Next Article in Journal
Trajectory Generation and Optimization Using the Mutual Learning and Adaptive Ant Colony Algorithm in Uneven Environments
Previous Article in Journal
Toward a Lattice Boltzmann Method for Solids—Application to Static Equilibrium of Isotropic Materials
 
 
Font Type:
Arial Georgia Verdana
Font Size:
Aa Aa Aa
Line Spacing:
Column Width:
Background:
Article

Thermal Performance Analysis of Gradient Porosity Aluminium Foam Heat Sink for Air-Cooling Battery Thermal Management System

School of Mechanical and Power Engineering, Zhengzhou University, Zhengzhou 450001, China
*
Author to whom correspondence should be addressed.
Appl. Sci. 2022, 12(9), 4628; https://doi.org/10.3390/app12094628
Submission received: 3 April 2022 / Revised: 29 April 2022 / Accepted: 2 May 2022 / Published: 4 May 2022
(This article belongs to the Topic Intelligent Transportation Systems)

Abstract

:
The three dimensional thermal model of a forced air-cooling battery thermal management system (BTMS) using aluminium foam heat sink (AFHS) is established, and the effects of porosity, pore density, and mass flow rate on the thermal and flow performance are discussed numerically from the aspects of pressure drop and temperature control effectiveness. The results reveal that an AFHS can markedly reduce the battery temperature compared with the BTMS without AFHS, but it also causes huge pressure loss and increases the temperature difference between the upstream and downstream of the battery. Reducing the porosity of aluminium foam reduces the battery’s average temperature, but increases the temperature difference. The increase of pore density leads to the increase of pressure drop, but has little effect on the battery temperature. Based on this, a study of the gradient porosity of the AFHS is carried out, and the thermal and flow performance are compared with the homogeneous AFHS. The results show that the AFHS with porosity-increasing gradient pattern (PIGP) in the direction perpendicular to flow reduces the pressure loss and improves flow performance. The AFHS with a porosity-decreasing gradient pattern (PDGP) in the flow direction has no obvious effect on the flow characteristics, but it can reduce the temperature difference of the battery. The direction of gradient porosity can be selected according to need. In addition, due to the energy absorption characteristics of aluminium foam, AFHS can improve the crashworthiness of the battery pack. Therefore, AFHS has great potential in air-cooled BTM.

