Use of Vine Shoot Waste for Manufacturing Innovative Reinforced Cement Composites
Abstract
1. Introduction
2. Materials and Methods
2.1. Chemicals and Raw Materials
2.2. Vine Shoot Waste Cement Nanocomposite Production
2.3. Chemical Characterization of Vine Shoot Waste
2.4. Chemical Characterization of Cement
2.5. Structural Characterization
3. Results and Discussion
3.1. Chemical Characterization
3.2. Chemical Characterization of Cement
3.3. Thermogravimetric Analysis (TGA)
3.4. X-ray Diffraction (XRD)
3.5. Scanning Electron Microscopy (SEM)
3.6. Fourier-Transform Infrared (FT-IR) Spectroscopy
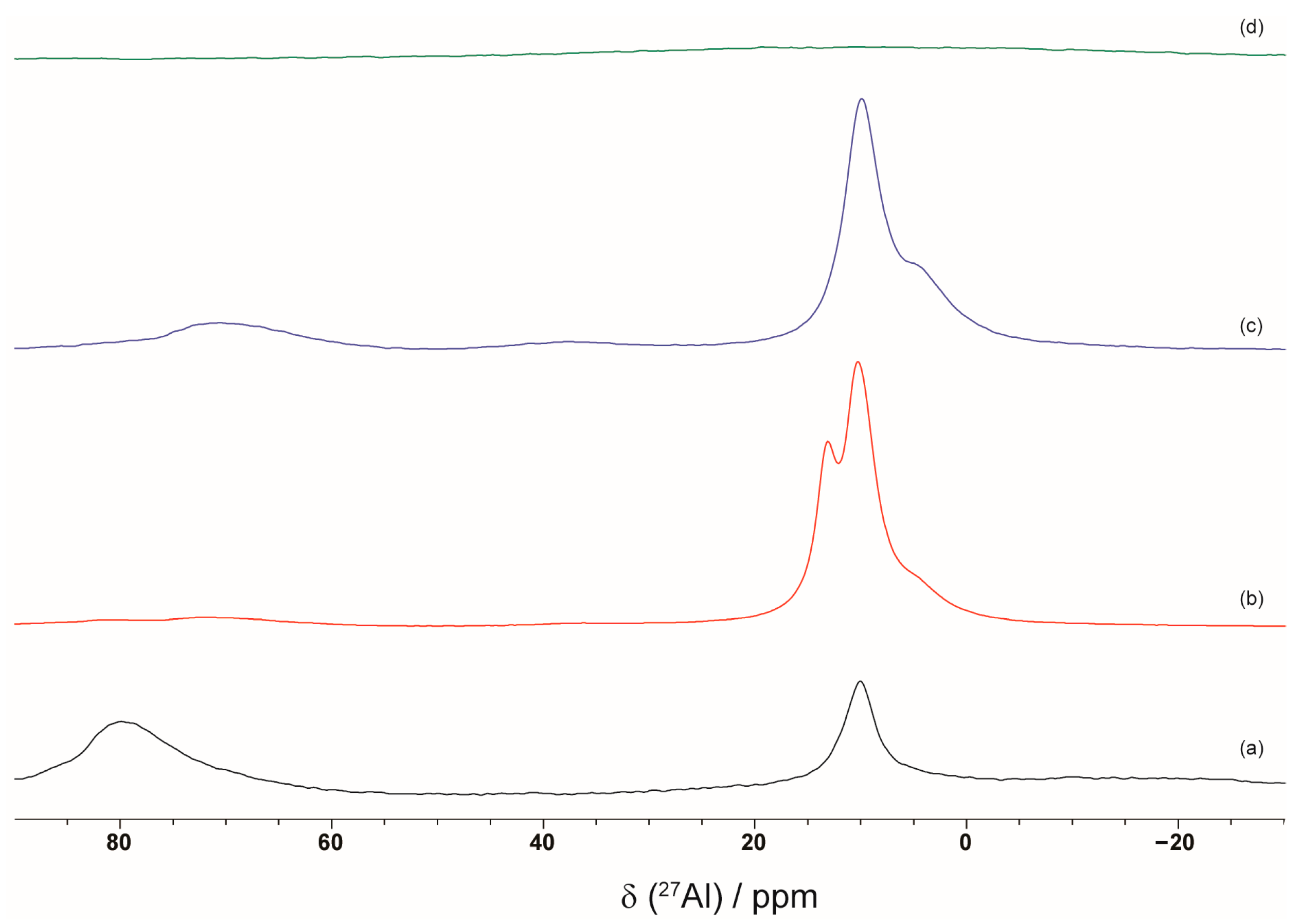
3.7. Nuclear Magnetic Resonance (NMR) Spectroscopy
4. Conclusions
Author Contributions
Funding
Institutional Review Board Statement
Informed Consent Statement
Conflicts of Interest
References
- Pop, A.; Ardelean, I. Monitoring the size evolution of capillary pores in cement paste during the early hydration via diffusion in internal gradients. Cem. Concr. Res. 2015, 77, 76–81. [Google Scholar] [CrossRef]
- Lila, K.; Belaadi, S.; Solimando, R.; Zirour, F.R. Valorisation of organic waste: Use of olive kernels and pomace for cement manufacture. J. Clean. Prod. 2020, 277, 123703. [Google Scholar] [CrossRef]
- Nodehi, M.; Taghvaee, V.M. Sustainable concrete for circular economy: A review on use of waste glass. Glass Struct. Eng. 2022, 7, 3–22. [Google Scholar] [CrossRef]
- EN 197-1/2011; Cement—Part 1: COMPOSITION, Specifications and Conformity Criteria for Common Cements. Available online: https://standards.iteh.ai/catalog/standards/cen/64d327b1-d5ac-45e3-8b04-fafec9e0698e/en-197-1-2011#:~:text=This%20European%20Standard%20defines%20and,furnace%20cements%20and%20their%20constituents (accessed on 25 April 2022).
- Kosmatka, S.H.; Kerkhoff, B.; Panarese, W.C. Design and Control of Concrete Mixtures, 14th ed.; Portland Cement Association: Skokie, IL, USA, 2002; pp. 21–56. [Google Scholar]
- Usman, M.; Khan, A.Y.; Farooq, S.H.; Hanif, A.; Tang, S.; Khushnood, R.A.; Rizwan, S.A. Eco-friendly self-compacting cement pastes incorporating wood waste as cement replacement: A feasibility study. J. Clean. Prod. 2018, 190, 679–688. [Google Scholar] [CrossRef]
- Bergeron, F.C. Energy and climate impact assessment of waste wood recovery in Switzerland. Biomass Bioenerg. 2016, 94, 245–257. [Google Scholar] [CrossRef]
- Faraca, G.; Tonini, D.; Astrup, T.F. Dynamic accounting of greenhouse gas emissions from cascading utilisation of wood waste. Sci. Total Environ. 2019, 651, 2689–2700. [Google Scholar] [CrossRef]
