.70 | 1.64 |
| T3 [mm] | 1.50 | 4.50 | 3.00 | 1.66 | 3.78 |
| T4 [mm] | 1.50 | 4.50 | 3.00 | 3.43 | 2.63 |
| T5 [mm] | 1.50 | 4.50 | 3.00 | 3.11 | 4.40 |
| Ta [mm] | 1.50 | 4.50 | 3.00 | 4.23 | 2.61 |
| Te [db] | - | - | 1409.2 | 287.0 | 695.8 |
| mass [kg] | - | - | 657.92 | 657.74 | 635.19 |
| resonant frequency [Hz] | - | - | 60.1 | 60.2 | 65.8 |
| Lower Bound | Upper Bound | Initial Value | Optimized Value (ROM) | Optimized Value (FOM) | |
|---|---|---|---|---|---|
| T1 [mm] | 1.50 | 4.50 | 3.00 | 4.50 | 4.39 |
| T2 [mm] | 1.50 | 4.50 | 3.00 | 4.27 | 3.39 |
| T3 [mm] | 1.50 | 4.50 | 3.00 | 3.40 | 3.72 |
| T4 [mm] | 1.50 | 4.50 | 3.00 | 2.56 | 2.15 |
| T5 [mm] | 1.50 | 4.50 | 3.00 | 4.47 | 3.74 |
| T6 [mm] | 1.50 | 4.50 | 3.00 | 3.11 | 1.50 |
| T7 [mm] | 1.50 | 4.50 | 3.00 | 1.50 | 2.97 |
| T8 [mm] | 1.50 | 4.50 | 3.00 | 1.52 | 2.94 |
| T9 [mm] | 1.50 | 4.50 | 3.00 | 1.97 | 3.27 |
| Te [db] | - | - | 2117.8 | 1450.0 | 1821.4 |
| mass [kg] | - | - | 5.64 | 5.59 | 5.59 |
| resonant frequency [Hz] | - | - | 37.6 | 40.6 | 39.2 |
Disclaimer/Publisher’s Note: The statements, opinions and data contained in all publications are solely those of the individual author(s) and contributor(s) and not of MDPI and/or the editor(s). MDPI and/or the editor(s) disclaim responsibility for any injury to people or property resulting from any ideas, methods, instructions or products referred to in the content. |
© 2022 by the authors. Licensee MDPI, Basel, Switzerland. This article is an open access article distributed under the terms and conditions of the Creative Commons Attribution (CC BY) license (https://creativecommons.org/licenses/by/4.0/).
Share and Cite
Shi, Y.; Ke, Z.; Sun, W.; Zhang, P.; Yang, Q.; Tian, K. Fast Vibration Reduction Optimization Approach for Complex Thin-Walled Shells Accelerated by Global Proper Orthogonal Decomposition Reduced-Order Model. Appl. Sci. 2023, 13, 472. https://doi.org/10.3390/app13010472
Shi Y, Ke Z, Sun W, Zhang P, Yang Q, Tian K. Fast Vibration Reduction Optimization Approach for Complex Thin-Walled Shells Accelerated by Global Proper Orthogonal Decomposition Reduced-Order Model. Applied Sciences. 2023; 13(1):472. https://doi.org/10.3390/app13010472
Chicago/Turabian StyleShi, Yongxin, Zhao Ke, Wei Sun, Peng Zhang, Qiang Yang, and Kuo Tian. 2023. "Fast Vibration Reduction Optimization Approach for Complex Thin-Walled Shells Accelerated by Global Proper Orthogonal Decomposition Reduced-Order Model" Applied Sciences 13, no. 1: 472. https://doi.org/10.3390/app13010472
APA StyleShi, Y., Ke, Z., Sun, W., Zhang, P., Yang, Q., & Tian, K. (2023). Fast Vibration Reduction Optimization Approach for Complex Thin-Walled Shells Accelerated by Global Proper Orthogonal Decomposition Reduced-Order Model. Applied Sciences, 13(1), 472. https://doi.org/10.3390/app13010472