1. Introduction

Traditional fuel vehicles consume a lot of oil resources, and the exhaust gas emitted by the vehicles will deteriorate air quality, be detrimental to human health, and lead to the greenhouse effect. Currently, the energy policy and development models have changed, and many countries are vigorously developing electric vehicles to curb global warming and reduce greenhouse gas emissions. Among the many kinds of electric vehicle (EV) energy storage technologies, the lithium-ion battery (LIB) stands out because of its high output power, long service life, and high output voltage [1,2,3]. Although LIB has many advantages, it is very sensitive to temperature, the performance of LIB will decline when the temperature is below 0 °C or above 45 °C. If the heat generated by LIB accumulates in the battery pack and cannot be eliminated in time, it will cause rising temperatures, resulting in problems such as a fast-aging speed, few cycles, and short service life of the LIB [4,5,6]. In serious cases, it is prone to local overheating, liquid leakage, and even thermal runaway [7,8,9]. Therefore, BTMS must be used for temperature control [10,11]. The acceptable operating temperature range of LIB is −20 °C to 60 °C, while the most suitable operating temperature range is 20 °C to 40 °C, and the battery temperature difference is kept below 5 °C [12]. The common cooling methods of BTMS include air-cooling, liquid-cooling, phase change material (PCM) cooling, heat pipe cooling, and the combination of the above systems. Liquid-cooling has high cooling efficiency, but its structure is complex and heavy, and coolant leakage may cause serious consequences [13,14,15,16]. PCM cooling has a large heat capacity and does not consume electricity, but is unsuitable for use in BTMS because of the low thermal conductivity of PCM and volume expansion during phase transformation [17,18,19]. Due to the high thermal conductivity, the cooling effect of heat pipe cooling is good, but it has a high cost and process requirements [20,21,22,23,24]. Air-cooling has the advantages of light weight, low cost, and convenient maintenance, but the low thermal conductivity of air leads to a poor cooling effect. Therefore, many works are trying to improve the thermal performance of air-cooling. Chen et al. [25] tested the influence of the inlet and outlet position of air-cooling BTMS on cooling efficiency. They found that symmetrical BTMS has a higher cooling performance in the case of the inlet and outlet being located at the centre of the positive pressure air supply system. To improve the cooling efficiency, Luo et al. [26] proposed a new type of forced air-cooling BTMS, which adopts a thermal silica cooling plate-aluminate thermal plate, the experimental results show that it can effectively improve the thermal performance.
Open-cell metal foam is a new functional material with a large specific surface area, high thermal conductivity and remarkable thermal and mechanical properties. When the fluid flows through the cavity of the open foam metal, the complex three-dimensional network structure of the metal foam enhances the mixing capability for the fluid and enhances the convective heat transfer. At the same time, the mechanical and lightweight properties of foam metal can be used as energy-absorbing materials for spacecraft landing and vehicle collision. At present, it is widely used in the electronics, aerospace, and automotive industries [27,28,29]. Due to the excellent heat and mass transfer characteristics of open-cell foam metal, some researchers focus on metal foam-PCM composite materials for application in the BTMS [30,31,32]. The results of the study show that the effective thermal conductivity of PCM can be greatly improved by adding foam metal, which can further reduce the surface temperature of the battery. However, this method also has obvious shortcomings. The use of PCM leads to a decline in the mass density of the battery system, and when the heat load generated by the LIB is too high, the PCM in the metal foam can be completely melted; the cooling efficiency will be greatly reduced in this case.
Besides the above research on adding metal foam into phase change materials, some studies focus on using metal foam to improve the forced air-cooling efficiency of LIB battery thermal management. Giuliano et al. [33] designed and manufactured a more effective air-cooling battery thermal management system, which uses metal foam heat exchanger plates to circulate the ambient air through the battery pack and directly discharge heat into the environment to obtain sufficient heat dissipation capability. Mohamed et al. [34] used the numerical analysis method to investigate the influence of pin fin heat sink and porous metal foam on the cooling efficiency of Li-ion (lithium-ion) battery thermal management. Saw et al. [35] established the heat dissipation model of open-cell aluminium foam air-cooling battery module, and simulates the thermal performance and flow field of different porosity and pore density. He found that the addition of aluminium foam in the air channel significantly improved the thermal management performance of the lithium-ion battery module compared with that without aluminium foam, he believed that aluminium foam is a potential substitute for traditional folded fin or liquid cold plate. Wang et al. [36] developed the heat dissipation model of an open-cell aluminium foam air-cooling battery module, and designed the filled shape of aluminium foam to improve the temperature uniformity, which greatly reduced the temperature difference of the battery.
Although metal foam is very promising in heat dissipation applications, it is relatively new in the application of forced air-cooling BTMS. The design and optimisation of the metal foam forced air-cooling BTMS requires enormous effort. In addition, the above research on metal foam BTMS are based on homogeneous metal foam, and there is no application of gradient porosity metal foam in BTMS. Therefore, the purpose of this paper is to investigate the thermal performance of the forced air-cooling BTMS by using gradient porosity aluminium foam. The overall process of this study is as follows: firstly, the three-dimensional thermal model of the battery module is established, and compared with the experimental data in the literature to verify the accuracy of the model. Then, seven kinds of aluminium foam with different specifications were applied to analyse and compare the effects of the porosity, and pore density on the thermal and flow performance of the battery module. Next, to further improve the thermal and flow performance, four gradient porosity schemes are proposed to investigate the influence of gradient porosity on the comprehensive performance of battery average temperature, temperature difference, and pressure loss.

2. Computational Model and Numerical Method

2.1. Model Description

The LiFePO4 pouch battery is used in current research, the dimensions of the battery are 227 mm (long) × 160 mm (width) × 18.25 mm (thick), and the specific parameters are shown in Table 1. Figure 1 shows the CAD model of the battery module. As can be seen, the open aluminium foam core layer and two aluminium heat spreaders on either side compose an aluminium foam heat sink (AFHS), both sides of the battery are provided with the AFHS for heat dissipation, and the thickness of aluminium foam core layer and heat spreader are 6 mm and 1 mm respectively. When the battery works and generates heat, the cooling air flows through the open-cell structure of the aluminium foam core layer and transfers heat with the battery in a forced convection mode. Since the battery module is composed of a repeated arrangement of batteries, the case with a single battery module is studied in this research.

2.2. Governing Equation

The heat generated by the battery can be expressed as:
q = I V U o U + I V ( T d U o d T )
in which q, V, Uo, U, and T denote heat production rate per unit volume, volume, open circuit potential, voltage, and temperature of the battery, respectively. The first term on the right side of Equation (1) represents the ohmic heat generated by the internal resistance of the battery and the irreversible heat generated by the polarisation reaction. The latter term represents reversible heat, which can be positive or negative, depending on the direction of the current and the sign of the entropy coefficient (dUo/dT).
The energy conservation equation of the battery is as follows:
t ρ b C p b T = · k b T + q
in which ρb indicates the density of the battery, Cpb indicates the heat capacity of the battery, kb indicates the thermal conductivity of the battery.
The Forchheimer–Brinkman-extended Darcy model of the porous media and volume-averaged technique is used to describe the flow and heat transfer characteristics in aluminium foam [37]. The continuity equation can be expressed as:
ρ f t + · ρ f v = 0
where ρf denotes the fluid density, v denotes the average speed vector.
Conservation of momentum can be expressed as:
t ( ρ f v ) + · ( ρ f v v ) = p + · τ + ρ g + S
where p represents the static pressure, S represents the source term that can be expressed as follows [38]:
S = ( C 1 μ v + C 2 1 2 ρ v v )
in which μ is the fluid viscosity coefficient C1 and C2 are viscous resistance and inertial resistance, respectively [38], and can be expressed as:
C 1 = 150 ( 1 - ε 2 ) d p 2 ε 3
C 2 = 3.5 ( 1 - ε ) d p ε 2
where ε and dp are the porosity and pore size, respectively.
Energy conservation equation:
t ( ε ρ f E f + ( 1 ε ) ρ s E s ) + · ( v ( ρ f E f + p ) ) = S f h + · ( k e f f T ( h i J i ) + ( τ · v ) )  
where Ef, Es, h, j, τ and Sfh are the total fluid energy, total solid medium energy, sensible enthalpy, diffusion flux, stress tensor, and fluid enthalpy source term, respectively. The effective thermal conductivity keff of the aluminium foam region can be calculated as the volume average of the air thermal conductivity and the thermal conductivity of aluminium [38].
k e f f = ε k f + 1 ε k s