- Jamora, J.B.; Emily, S.; Gudia, L.; Woo, A.; Giduquio, M.B.; Wilbert, J.; Orilla, A.; Loretero, M.E. Potential reduction of greenhouse gas emission through the use of sugarcane ash in cement-based industries: A case in the Philippines. J. Clean. Prod. 2019, 239, 118072. [Google Scholar] [CrossRef]
- Ramage, M.H.; Burridge, H.; Busse-Wicher, M.; Fereday, G.; Reynolds, T.; Shah, D.U.; Wu, G.; Yu, L.; Fleming, P.; Densley-Tingley, D.; et al. The wood from the trees: The use of timber in construction. Renew. Sustain. Energy Rev. 2017, 68, 333–359. [Google Scholar] [CrossRef]
- Ma, S.; Zhang, Z.; Liu, X.; Li, Y.; Zeng, Q.; Zhang, W. Reuse of red mud in magnesium potassium phosphate cement: Reaction mechanism and performance optimization. J. Build. Eng. 2022, 16, 105290. [Google Scholar] [CrossRef]
- Nascimento, E.S.S.; de Souza, P.C.; de Oliveira, H.A.; Junior, C.M.M.; de Oliveira Almeida, V.G.; de Melo, F.M.C. Soil-cement brick with granite cutting residue reuse. J. Clean. Prod. 2021, 321, 129002. [Google Scholar] [CrossRef]
- Geng, C.; Wua, X.; Yao, X.; Wanga, C.; Mei, Z.; Jiang, T. Reusing waste glass powder to improve the strength stability of cement at HTHP. J. Pet. Sci. Eng. 2022, 213, 110394. [Google Scholar] [CrossRef]
- Kupwade-Patil, K.; Palkovic, S.D.; Bumajdad, A.; Soriano, C.; Büyüköztürk, O. Use of silica fume and natural volcanic ash as a replacement to Portland cement: Micro and pore structural investigation using NMR, XRD, FTIR and X-ray microtomography. Constr. Build. Mater. 2018, 158, 574–590. [Google Scholar] [CrossRef]
- Karade, S.R. Cement-bonded composites from lignocellulosic wastes. Constr. Build. Mater. 2010, 24, 1323–1330. [Google Scholar] [CrossRef]
- Gupta, S.; Kua, H.W.; Low, C.Y. Use of biochar as carbon sequestering additive in cement mortar. Cem. Concr. Compos. 2018, 87, 110–129. [Google Scholar] [CrossRef]
- Savastano, H., Jr.; Warden, P.G.; Coutts, R.S.P. Mechanically pulped sisal as reinforcement in cementitious matrices. Cem. Concr. Compos. 2003, 25, 311–319. [Google Scholar] [CrossRef]
- Scatolino, M.V.; Silva, D.W.; Mendes, R.F.; Mendes, L.M. Use of maize cob for production of particleboard. Cienc. Agrotecnol. 2013, 37, 330–337. [Google Scholar] [CrossRef]
- Tonoli, G.H.D.; Almeida, A.E.F.S.; Bassa, M.A.; Pereira-Da-Silva, A.; Oyakawa, D.; Savastano, H., Jr. Surface properties of eucalyptus pulp fibres as reinforcement of cement-based composites. Holzforschung 2010, 64, 595–601. [Google Scholar] [CrossRef]
- Savastano, H., Jr.; Fiorelli, J.; dos Santos, S.F. Sustainable and Nonconventional Construction Materials Using Inorganic Bonded Fiber Composites; Elsevier: Amsterdam, The Netherlands; Duxford, UK, 2017; pp. 4–16. [Google Scholar]
