Influence of Fracture Geometric Characteristics on Fractured Rock Slope Stability
Abstract
1. Introduction
2. Methodology
2.1. DFN-DEC Model
- (1)
- Sufficient data are collected about the fracture characteristics (e.g., strike, dip, trace length, spacing, and roughness) via core logging, exposure mapping (e.g., scan line or window mapping), or other methods. Then, these fractures are divided into different sets according to the strike and dip.
- (2)
- For each fracture set, statistical analysis of each fracture characteristic is carried out separately, and their statistical parameters are obtained (i.e., the mean , the standard deviation , and the probability distribution model).
- (3)
- Based on the statistical parameters, the values of fracture characteristics for each fracture set are reproduced using the Monte Carlo sampling method in MATLAB. Note that setting specific dip and spacing thresholds filter out data that tend to cause mesh dissection errors.
- (4)
- The slope model with discrete fractures is constructed using the DFN command through the recognizable txt file. Then, the factor of safety Fs of the rock slope is calculated using the strength reduction method (SRM) embedded in 3DEC software.
2.2. Probabilistic Analysis of Slope Stability
3. Example Application
3.1. Geological Setting of Rock Slope
3.2. Model Setup
3.3. Slope Stability Analysis Based on the DFN-DEC Model
3.4. Probabilistic Analysis
4. Sensitive or Parametric Stability Analyses
4.1. Influence of Fracture Trace Length
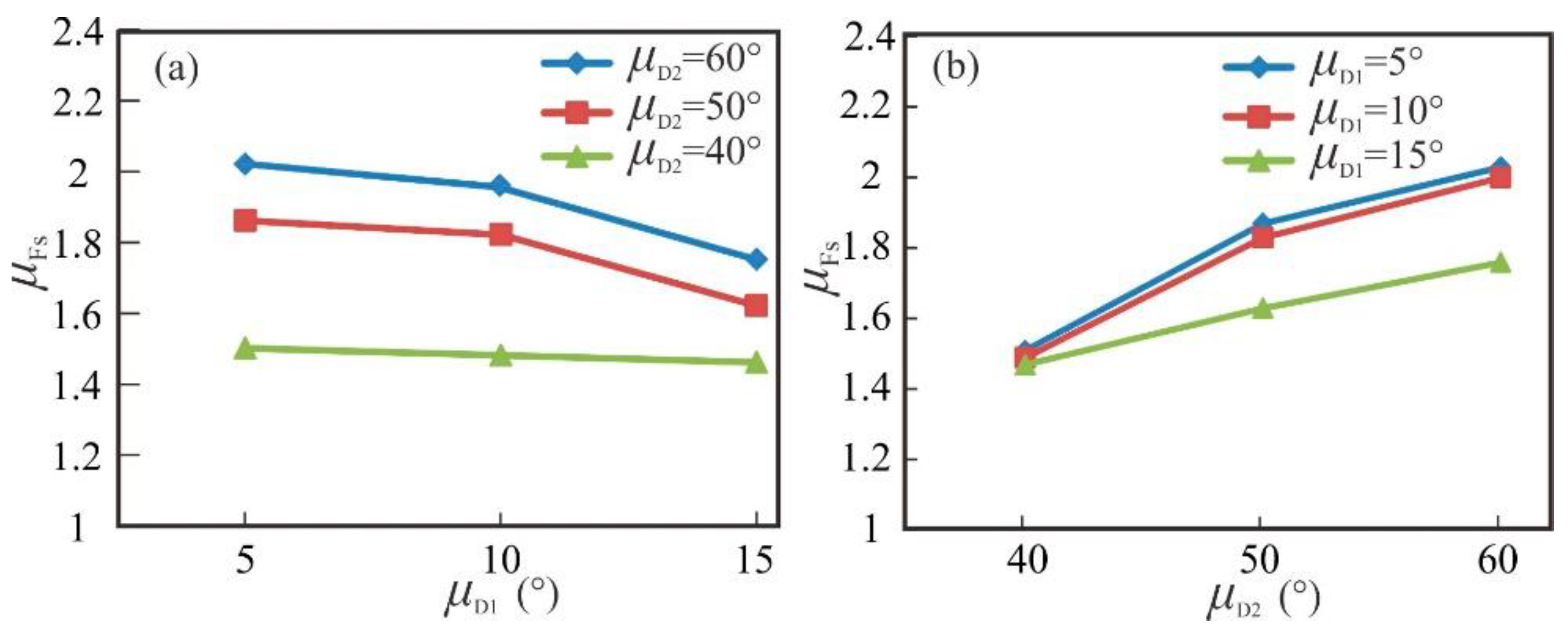
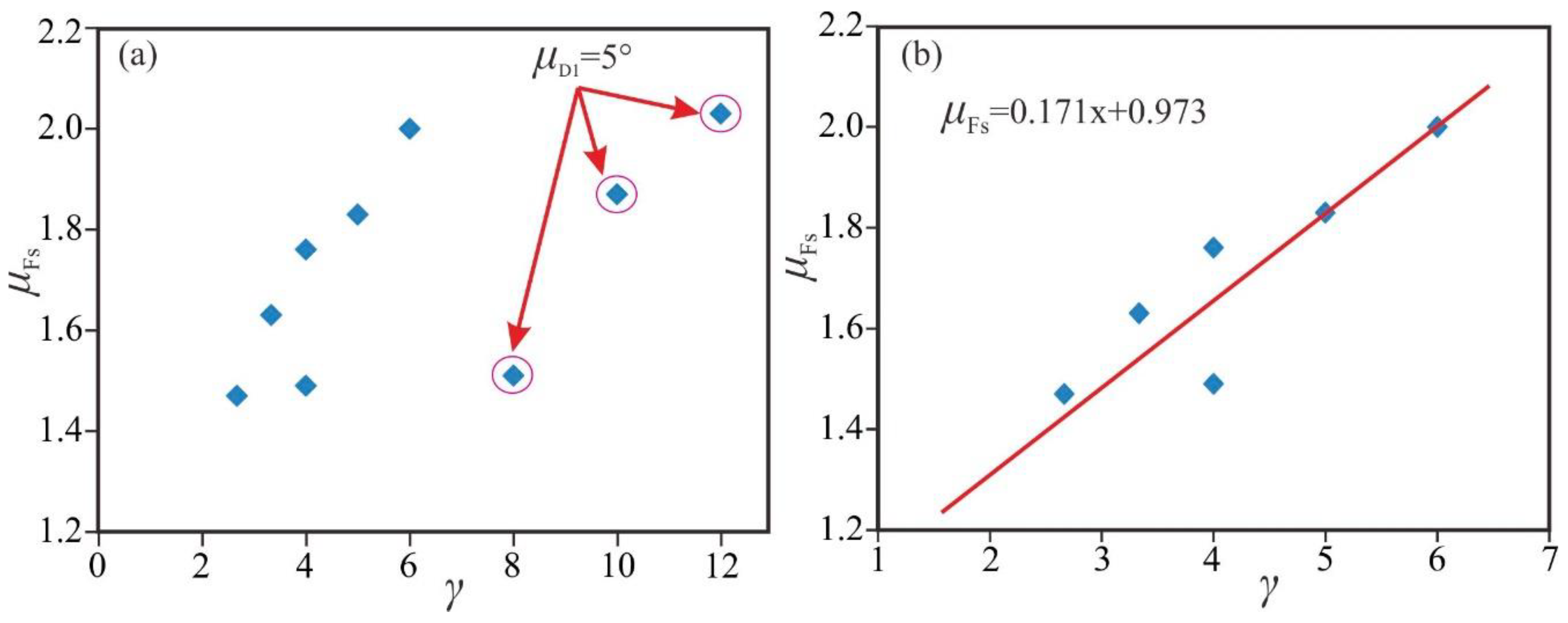
4.2. Influence of Fracture Dip
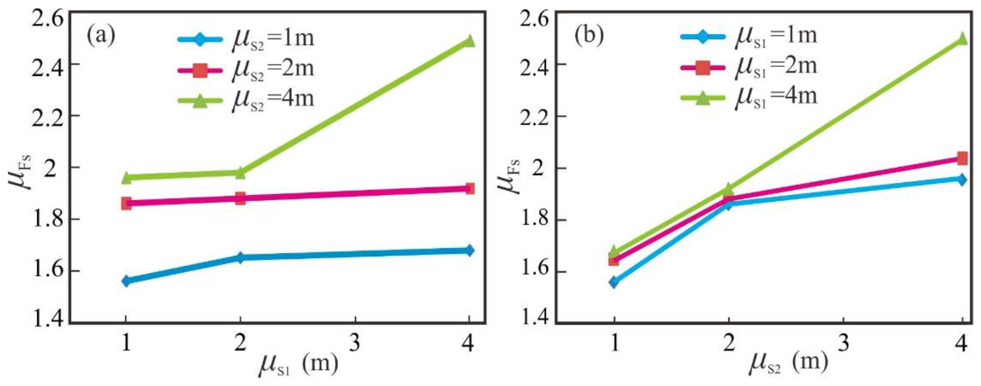
4.3. Influence of Fracture Spacing
5. Conclusions
- (1)
- The results indicate that the proposed DFN-DEC model based on the MATLAB platform is adequate, robust, and can generate more freedom and realistic fracture networks. The Monte Carlo simulation method is appropriate to estimate the slope stability uncertainty caused by randomness in the geometry of fractures.