3. Numerical Simulations

3.1. Parameter Definitions

The average convective heat transfer coefficient h can be expressed as:
h = q T w T i n
where q is heat flux applied to the bottom surface of heat sink, Tin is inlet air temperature and Tw is average temperature of heat transfer wall.
The average Nusselt number of the heat sink:
N u = h D k f
where D denotes the equivalent diameter of heat sink, kf denotes the thermal conductivity of the cooling medium, the equivalent diameter can be expressed as
D = 2 H W H + W
where H and W represent height and width of the channel respectively.
The temperature control coefficient α and temperature uniformity coefficient β are defined to assess the comprehensive thermal performance as follows:
α = 1 T a v T i n T a c m T i n
β = 1 T m a x T m i n Δ T a c
where Tav, Tmax, Tmin and Tin are the average temperature, maximum temperature, minimum temperature and initial temperature of cooling air, respectively; Tacm and ∆Tac are the acceptable maximum temperature and acceptable temperature difference, which are defined as 40 °C and 5 °C, respectively; Tin represents the initial temperature of the cooling medium, which is 26.85 °C. The closer the α is to 1, the closer the maximum temperature of the battery is to Tin. Similarly, the closer the β is to 1, the smaller the temperature difference of the battery is achieved, and negative β indicates that the temperature difference is greater than 5 °C.
Considering both thermal performance and flow performance, the effectiveness of improving the convective performance of the porous distribution design is further compared according to the figure of merit (FOM) [38]. FOM represents the improvement based on average heat transfer coefficients against the accompanied pumping power consumed, which means the higher the FOM, the better the comprehensive heat transfer performance of the heat sink.
F O M = ( h f / h n o n ) ( Ω f / Ω n o n ) 1 3
where hf and hnon indicate the convective heat transfer coefficient with and without aluminium foam, respectively; Ωf and Ωnon indicate the required pumping power with and without aluminium foam, respectively.
Ω = m ˙ ρ p i n p o u t
where m is the mass flow rate of cooling air, pin and pout are the average pressures at the inlet and outlet, respectively.

3.2. Numerical Method

Ansys-fluent is a CFD solver based on finite volume, which is used to discretize the equations introduced in the previous section. In the calculation model, the heat generation of the positive and negative plates of the battery is ignored. The cooling air of the battery module is the ideal gas. The turbulence intensity of the medium at the mass flow inlet boundary of is 5%, and the inlet temperature of cooling air is set to 26.85 °C. The pressure outlet boundary is used for the outlet, the heat transfer of the contact surface between the battery and the heat sink adopts the coupled heat transfer condition, and other walls are regarded as adiabatic conditions. The specific boundaries are shown in Figure 2. The purpose of this paper is to improve the air-cooling effect of the battery using aluminium foam. Therefore, to shorten the simulation time, the maximum heating power at 3 C discharge rate is 30 W, which is set as the average heating rate of the battery, and contact thermal resistance is ignored. The specific parameters of aluminium foams used in this work are shown in Table 2; the parameters of the heat spreader and cooling air are listed in Table 3. The energy equation and momentum equation are discretised by the second-order upwind scheme, and the coupling of pressure and velocity is solved by the SIMPLE algorithm [37]. For all simulation cases, the convergence criterion is that the residual of each governing equation is less than 1.0 × 10−6.

3.3. Grid Independence and Validation

In order to verify the validity of the current model, it was necessary to test the grid sensitivity of the whole fluid region. In this work, three mesh cases were constructed, which were composed of 321,489, 928,746 and 3,356,160 elements, respectively. The grid sensitivity test was carried out with the aluminium foam 10 PPI and porosity of 0.918 at 7 gs−1 cooling air. The results are shown in Table 4, it can be seen that all the results were very close. Finally, mesh 2 was selected for this work.
The numerical results were compared with Saw et al. [35], which are shown in Table 5 and Table 6. Under the forced air-cooling condition without/with foam aluminium, the predicted numerical results agreed well with Saw’s results, the maximum error between the present study and Saw was no more than 7%. Through these tests, the validity of the current model was verified.