- Wong, V.; Chan, K.W.; Kwan, A.K.H. Applying theories of particle packing and rheology to concrete for sustainable development. Organ. Technol. Manag. Constr. Int. J. 2013, 5, 841855. [Google Scholar] [CrossRef]
- Vance, K.; Kumar, A.; Sant, G.; Neithalath, N. The rheological properties of ternary binders containing Portland cement, limestone, and metakaolin or fly ash. Cem. Concr. Res. 2013, 52, 196–207. [Google Scholar] [CrossRef]
- Lekshmi, M.S.; Vishnudas, S.; Anil, K.R. Lignocellulosic materials as reinforcement and replacement for binders in masonry mortar. Constr. Build. Mater. 2021, 282, 122607. [Google Scholar] [CrossRef]
- Manzone, M.; Paravidino, E.; Bonifacino, G.; Balsari, P. Biomass availability and quality produced by vineyard management during a period of 15 years. Renew. Energy 2016, 99, 465–471. [Google Scholar] [CrossRef]
- Pizzi, A.; Pedretti, E.F.; Duca, D.; Rossini, G.; Mengarelli, C.; Ilari, A.; Mancini, M.; Toscano, G. Emissions of heating appliances fuelled with agropellet produced from vine pruning residues and environmental aspects. Renew. Energy 2018, 121, 513–520. [Google Scholar] [CrossRef]
- Zanetti, M.; Brandelet, B.; Marini, D.; Sgarbossa, A.; Giorio, C.; Badocco, D.; Tapparo, A.; Grigolato, S.; Rogaume, C.; Rogaume, Y.; et al. Vineyard pruning residues pellets for use in domestic appliances: A quality assessment according to the EN ISO 17225. J. Agric. Eng. Res. 2017, 48, 99. [Google Scholar] [CrossRef]
- El Achaby, M.; El Miri, N.; Hannache, H.; Gmouh, S.; Youcef, H.B.; Aboulkas, A. Production of cellulose nanocrystals from vine shoots and their use for the development of nanocomposite materials. Int. J. Biol. Macromol. 2018, 117, 592–600. [Google Scholar] [CrossRef]
- Ntalos, G.A.; Grigoriou, A.H. Characterization and utilisation of vine prunings as a wood substitute for particleboard production. Ind. Crops Prod. 2002, 16, 59–68. [Google Scholar] [CrossRef]
- Muñoz, P.; Mendívil, M.A.; Letelier, V.; Morales, M.P. Thermal and mechanical properties of fired clay bricks made by using grapevine shoots as pore forming agent. Influence of particle size and percentage of replacement. Constr. Build. Mater. 2019, 224, 639–658. [Google Scholar] [CrossRef]
- Teramoto, Y.; Lee, S.-H.; Endo, T. Pretreatment of woody and herbaceous biomass for enzymatic saccharification using sulfuric acid-free ethanol cooking. Bioresour. Technol. 2008, 99, 8856–8863. [Google Scholar] [CrossRef]
- EN ISO 18134-3/2015; Solid Biofuels—Determination of Moisture Content—Oven Dry Method—Moisture in General Analysis Sample. Available online: https://www.iso.org/standard/61637.html (accessed on 25 April 2022).
