Sign in to use this feature.

Years

Between: -

Subjects

remove_circle_outline
remove_circle_outline
remove_circle_outline
remove_circle_outline
remove_circle_outline

Journals

remove_circle_outline

Article Types

Countries / Regions

Search Results (1)

Search Parameters:
Keywords = DFN-DEC model

Order results
Result details
Results per page
Select all
Export citation of selected articles as:
13 pages, 4292 KB  
Article
Influence of Fracture Geometric Characteristics on Fractured Rock Slope Stability
by Lin Jia, Jingsen Cai, Li Wu, Tiange Qin and Kun Song
Appl. Sci. 2023, 13(1), 236; https://doi.org/10.3390/app13010236 - 24 Dec 2022
Cited by 5 | Viewed by 2788
Abstract
Analysis of the stability of slopes in fractured rock masses is not trivial and is fraught with uncertainty and risk. A DFN-DEC model (Discrete Fracture Network-Distinct Element Code) based on the MATLAB platform is developed to evaluate the stability of rock slopes with [...] Read more.
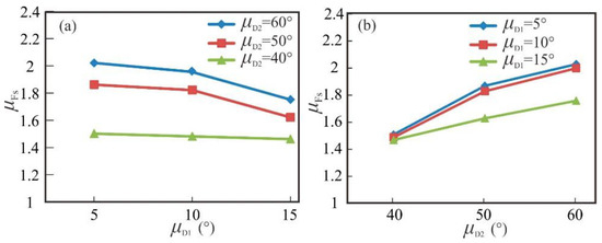
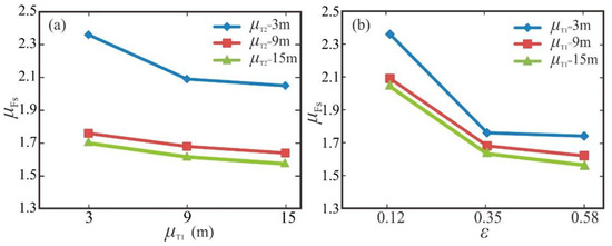
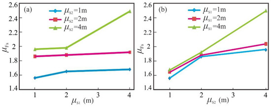
Analysis of the stability of slopes in fractured rock masses is not trivial and is fraught with uncertainty and risk. A DFN-DEC model (Discrete Fracture Network-Distinct Element Code) based on the MATLAB platform is developed to evaluate the stability of rock slopes with random fractures. Then, the influences of mean values of geometric characteristics (i.e., the trace length T, the dip D, and the spacing S) for both the horizontal (denoted with 1) and inclined (denoted with 2) fractures on the mean slope stability are investigated. The results indicate that the proposed DFN-DEC model based on the MATLAB platform is adequate, robust, and can generate more realistic fracture networks. By means of probabilistic analysis (i.e., Monte Carlo simulation), we can obtain a more accurate stability assessment result of fractured rock slopes. In addition, it is found that the μFs (the mean of Fs) of slopes decreases with the increase in μT1, μT2 (the mean trace length of horizontal and inclined fractures, respectively) and μD1 (the mean dip of horizontal fractures), and increases gradually with the increase in μD2 (the mean dip of inclined fractures), μS1 and μS2 (the mean spacing of horizontal and inclined fractures, respectively). Furthermore, the geometric characteristics related to inclined fractures have a much greater influence on μFS than that related to horizontal fractures. This study can be well applied in engineering practice, e.g., preliminary evaluation of the slope stability according to the statistics of fracture geometric characteristics. Full article
Show Figures

Figure 1

Back to TopTop