4. Results and Discussion

An air-cooling BTMS has the advantages of light weight, low cost, convenient maintenance and no hidden danger of coolant leakage. The current research aimed to investigate the thermal performance of the forced air-cooling BTMS using AFHS, thus the maximum temperature of the battery, the temperature difference of the battery, and the pressure drop are the important factors that should be considered for the air-cooling BTMS. The flow and thermal performance of AFHS under different parameters were studied, and the results were compared with that without AFHS.

4.1. Air-Cooling BTMS without AFHS

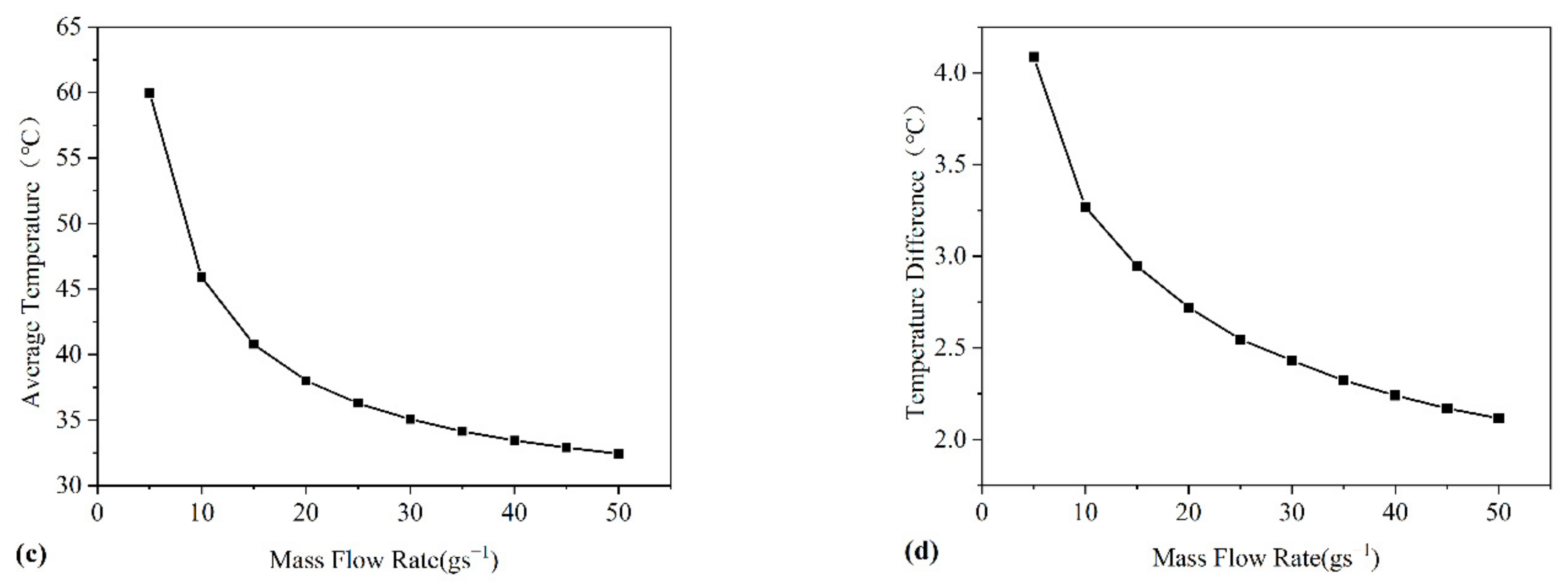
Figure 3a shows the temperature distribution of the battery without AFHS at the mass flow rate qm = 10 gs−1. It can be seen that the temperature downstream of the battery was higher than that upstream along the air flow direction. The reason for this phenomenon is that when the air flows through the battery surface, the air first transfers heat with the upstream of the battery, resulting in the rapid reduction of the cooling capacity of the air and reduces the heat transfer performance downstream. Hence, the battery temperature is not evenly distributed. Figure 3b shows the pressure drop Pd between inlet and outlet without AFHS; it can be seen that the Pd increased gradually with the increase of mass flow rate qm. The average temperature Tav and temperature difference Td of the battery under different mass flow rates of cooling air are shown in Figure 3c,d, respectively. Obviously, there was a negative correlation between the Tav and the qm. The Tav decreased with the increase of qm. In order to keep the maximum temperature of the battery lower than 40 °C, at least 15 gs−1 of cooling air is required. Similarly, the temperature difference Td also decreases with the increase of qm, and the Td is less than 3 °C at 15 gs−1 of cooling air.