- ASTM E1755-01/2020; Standard Test Method for Ash in Biomass. Available online: https://www.astm.org/e1755-01r20.html (accessed on 25 April 2022).
- Cadar, O.; Senila, M.; Hoaghia, M.-A.; Scurtu, D.; Miu, I.; Levei, E.A. Effects of thermal treatment on natural clinoptilolite-rich zeolite behavior in simulated biological fluids. Molecules 2020, 25, 2570. [Google Scholar] [CrossRef]
- ASTM C114/ 2018; Standard Test Methods for Chemical Analysis of Hydraulic Cement. Available online: https://www.astm.org/c0114-18.html (accessed on 25 April 2022).
- Senila, L.; Neag, E.; Torok, I.; Cadar, O.; Kovacs, E.; Tenu, I.; Roman, C. Vine shoots waste–new resources for bioethanol production. Rom. Biotechnol. Lett. 2020, 25, 1253–1259. [Google Scholar] [CrossRef]
- EN 196-2/2013; Methods of Testing Cement—Part 2: Chemical Analysis of Cement. Available online: https://standards.iteh.ai/catalog/standards/cen/47283941-90a2-43dc-8b2c-dea6208712a6/en-196-2-2013 (accessed on 25 April 2022).
- Kong, X.-M.; Liua, H.; Lu, Z.-B.; Wang, D.-M. The influence of silanes on hydration and strength development of cementitious systems. Cem. Concr. Res. 2015, 67, 168–178. [Google Scholar] [CrossRef]
- Javed, M.H.; Sikandar, M.A.; Ahmad, W.; Bashir, M.T.; Alrowais, R.; Wadud, M.B. Effect of various biochars on physical, mechanical, and microstructural characteristics of cement pastes and mortars. J. Build. Eng. 2022, 57, 104850. [Google Scholar] [CrossRef]
- Sousa, M.I.C.; da Silva Rego, J.H. Effect of nanosilica/metakaolin ratio on the calcium alumina silicate hydrate (C-A-S-H) formed in ternary cement pastes. J. Build. Eng. 2021, 38, 102226. [Google Scholar] [CrossRef]
- Çavdar, A.D.; Yel, H.; Torun, S.B. Microcrystalline cellulose addition effects on the properties of wood cement board. J. Build. Eng. 2022, 48, 103975. [Google Scholar] [CrossRef]
- Zeng, Q.; Li, K.; Fen-Chong, T.; Dangla, P. Determination of cement hydration and pozzolanic reaction extents for fly-ash cement pastes. Constr. Build. Mater. 2012, 27, 560–569. [Google Scholar] [CrossRef]
- Xu, G.; Tian, Q.; Miao, J.; Liu, J. Early-age hydration and mechanical properties of high volume slag and fly ash concrete at different curing temperatures. Constr. Build. Mater. 2017, 149, 367–377. [Google Scholar] [CrossRef]
- Song, Y.; Zhou, J.; Bian, Z.; Dai, G. Pore structure characterization of hardened cement paste by multiple methods. Adv. Mater. Sci. Eng. 2019, 2019, 3726953. [Google Scholar] [CrossRef]
- Liu, C.; Zhang, M.; Fang, G.; Bai, Y.; Zhang, Y. Modelling of capillary pore structure evolution in portland cement pastes based on irregular-shaped cement particles. Durability of Concrete Structures: Sixth International Conference—ICDCS 2018, 1st ed.; Basheer, P.A.M., Ed.; Whittles Publishing: Caithness, UK, 2018. [Google Scholar]
- Richardson, I.G. The nature of C-S-H in hardened cements. Cem. Concr. Res. 1999, 29, 1131–1147. [Google Scholar] [CrossRef]
- Bhat, P.A.; Debnath, N.C. Study of structures and properties of silica-based clusters and its application to modeling of nanostructures of cement paste by DFT methods. IOP Conf. Ser. Mater. Sci. Eng. 2013, 43, 012001. [Google Scholar] [CrossRef]
- Liu, Z.; Hana, C.; Li, Q.; Li, X.; Zhou, H.; Song, X.; Zu, F. Study on wood chips modification and its application in wood-cement composites. Case Stud. Constr. Mater. 2022, 17, e01350. [Google Scholar] [CrossRef]