- (2)
- Although the stability of slopes can be determined by deterministic analysis, the result of one-time realization is highly uncertain due to the random fractures. By means of probabilistic analysis (i.e., multiple realizations), we can obtain a more accurate stability assessment result of a fractured rock slope by analyzing the obtained , , and COV.
- (3)
- The maximum changes in are 0.66, 0.52, and 0.82 when , , and increase in their corresponding interval, while the changes of are only 0.31, 0.27, and 0.54 as , , and increase. The result indicates that geometric characteristics related to inclined fractures have a much greater influence on than those related to horizontal fractures. Further, the mean stability of the slope decreases with the increase in , , and , increases gradually with the increase in , , and .
- (4)
- These conclusions can be well applied in engineering practice, e.g., preliminary evaluation of the slope stability according to the statistics of fracture geometric characteristics.
6. Limitations and Recommendations
Author Contributions
Funding
Institutional Review Board Statement
Informed Consent Statement
Data Availability Statement
Acknowledgments
Conflicts of Interest
References
- Pathak, S.; Nilsen, B. Probabilistic rock slope stability analysis for Himalayan conditions. Bull. Eng. Geol. Environ. 2004, 63, 25–32. [Google Scholar] [CrossRef]
- Wang, X.; Wang, H.; Liang, R.Y. A method for slope stability analysis considering subsurface stratigraphic uncertainty. Landslides 2018, 15, 925–936. [Google Scholar] [CrossRef]
- Gravanis, E.; Pantelidis, L.; Griffiths, D.V. An analytical solution in probabilistic rock slope stability assessment based on random fields. Int. J. Rock Mech. Min. Sci. 2014, 71, 19–24. [Google Scholar] [CrossRef]
- Ceryan, N.; Kesimal, A.; Ceryan, S. Probabilistic analysis applied to rock slope stability: A case study from Northeast Turkey. In Integrating Disaster Science and Management; Elsevier: Amsterdam, The Netherlands, 2018; pp. 221–261. [Google Scholar]
- Park, H.J.; West, T.R.; Woo, I. Probabilistic analysis of rock slope stability and random properties of discontinuity parameters, Interstate Highway 40, Western North Carolina, USA. Eng. Geol. 2005, 79, 230–250. [Google Scholar] [CrossRef]
- Johari, A.; Fazeli, A.; Javadi, A.A. An investigation into application of jointly distributed random variables method in reliability assessment of rock slope stability. Comput. Geotech. 2013, 47, 42–47. [Google Scholar] [CrossRef]
- Pandit, B.; Kumar, A.; Tiwari, G. Assessing the applicability of local and global sensitivity approaches and their practical utility for probabilistic analysis of rock slope stability problems: Comparisons and implications. Acta Geotech. 2022, 17, 1–23. [Google Scholar] [CrossRef]
- Duzgun, H.S.B.; Bhasin, R.K. Probabilistic stability evaluation of Oppstadhornet rock slope, Norway. Rock Mech. Rock Eng. 2009, 42, 729–749. [Google Scholar] [CrossRef]
- Park, H.J.; Um, J.G.; Woo, I.; Kim, J.W. Application of fuzzy set theory to evaluate the probability of failure in rock slopes. Eng. Geol. 2012, 125, 92–101. [Google Scholar] [CrossRef]
- Griffiths, D.V.; Huang, J.; Fenton, G.A. Influence of spatial variability on slope reliability using 2-D random fields. J. Geotech. Geoenviron. Eng. 2009, 135, 1367–1378. [Google Scholar] [CrossRef]