4.2. Air-Cooling BTMS with Homogeneous AFHS

The open-cell aluminium foam has many irregularly shaped fluid channels; when cooling air flows through these channels, the heat transfers between the air and the three-dimensional network structure under the action of forced convection. On the one hand, the complex three-dimensional network structure of aluminium foam enhances the nonlinear effect of fluid. On the other hand, the large specific surface area of the aluminium foam is also an important reason for its good heat transfer performance. In addition, the high thermal conductivity of aluminium is also one of the factors to improve the heat transfer capacity. As a carrier of rapid heat transfer, the solid skeleton of the aluminium foam with high thermal conductivity is conducive to the uniform temperature of the whole porous area, transferring the heat to the fluid as soon as possible and accelerating the heat transfer process.
Figure 4 shows the pressure drop Pd versus mass flow rate qm with different parameters of AFHS. In all cases, the increase of qm led to the increase of Pd. In addition, at the same pore density, the poor permeability of the aluminium foam with lower porosity resulted in a higher Pd. Moreover, pore density has a remarkable influence on Pd, the aluminium foam with large pore density has more ligaments, and the surface area of the solid aluminum skeleton per unit volume is much larger than that of low pore density foam, resulting in more flow resistance. Therefore, under the approximate porosity, the 40 PPI aluminium foam produced a higher Pd than 10 and 20 PPI aluminium foam.
Figure 5a,b show the temperature distribution of the battery at 5 gs−1 of cooling air for 10 PPI AFHS with a porosity of 0.918 and 0.682, respectively. It can be seen that the temperature distribution trend was similar to the case that without using AFHS, the temperature of the battery gradually increased along the direction of air flow. However, the Tav of the battery was significantly lower than the case without AFHS.
Figure 6 shows the average temperature Tav of the battery with different parameters of AFHS. At 5 gs−1 of cooling air, the Tav of the battery with AFHS was below 34 °C, the temperature control ability was much better than that without AFHS. It can also be seen that at a constant mass flow rate qm and PPI, the battery with large porosity of AFHS had a higher Tav. That is because there are more pores in large porosity AFHS, so the effective convective heat transfer area per unit volume is smaller. In contrast, the effective convective heat transfer area per unit volume of low porosity AFHS was larger, and a better cooling effect was achieved in air forced convection. As a result, the battery with low porosity AFHS had a lower Tav. When the AFHS had a similar porosity, the effect of PPI on the Tav was negligible at a constant qm. For example, when the qm was 2 gs−1, the Tav of the battery with 10 PPI and 0.918 porosity AFHS was 39.92 °C, while the Tav of battery with 20 PPI and 0.924 porosity AFHS was 39.87 °C.
When the cooling air flows over the surface of the battery, it first takes away the heat upstream, so the cooling capacity decreases gradually along the flow direction, resulting in the downstream temperature always being higher than the upstream temperature. This is the main reason for the uneven temperature of the battery. The Td of the battery should be as small as possible to ensure safety and electrical performance. Figure 7 shows the Td of the battery with different parameters of AFHS. It can be seen that the Td of the battery with AFHS was negatively related to mass flow rate qm, that is, the Td decreased with the increase of qm. It is worth noting that the Td of the battery increased significantly with AFHS compared with that without AFHS. For LIB, the ideal Td was less than 5 °C. However, the Td of the battery was found to exceed 7 °C at qm = 2 gs−1. In all cases, at least 5 gs−1 of cooling air is required to achieve Td of below 5 °C.
When the mass flow rate qm and pore density of AFHS remain unchanged, the temperature difference Td of the battery is also negatively related to the porosity of the AFHS, that is, the larger the porosity, the smaller the Td of the battery, while the pore density of AFHS has barely any effect on the Td of the battery. For example, at qm = 5 gs−1, the Td of the battery is 4.39 °C when using AFHS with 10 PPI and 0.794 porosity, while the Td of the battery with AFHS of 20 PPI and 0.774 porosity is 4.36 °C.
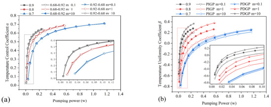
Figure 8a shows the relationship between the temperature control coefficient α and the pumping power Ω, the range of pumping power represents the power of the different systems maintaining the mass flow at 2 to 7 gs−1. In all cases, the α increased with the increase of the Ω, but it rose more slowly at a high pumping power. In addition, the α of low porosity AFHS was slightly larger in the whole pumping power range, but more pumping power was needed to achieve the same α. Figure 8b shows variations in temperature uniformity coefficient β with the pumping power Ω for various cases. Since the temperature difference was greater than 5 °C at low mass flow, the β was less than 0 at low pumping power. In the whole pumping power range, the β of high porosity AFHS was higher than that of low porosity AFHS, and less pumping power was needed to reach the same β, which means that the battery temperature field uniformity with high porosity AFHS is better.
Figure 9 shows the figure of merit (FOM) versus mass flow rate qm when using the AFHS of different porosity and pore density. The results show that the FOM value was larger than 1 in all cases, which indicates the comprehensive convection performance of AFHS with different parameters was better than that without AFHS. When the pore density remained unchanged, the average surface heat transfer coefficient of the AFHS with larger porosity was smaller, while the accompanying pumping power was also smaller, which eventually led to a higher FOM. In addition, when the porosities were similar, the AFHS with larger PPI consumed more pumping power, resulting in a lower FOM. For all calculated parameters above 10 PPI and 0.918 porosity, AFHS had the highest FOM, indicating that it performed better than the others when considering heat convection and energy dissipation.