- Li, J.; Liu, X.; Yang, Q.; Hou, D.; Hu, X.; Ye, Q.; Wanga, D.; Ding, Q. Characterization of fly ash-cement paste and molecular structure in the presence of seawater by 27Al and 29Si MAS NMR spectroscopy. Constr. Build. Mater. 2020, 262, 120823. [Google Scholar] [CrossRef]
- Walkley, B.; Provis, J.L. Solid-state nuclear magnetic resonance spectroscopy of cements. Mater. Today Adv. 2019, 1, 100007. [Google Scholar] [CrossRef]
- Martinia, F.; Tonellic, M.; Geppia, M.; Ridic, F.; Borsacchia, S.; Caluccia, L. Hydration of MgO/SiO2 and Portland cement mixtures: A structural investigation of the hydrated phases by means of X-ray diffraction and solid state NMR spectroscopy. Cem. Concr. Res. 2017, 102, 60–67. [Google Scholar] [CrossRef]
- Kunther, W.; Dai, Z.; Skibsted, J. Thermodynamic modeling of hydrated white Portland cement–metakaolin–limestone blends utilizing hydration kinetics from 29Si MAS NMR spectroscopy. Cem. Concr. Res. 2016, 86, 29–41. [Google Scholar] [CrossRef]
- Mazur, A.; Tolstoy, P.; Sotiriadis, K. 13C, 27Al and 29Si NMR Investigation of the hydration kinetics of portland-limestone cement pastes containing CH3-COO−-R+ (R=H or Na) Additives. Materials 2022, 15, 2004. [Google Scholar] [CrossRef] [PubMed]












| VSW | Amount (%) | VSW | Amount (%) |
|---|---|---|---|
| Lignocellulosic components | Elemental analysis | ||
| Cellulose | 35.05 ± 0.30 | N | 0.78 ± 0.01 |
| Hemicelluloses | 26.40 ± 0.20 | C | 46.7 ± 1.50 |
| Lignin | 30.10 ± 0.23 | H | 5.79 ± 0.2 |
| Moisture | 7.90 ± 0.02 | S | 0.19 ± 0.01 |
| Ash | 2.04 ± 0.02 |
| Sample | O | Ca | Si | Al | Na | Ca/Si | Ca/(Si + Al) |
|---|---|---|---|---|---|---|---|
| CP | 53.30 | 35.05 | 8.51 | 1.73 | 1.43 | 4.17 | 6.42 |
| CP10VSW | 49.90 | 44.07 | 4.70 | 1.05 | 0.29 | 9.37 | 32.83 |
Disclaimer/Publisher’s Note: The statements, opinions and data contained in all publications are solely those of the individual author(s) and contributor(s) and not of MDPI and/or the editor(s). MDPI and/or the editor(s) disclaim responsibility for any injury to people or property resulting from any ideas, methods, instructions or products referred to in the content. |
© 2022 by the authors. Licensee MDPI, Basel, Switzerland. This article is an open access article distributed under the terms and conditions of the Creative Commons Attribution (CC BY) license (https://creativecommons.org/licenses/by/4.0/).
Share and Cite
Scurtu, D.A.; Kovacs, E.; Senila, L.; Levei, E.A.; Simedru, D.; Filip, X.; Dan, M.; Roman, C.; Cadar, O.; David, L. Use of Vine Shoot Waste for Manufacturing Innovative Reinforced Cement Composites. Appl. Sci. 2023, 13, 134. https://doi.org/10.3390/app13010134
Scurtu DA, Kovacs E, Senila L, Levei EA, Simedru D, Filip X, Dan M, Roman C, Cadar O, David L. Use of Vine Shoot Waste for Manufacturing Innovative Reinforced Cement Composites. Applied Sciences. 2023; 13(1):134. https://doi.org/10.3390/app13010134
Chicago/Turabian StyleScurtu, Daniela Alexandra, Eniko Kovacs, Lacrimioara Senila, Erika Andrea Levei, Dorina Simedru, Xenia Filip, Monica Dan, Cecilia Roman, Oana Cadar, and Leontin David. 2023. "Use of Vine Shoot Waste for Manufacturing Innovative Reinforced Cement Composites" Applied Sciences 13, no. 1: 134. https://doi.org/10.3390/app13010134
APA StyleScurtu, D. A., Kovacs, E., Senila, L., Levei, E. A., Simedru, D., Filip, X., Dan, M., Roman, C., Cadar, O., & David, L. (2023). Use of Vine Shoot Waste for Manufacturing Innovative Reinforced Cement Composites. Applied Sciences, 13(1), 134. https://doi.org/10.3390/app13010134

