Resilience Evaluation of Shallow Circular Tunnels Subjected to Earthquakes Using Fragility Functions
Abstract
:1. Introduction
2. Seismic Resilience Evaluation Framework
2.1. Modelling Soil–Tunnel Configurations
2.2. Generation of Fragility Functions
2.3. Direct Seismic Loss Analyisis
2.4. Seismic Resilience Index Assessment Procedure
2.5. Restoration Function and Time
3. Results and Discussion
3.1. Seismic Fragility Assessment
3.1.1. Derivation of Fragility Function Parameters
3.1.2. Development of Fragility Functions
3.2. Seismic Loss Assessment
3.3. Seismic Resilience Assessment
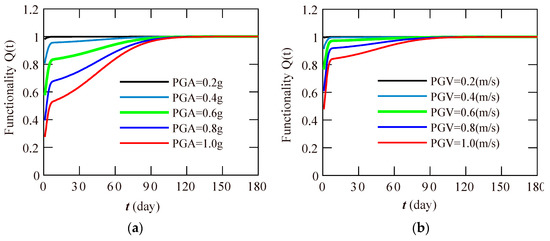
3.3.1. Tunnel Functionality Assessment
3.3.2. Development of the Resilience Index
3.3.3. Effects of Different Fragility Functions on Tunnel Resilience
4. Conclusions
- (1)
- The exceedance probabilities, direct seismic losses, and seismic resilience indexes of the examined tunnels are thoroughly evaluated with various earthquake intensity measures (IMs), i.e., PGA or PGV, which is beneficial for the post-earthquake strategic recovery planning.
- (2)
- It is revealed that an increase in the earthquake intensity measure (IM), i.e., PGA or PGV, for different damage states will lead to a significant increase in recovery time and direct seismic loss, which will also affect the tunnels’ functionality.
- (3)
- The effects of different fragility functions on tunnel resilience are identified and the importance of selection of appropriate fragility functions in resilience assessments of tunnels is highlighted accordingly.
- (4)
- The evolution of tunnel seismic resilience demonstrates the important role of adequate seismic design of tunnel structures and rapid recovery measures at the post-earthquake event for the various seismic intensities.
- (5)
- The results of this study also highlight the requirements of seismic resilience assessment for better evaluation of seismic risk, earthquake emergency management, and recovery strategy planning for tunnel structures.
Funding
Institutional Review Board Statement
Informed Consent Statement
Data Availability Statement
Acknowledgments
Conflicts of Interest
References
- Wang, W.L.; Wang, T.T.; Su, J.J.; Lin, C.H.; Seng, C.R.; Huang, T.H. Assessment of damage in mountain tunnels due to the Taiwan Chi-Chi earthquake. Tunn. Undergr. Space Technol. 2001, 16, 133–150. [Google Scholar] [CrossRef]
- Li, T. Damage to mountain tunnels related to the Wenchuan earthquake and some suggestions for aseismic tunnel construction. Bull. Eng. Geol. Environ. 2012, 71, 297–308. [Google Scholar] [CrossRef]
- Hashash, Y.M.; Hook, J.J.; Schmidt, B.; John, I.; Yao, C. Seismic design and analysis of underground structures. Tunn. Undergr. Space Technol. 2001, 16, 247–293. [Google Scholar] [CrossRef]
- Bruneau, M.; Chang, S.E.; Eguchi, R.T.; Lee, G.C.; O’Rourke, T.D.; Reinhorn, A.M.; Shinozuka, M.; Tierney, K.; Wallace, W.A.; Von Winterfeldt, D. A framework to quantitatively assess and enhance the seismic resilience of communities. Earthq. Spectra 2003, 19, 733–752. [Google Scholar] [CrossRef] [Green Version]
- Cimellaro, G.P.; Reinhorn, A.M.; Bruneau, M. Framework for analytical quantification of disaster resilience. Eng. Struct. 2020, 32, 3639–3649. [Google Scholar] [CrossRef]
- Biondini, F.; Camnasio, E.; Titi, A. Seismic resilience of concrete structures under corrosion. Earthq. Eng. Struct. Dyn. 2015, 44, 2445–2466. [Google Scholar] [CrossRef]
- Asadi, E.; Salman, A.M.; Li, Y.; Yu, X. Localized health monitoring for seismic resilience quantification and safety evaluation of smart structures. Struct. Saf. 2021, 93, 102127. [Google Scholar] [CrossRef]
- Alipour, A.; Shafei, B. Seismic resilience of transportation networks with deteriorating components. J. Struct. Eng. 2016, 142, C4015015. [Google Scholar] [CrossRef]
- Sun, W.; Bocchini, P.; Davison, B.D. Resilience metrics and measurement methods for transportation infrastructure: The state of the art. Sustain. Resilient Infrastruct. 2020, 5, 168–199. [Google Scholar] [CrossRef]