- Brideau, M.A.; McDougall, S.; Stead, D.; Evans, S.G.; Couture, R.; Turner, K. Three-dimensional distinct element modelling and dynamic runout analysis of a landslide in gneissic rock, British Columbia, Canada. Bull. Eng. Geol. Environ. 2012, 71, 467–486. [Google Scholar] [CrossRef]
- Havaej, M. Characterisation of High Rock Slopes using an Integrated Numerical Modelling-Remote Sensing Approach. Ph.D. Thesis, Science: Department of Earth Sciences, University of Cambridge, Cambridge, UK, 2015. [Google Scholar]
- Singh, T.N.; Pradhan, S.P.; Vishai, V. Stability of slope in a fire prone opencast mine in Jharia coalfield, India. Arab. J. Geosci. 2013, 6, 417–427. [Google Scholar] [CrossRef]
- Vishal, V.; Pradhan, S.P.; Singh, T.N. An investigation on stability of mine slopes using two dimensional numerical modelling. J. Rock Mech. Tunn. Technol. 2015, 21, 49–56. [Google Scholar]
- Wang, X.; Cai, M. A DFN–DEM multi-scale modeling approach for simulating tunnel excavation response in jointed rock masses. Rock Mech. Rock Eng. 2020, 53, 1053–1077. [Google Scholar] [CrossRef]
- Li, Y.; Chen, J.; Zhou, F.; Bao, Y.; Li, Z.; Song, S.; Cao, C. Stability evaluation of rock slope based on discrete fracture network and discrete element model: A case study for the right bank of Yigong Zangbu Bridge. Acta Geotech. 2022, 17, 1423–1441. [Google Scholar] [CrossRef]
- Havaej, M.; Coggan, J.; Stead, D.; Elmo, D. A combined remote sensing–numerical modelling approach to the stability analysis of Delabole Slate Quarry, Cornwall, UK. Rock Mech. Rock Eng. 2016, 49, 1227–1245. [Google Scholar] [CrossRef]
- Brideau, M.A.; Chauvin, S.; Andrieux, P.; Stead, D. Influence of 3D statistical discontinuity variability on slope stability conditions. Lateral 2012, 90, 587–593. [Google Scholar]
- Bonilla–Sierra, V.; Scholtès, L.; Donzé, F.V.; Elmouttie, M. DEM analysis of rock bridges and the contribution to rock slope stability in the case of translational sliding failures. Int. J. Rock Mech. Min. Sci. 2015, 80, 67–78. [Google Scholar] [CrossRef]
- Elmo, D.; Clayton, C.; Rogers, S.; Beddoes, R.; Greer, S. Numerical simulations of potential rock bridge failure within a naturally fractured rock mass. In Proceedings of the International Symposium on Rock Slope Stability in Open Pit Mining and Civil Engineering (Slope Stability 2011), Perth, Australia, 26–28 October 2011; pp. 18–21. [Google Scholar]
- Brideau, M.A.; Stead, D. Evaluating kinematic controls on planar translational slope failure mechanisms using three-dimensional distinct element modelling. Geotech. Geol. Eng. 2012, 30, 991–1011. [Google Scholar] [CrossRef]
- Bonilla-Sierra, V.; Scholtes, L.; Donzé, F.V.; Elmouttie, M.K. Rock slope stability analysis using photogrammetric data and DFN–DEM modelling. Acta Geotech. 2015, 10, 497–511. [Google Scholar] [CrossRef]
- Shaunik, D.; Singh, M. Bearing capacity of foundations on rock slopes intersected by non-persistent discontinuity. Int. J. Min. Sci. Technol. 2020, 30, 669–674. [Google Scholar] [CrossRef]
- Hammah, R.E.; Yacoub, T.E.; Curran, J.H. Probabilistic slope analysis with the finite element method. In Proceedings of the 43rd US Rock Mechanics Symposium & 4th US-Canada Rock Mechanics Symposium, OnePetro, Asheville, NC, USA, 28 June–1 July 2009. [Google Scholar]