4.3. Air-Cooling BTMS with the AFHS of Gradient Porosity Designs

Compared with the situation without AFHS, using homogeneous AFHS could remarkably enhance the thermal performance, but pressure drop and temperature differences were even greater. Therefore, the gradient design in aluminium foam was considered to reduce flow resistance and improve temperature uniformity. Considering that the pore density has little effect on the heat transfer characteristics, the gradient porosity designs were adopted in subsequent analyses, and the pore density was all 10 PPI.
The gradient of porosity is controlled by the following equation:
ε = ε min + ( ε max ε min ) ( x l ) m ε = ε max ( ε max ε min ) ( x l ) m
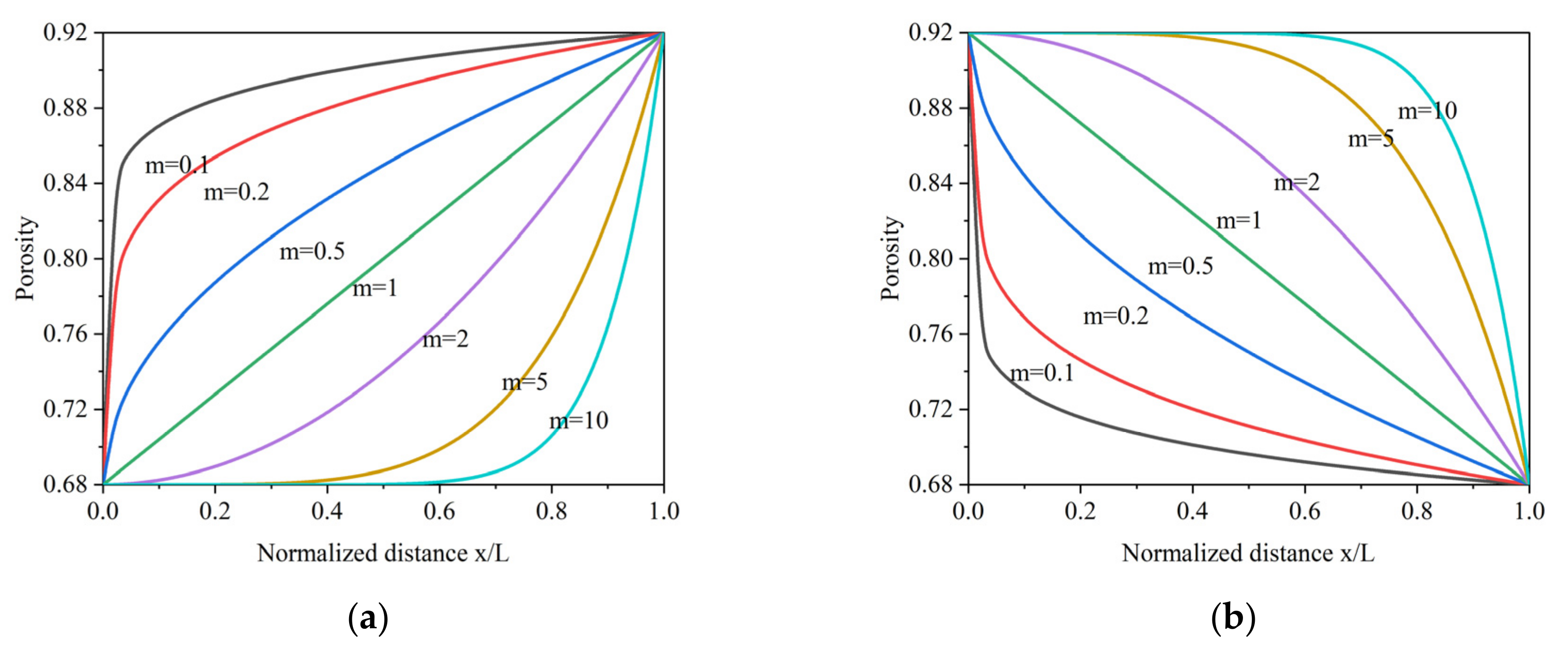
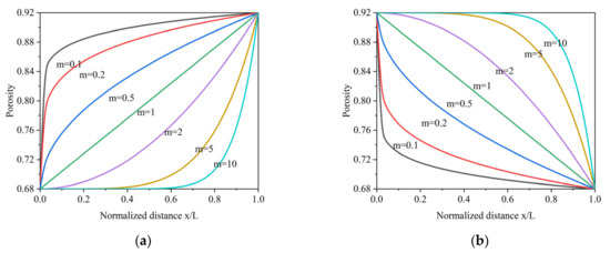
where εmax and εmin are the maximum and minimum porosity, respectively, in the current study εmax = 0.92 and εmin = 0.68; m represents the parameter controlling the porosity; x/l is the normalised distance.
The variation of the porosity gradient of aluminium foam for increasing and decreasing patterns is shown in Figure 10. For the porosity-increasing gradient pattern (PIGP), m = 0.1, 1, and 10 correspond to the equivalent homogeneous porosity levels of 0.9, 0.8 and 0.7, respectively, while for the porosity-decreasing gradient pattern (PDGP), m = 0.1, 1, and 10 correspond to the equivalent homogeneous porosity levels of 0.7, 0.8 and 0.9, respectively.
The gradient porosity can be realised by the user-defined function UDF in Ansys-fluent, and the change of coefficient of viscous resistance terms and inertial resistance terms caused by the change of gradient porosity can be calculated by the Ergun formula [37]. The porosity is set to change perpendicular to the flow direction (Z-axis direction) and along the flow direction (X-axis direction), and C1 and C2 change accordingly with porosity.