- Argyroudis, S.A. Resilience metrics for transport networks: A review and practical examples for bridges. Proc. Inst. Civ. Eng. Bridge Eng. 2021. [Google Scholar] [CrossRef]
- Bruneau, M.; Reinhorn, A. Exploring the concept of seismic resilience for acute care facilities. Earthq. Spectra 2007, 23, 41–62. [Google Scholar] [CrossRef] [Green Version]
- Shang, Q.; Wang, T.; Li, J. A quantitative framework to evaluate the seismic resilience of hospital systems. J. Earthq. Eng. 2020, 1–25. [Google Scholar] [CrossRef]
- Samadian, D.; Ghafory-Ashtiany, M.; Naderpour, H.; Eghbali, M. Seismic resilience evaluation based on vulnerability curves for existing and retrofitted typical RC school buildings. Soil Dyn. Earthq. Eng. 2019, 127, 105844. [Google Scholar] [CrossRef]
- Gonzalez, C.; Niño, M.; Jaimes, M.A. Event-based assessment of seismic resilience in Mexican school buildings. Bull. Earthq. Eng. 2020, 18, 6313–6336. [Google Scholar] [CrossRef]
- Anwar, G.A.; Dong, Y. Seismic resilience of retrofitted RC buildings. Earthq. Eng. Eng. Vib. 2020, 19, 561–571. [Google Scholar] [CrossRef]
- Tirca, L.; Serban, O.; Lin, L.; Wang, M.; Lin, N. Improving the seismic resilience of existing braced-frame office buildings. J. Struct. Eng. 2016, 142, C4015003. [Google Scholar] [CrossRef]
- Decò, A.; Bocchini, P.; Frangopol, D.M. A probabilistic approach for the prediction of seismic resilience of bridges. Earthq. Eng. Struct. Dyn. 2013, 42, 1469–1487. [Google Scholar] [CrossRef]
- Capacci, L.; Biondini, F. Probabilistic life-cycle seismic resilience assessment of aging bridge networks considering infrastructure upgrading. Struct. Infrastruct. Eng. 2020, 16, 659–675. [Google Scholar] [CrossRef]
- Huang, Z.K.; Argyroudis, S.A.; Pitilakis, K.; Zhang, D.M.; Tsinidis, G. Fragility assessment of tunnels in soft soils using artificial neural networks. Undergr. Space 2022, 7, 242–253. [Google Scholar] [CrossRef]
- Tran, T.T.; Cao, A.T.; Kim, D.; Chang, S. Seismic vulnerability of cabinet facility with tuned mass dampers subjected to high-and low-frequency earthquakes. Appl. Sci. 2020, 2020. 10, 4850. [Google Scholar] [CrossRef]
- Nguyen, V.T.; Ahn, J.H.; Haldar, A.; Huh, J. Fragility-based seismic performance assessment of modular underground arch bridges. Structures 2022, 39, 1218–1230. [Google Scholar] [CrossRef]
- Huang, H.W.; Zhang, D.M. Resilience analysis of shield tunnel lining under extreme surcharge: Characterization and field application. Tunn. Undergr. Space Technol. 2016, 51, 301–312. [Google Scholar] [CrossRef]
- Huang, Z.K.; Zhang, D.M.; Zhou, Y.T. Resilience Assessment Framework for Tunnels Exposed to Earthquake Loading. In Proceedings of the 4th International Conference on Performance-Based Design in Earthquake Geotechnical Engineering (PBD-IV), Beijing, China, 15–17 July 2022; in press. [Google Scholar]
- CEN (European Committee for Standardization). Eurocode 8: Design of Structures for Earthquake Resistance; CEN: Brussels, Belgium, 2004. [Google Scholar]
- Lysmer, J.; Kuhlemeyer, R.L. Finite dynamic model for infinite media. J. Eng. Mech. Div. 1969, 95, 859–878. [Google Scholar] [CrossRef]
- Argyroudis, S.A.; Pitilakis, K.D. Seismic fragility curves of shallow tunnels in alluvial deposits. Soil Dyn. Earthq. Eng. 2012, 35, 1–12. [Google Scholar] [CrossRef]
- FEMA (Federal Emergency Management Agency). Hazus 4.2 SP3: Hazus Earthquake Model Technical Manual; FEMA: Washington, DC, USA, 2020. [Google Scholar]
- Werner, S.D.; Taylor, C.E.; Cho, S.; Lavoie, J.P.; Huyck, C.K.; Eitzel, C.; Chung, H.; Eguchi, R.T. Redars 2 Methodology and Software for Seismic Risk Analysis of Highway Systems; Special Report MCEER-060SP08; MCEER (Multidisciplinary Center Earthquake Engineering Research): New York, NY, USA, 2006. [Google Scholar]
- Karamlou, A.; Bocchini, P. Computation of bridge seismic fragility by large-scale simulation for probabilistic resilience analysis. Earthq. Eng. Struct. Dyn. 2015, 44, 1959–1978. [Google Scholar] [CrossRef]