- Wang, Y.; Cao, Z.; Au, S.K. Efficient Monte Carlo simulation of parameter sensitivity in probabilistic slope stability analysis. Comput. Geotech. 2010, 37, 1015–1022. [Google Scholar] [CrossRef]
- Wang, Y.; Cao, Z.; Au, S.K. Practical reliability analysis of slope stability by advanced Monte Carlo simulations in a spreadsheet. Can. Geotech. J. 2011, 48, 162–172. [Google Scholar] [CrossRef]











| Dip Direction/(°) | Dip/(°) | Trace Length/(m) | Spacing/(m) | Density | |||||||||
|---|---|---|---|---|---|---|---|---|---|---|---|---|---|
| Model | Mean | Std Dev. | Model | Mean | Std Dev. | Model | Mean | Std Dev. | Model | Mean | Std Dev. | ||
| Set 1 | a | 54 | 4.5 | a | 3 | 1.6 | b | 8.5 | 2 | c | 2.7 | 1 | 0.0047 |
| Set 2 | a | 97 | 3.2 | a | 50 | 2.5 | b | 5.9 | 1.3 | c | 1.8 | 0.8 | 0.0819 |
| Weight/(kN/m−3) | Bulk/GPa | Poisson’s Ratio | Cohesion/MPa | Friction Angle/(°) | Tensile/MPa |
|---|---|---|---|---|---|
| 23.5 | 9.07 | 0.26 | 0.22 | 40 | 5 |
| jkn/(GPa/m) | jks/(GPa/m) | jcohesion/KPa | jfriction/(°) |
|---|---|---|---|
| 2 | 1 | 40 | 22 |
| Case 0 | 8.5 | 5.9 | 0.23 | 1.78 |
| Case 1 | 15 | 3 | 0.12 | 2.05 |
| Case 2 | 9 | 3 | 0.12 | 2.09 |
| Case 3 | 3 | 3 | 0.12 | 2.36 |
| Case 4 | 15 | 9 | 0.35 | 1.64 |
| Case 5 | 9 | 9 | 0.35 | 1.69 |
| Case 6 | 3 | 9 | 0.35 | 1.76 |
| Case 7 | 15 | 15 | 0.58 | 1.58 |
| Case 8 | 9 | 15 | 0.58 | 1.62 |
| Case 9 | 3 | 15 | 0.58 | 1.7 |
| Case 0 | 3 | 50 | 16.7 | 1.78 |
| Case 1 | 15 | 60 | 4 | 1.76 |
| Case 2 | 10 | 60 | 6 | 2 |
| Case 3 | 5 | 60 | 12 | 2.03 |
| Case 4 | 15 | 50 | 3.3 | 1.63 |
| Case 5 | 10 | 50 | 5 | 1.83 |
| Case 6 | 5 | 50 | 10 | 1.87 |
| Case 7 | 15 | 40 | 2.7 | 1.47 |
| Case 8 | 10 | 40 | 4 | 1.49 |
| Case 9 | 5 | 40 | 8 | 1.51 |
| Case 0 | 2.7 | 1.8 | 1.78 |
| Case 1 | 4 | 1 | 1.68 |
| Case 2 | 2 | 1 | 1.65 |
| Case 3 | 1 | 1 | 1.56 |
| Case 4 | 4 | 2 | 1.92 |
| Case 5 | 2 | 2 | 1.88 |
| Case 6 | 1 | 2 | 1.86 |
| Case 7 | 4 | 4 | 2.5 |
| Case 8 | 2 | 4 | 1.98 |
| Case 9 | 1 | 4 | 1.96 |
Disclaimer/Publisher’s Note: The statements, opinions and data contained in all publications are solely those of the individual author(s) and contributor(s) and not of MDPI and/or the editor(s). MDPI and/or the editor(s) disclaim responsibility for any injury to people or property resulting from any ideas, methods, instructions or products referred to in the content. |
© 2022 by the authors. Licensee MDPI, Basel, Switzerland. This article is an open access article distributed under the terms and conditions of the Creative Commons Attribution (CC BY) license (https://creativecommons.org/licenses/by/4.0/).
Share and Cite
Jia, L.; Cai, J.; Wu, L.; Qin, T.; Song, K. Influence of Fracture Geometric Characteristics on Fractured Rock Slope Stability. Appl. Sci. 2023, 13, 236. https://doi.org/10.3390/app13010236
Jia L, Cai J, Wu L, Qin T, Song K. Influence of Fracture Geometric Characteristics on Fractured Rock Slope Stability. Applied Sciences. 2023; 13(1):236. https://doi.org/10.3390/app13010236
Chicago/Turabian StyleJia, Lin, Jingsen Cai, Li Wu, Tiange Qin, and Kun Song. 2023. "Influence of Fracture Geometric Characteristics on Fractured Rock Slope Stability" Applied Sciences 13, no. 1: 236. https://doi.org/10.3390/app13010236
APA StyleJia, L., Cai, J., Wu, L., Qin, T., & Song, K. (2023). Influence of Fracture Geometric Characteristics on Fractured Rock Slope Stability. Applied Sciences, 13(1), 236. https://doi.org/10.3390/app13010236