4.3.1. AFHS of Gradient Porosity Designs in the Z-Axis Direction (Perpendicular to the Flow Direction)

Figure 11 shows the pressure drop Pd of AFHS with gradient porosity designs in the Z-axis direction (perpendicular to the flow direction). As can be seen, there was no difference in Pd between using PIDP and PDGP at the same equivalent porosity, indicating that the two patterns have the same influence on flow performance in the Z-axis direction. Moreover, the Pd of the two patterns was lower than that of the homogeneous porosity AFHS at the same equivalent porosity, which indicates that the gradient porosity designs in the Z-axis direction can improve the flow performance. The reason for this phenomenon is that when the porosity change direction is perpendicular to the flow direction, the air tends to flow to the part with large porosity at a higher speed, so the overall flow resistance decreases and the pressure drop decreases.
Figure 12 shows the battery temperature distributions with AFHS in the two gradient patterns at qm = 5 gs−1, but the difference between the two cases is not obvious. Figure 13a shows the average temperature Tav of the battery with the AFHS of gradient porosity designs in the Z-axis direction. We can see that the Tav of the battery with AFHS of PIGP was almost the same as that with equivalent homogeneous porosity AFHS, while the Tav of the battery with AFHS of PDGP was higher than that with equivalent homogeneous porosity AFHS. This is mainly because the porosity near the heating surface is large with the PDGP, and the solid skeleton volume in the porous medium area is small, which makes the heat conduction between the aluminium foam and the heated surface deteriorate, and ultimately leads to a weakening in the heat transfer effect. Figure 13b shows the Td of the battery with the AFHS with gradient porosity designed in the Z-axis direction. The Td of the battery with AFHS of PIGP was almost the same as that with the equivalent homogeneous porosity AFHS. However, using the AFHS of PDGP leads to Td being slightly less than that at the equivalent porosity.
Figure 14a shows the temperature control coefficient α versus pumping power Ω with AFHS with gradient porosity designed in the Z-axis direction. At low porosity level, the α was slightly greater over the entire pumping power range. Within a constant porosity level, there was no obvious difference in the α. However, it can be seen from the enlarged figure, when the α with the homogeneous porosity AFHS was equal to that with AFHS of PIGP, the Ω required for AFHS of PIGP was smaller. When the same Ω was required for AFHS of PIGP and PDGP, the AFHS of PIGP had a lower Tav, resulting in the AFHS of PIGP having a larger α than that of PDGP. At low pumping power (Ω < 0.2 W), the AFHS of PIGP with m = 0.1 had the highest α. Figure 14b shows the temperature uniformity coefficient β versus pumping power Ω with the AFHS with gradient porosity designed in the Z-axis direction. As the mass flow rate increased, the Td of the battery with AFHS of different gradients became closer, so the maximum value of β was almost the same in the whole pumping power range. Since the Td of the battery with AFHS of PDGP was smaller than that of PIGP under the same equivalent porosity level, it led to a slightly larger β with PDGP.
Figure 15 shows FOM versus mass flow rate with the AFHS with gradient porosity designed in the Z-axis direction. Compared with the homogeneous porosity AFHS, the AFHS with gradient porosity designed in the Z-axis direction (perpendicular to the flow direction) reduces the pressure drop. Therefore, with little difference in heat transfer performance, the AFHS of PIGP required less pumping power and resulted in a larger FOM. Meanwhile, the AFHS of PDGP had a small convective heat transfer coefficient leading to a smaller FOM. Considering the heat convection and energy consumption, an AFHS with PIGP in the Z-axis direction is superior to those with homogeneous porosity.