- Pang, Y.; Wang, X. Cloud-IDA-MSA conversion of fragility curves for efficient and high-fidelity resilience assessment. J. Struct. Eng. 2021, 147, 04021049. [Google Scholar] [CrossRef]
- Gidaris, I.; Padgett, J.E.; Barbosa, A.R.; Chen, S.; Cox, D.; Webb, B.; Cerato, A. Multiple-hazard fragility and restoration models of highway bridges for regional risk and resilience assessment in the United States: State-of-the-art review. J. Struct. Eng. 2017, 143, 04016188. [Google Scholar] [CrossRef]
- Argyroudis, S.; Tsinidis, G.; Gatti, F.; Pitilakis, K. Effects of SSI and lining corrosion on the seismic vulnerability of shallow circular tunnels. Soil Dyn. Earthq. Eng. 2017, 98, 244–256. [Google Scholar] [CrossRef]
- ALA (American Society of Civil Engineers-FEMA). Seismic Fragility Formulations for Water Systems: Part 1-Guideline; ALA: Washington, DC, USA, 2001. [Google Scholar]
- Huang, Z.K.; Argyroudis, S.; Zhang, D.M.; Pitilakis, K.; Huang, H.W.; Zhang, D.M. Forthcoming. Time-dependent fragility functions for circular tunnels in soft soils. ASCE-ASME J. Risk Uncertain. Eng. Syst. Part A Civ. Eng. 2022. [Google Scholar] [CrossRef]
- Huang, Z.K.; Pitilakis, K.; Argyroudis, S.; Tsinidis, G.; Zhang, D.M. Selection of optimal intensity measures for fragility assessment of circular tunnels in soft soil deposits. Soil Dyn. Earthq. Eng. 2021, 145, 106724. [Google Scholar] [CrossRef]














| No. | Earthquake | Station Name | Year | Mag. (Mw) | Rk (km) | PGA (g) |
|---|---|---|---|---|---|---|
| 1 | Northridge-01 | LA-Hollywood Stor FF | 1994 | 6.69 | 19.73 | 0.23 |
| 2 | Parkfield | Cholame-Shandon Array | 1966 | 6.19 | 12.9 | 0.24 |
| 3 | Loma Prieta | Treasure Island | 1989 | 6.93 | 77.32 | 0.16 |
| 4 | Kern County | Taft Lincoln School | 1952 | 7.36 | 38.42 | 0.15 |
| 5 | San Fernando | Castaic-Old Ridge Route | 1971 | 6.61 | 19.33 | 0.34 |
| 6 | Imperial Valley-02 | El Centro Array #9 | 1940 | 6.95 | 6.09 | 0.28 |
| 7 | Superstition Hills-01 | Imperial Valley W.L. Array | 1987 | 6.22 | 17.59 | 0.13 |
| 8 | Parkfield-02_CA | Parkfield-Cholame 2WA | 2004 | 6.00 | 1.63 | 0.62 |
| 9 | Imperial Valley-07 | El Centro Array #11 | 1979 | 5.01 | 13.61 | 0.19 |
| 10 | Tottori_Japan | TTR008 | 2000 | 6.61 | 6.86 | 0.39 |
| 11 | Kobe_Japan | Port Island | 1995 | 6.9 | 3.31 | 0.32 |
| 12 | Borrego Mtn | El Centro Array #9 | 1968 | 6.63 | 45.12 | 0.16 |
| Damage State (ds) | Range of Damage Index (DI) | Central Value of DI |
|---|---|---|
| ds0: none | Msd/MRd ≤ 1.0 | - |
| ds1: minor | 1.0 < Msd/MRd ≤ 1.5 | 1.25 |
| ds2: moderate | 1.5 < Msd/MRd ≤ 2.5 | 2.00 |
| ds3: extensive | 2.5 < Msd/MRd ≤ 3.5 | 3.00 |
| ds4: complete | Msd/MRd ≥ 3.5 | - |
| Damage States (DS) | Ri, Repair Cost (% Replacement Cost) |
|---|---|
| No damage | 0% |
| Minor damage | 10% |
| Moderate damage | 25% |
| Extensive to complete damage | 75% |
Publisher’s Note: MDPI stays neutral with regard to jurisdictional claims in published maps and institutional affiliations. |
© 2022 by the author. Licensee MDPI, Basel, Switzerland. This article is an open access article distributed under the terms and conditions of the Creative Commons Attribution (CC BY) license (https://creativecommons.org/licenses/by/4.0/).
Share and Cite
Huang, Z. Resilience Evaluation of Shallow Circular Tunnels Subjected to Earthquakes Using Fragility Functions. Appl. Sci. 2022, 12, 4728. https://doi.org/10.3390/app12094728
Huang Z. Resilience Evaluation of Shallow Circular Tunnels Subjected to Earthquakes Using Fragility Functions. Applied Sciences. 2022; 12(9):4728. https://doi.org/10.3390/app12094728
Chicago/Turabian StyleHuang, Zhongkai. 2022. "Resilience Evaluation of Shallow Circular Tunnels Subjected to Earthquakes Using Fragility Functions" Applied Sciences 12, no. 9: 4728. https://doi.org/10.3390/app12094728
APA StyleHuang, Z. (2022). Resilience Evaluation of Shallow Circular Tunnels Subjected to Earthquakes Using Fragility Functions. Applied Sciences, 12(9), 4728. https://doi.org/10.3390/app12094728