4.3.2. AFHS with Gradient Porosity Designed in the X-Axis Direction (the Flow Direction)

Figure 16 shows the pressure drop Pd of AFHS with gradient porosity designed in the X-axis direction (the air flow direction). At the same porosity levels, the pressure drop of AFHS with gradient porosity designed in the X-axis direction was not significantly different from that of homogeneous porosity AFHS. This means that the gradient porosity designed in the X-axis direction will not improve the flow performance of the AFHS.
Figure 17a,b shows temperature distributions of battery with AFHS with gradient porosity designed in the X-axis direction. Figure 17c shows the Tav of the battery with AFHS with gradient porosity designed in the X-axis direction. It was found that at the same porosity level, whether using the AFHS of PIGP or PDGP, the Tav was almost unchanged, which was slightly higher than that with the equivalent homogeneous porosity AFHS, indicating the gradient porosity designed in the X-axis direction has no effect on reducing the Tav.
To show the influence of gradient porosity designed along the flow direction on temperature difference Td more directly, the Td of the battery was divided into three figures according to the equivalent porosity level, which are shown in Figure 17d–f. Under the same porosity level, the battery with AFHS of PDGP had a smaller temperature difference, while with AFHS of PIGP had a larger temperature difference compared with the equivalent homogeneous porosity AFHS. During the cooling process, the cooling air shows the trend of increasing its temperature, which results in the upstream of the battery along the flow direction generally having a better cooling effect than the downstream. Therefore, the idea of reducing the battery temperature difference is to weaken the upstream heat transfer effect or strengthen the downstream heat transfer effect. Compared with the homogeneous porosity AFHS, when the porosity decreases along the flow direction, the upstream high porosity aluminum foam has more internal pores, and the effective heat transfer area per unit volume is smaller, thus weakening the heat transfer effect of the upstream of the battery. The low-porosity aluminum foam in the downstream has a larger effective heat transfer area, which strengthens the downstream heat transfer effect, so the temperature difference decreases. As the porosity increases along the flow direction, the upstream low-porosity aluminum foam has more convective heat transfer area, thereby enhancing the heat transfer effect in the upstream of the battery, while the downstream high porosity aluminium foam weakens the heat transfer effect, thus resulting in the increase of the temperature difference. Comparing the above three figures, it can also be found that using the AFHS of PDGP with m = 1, the lowest temperature difference was Td = 3.1 °C at qm = 7 gs−1.
Figure 18a shows temperature control coefficient α with AFHS with gradient porosity designed in the Z-axis direction. Since the average temperature of battery and pressure drop under the same porosity level were almost identical, the temperature control coefficients α were basically the same. The temperature uniformity coefficient β with AFHS with gradient porosity designed in the Z-axis direction is shown in Figure 18b. Obviously, using the AFHS of PDGP can significantly improve the β under the same equivalent porosity level. Meanwhile, when using AFHS with PDGP in the x-axis direction, the β with m = 10 was similar to that of m = 0.1, but less pumping power was required with m = 10. Thus, the AFHS of PDGP with m = 10 is a better design to reduce the battery temperature difference.
Figure 19 shows the FOM with AFHS with gradient porosity designed in the X-axis direction. According to the above analysis, compared with the homogeneous porosity AFHS, the AFHS of PIGP in the X-axis direction strengthened the heat transfer effect, while the PDGP in the X-axis direction weakened the heat transfer effect. Since the pumping power was the same, the FOM of PIGP was greater than that of PDGP. Although AFHS of PIGP with m = 0.1 in the X-axis direction had the largest FOM, the battery with that had the worst temperature uniformity.
To sum up, the use of AFHS in BTMS will significantly enhance the thermal performance, but it will also increase the flow resistance and pressure drop, resulting in additional energy loss. However, Giuliano et al. [33] indicated that the parasitic power consumption of a battery pack with liquid cooling was 1200 w–2000 w, while the pump power of a uniform foam aluminium heat sink with 20 ppi was 730 w–1500 w. Thus, the use of foam aluminium heat sink is acceptable. The AFHS of gradient porosity design further reduce the pressure drop and battery temperature difference. In the process of practical application, comprehensive optimisation can be carried out according to specific conditions to achieve the best cooling effect.

5. Conclusions

Three-dimensional computational fluid dynamic analysis was carried out to investigate an air-cooling Li-ion battery module with the aluminium foam heat sink (AFHS). The effects of porosity and pore density of homogeneous AFHS on the thermal management performance of the battery module were investigated from the aspects of pressure drop Pd, battery average temperature Tav and temperature difference Td. Furthermore, four types of gradient porosity designs with the different porosity controlling parameter m were tested and compared. The results led to the following conclusions:
Compared with not using AFHS, the use of AFHS significantly reduces the average temperature of the battery, but also brings the consequence of the increase of the pressure drop and temperature difference. The decrease of the porosity of AFHS reduces the battery average temperature, but increases the temperature difference. Increasing the pore density of the AFHS will lead to increases in pressure drop, but has little effect on thermal performance.
The gradient porosity designed in the direction perpendicular to the flow can improve flow performance, and reduce the pressure drop. Although the thermal performance of the battery module with the AFHS of porosity-increasing gradient pattern (PIGP) is better than that with the AFHS of porosity-decreasing gradient pattern (PDGP), neither of the two types of gradient porosity designs reduces the average temperature of the battery compared to the homogeneous porosity AFHS. Considering the energy consumption and thermal performance, the porosity-increasing pattern with m = 0.1 is the best design among the six configuration designs.
The gradient porosity designs in the flow direction have no obvious effect on the pressure drop. However, under the same porosity level, compared with homogeneous porosity AFHS, the AFHS of PDGP reduces the battery temperature difference, while the AFHS of PIGP increases the battery temperature difference. Using the AFHS of PDGP m = 1, the minimum temperature difference Td = 3.10 °C is obtained at qm = 7 gs−1, which is 16.2% lower than that of AFHS of homogeneous porosity.

Author Contributions

Conceptualisation, P.W. and D.Q.; formal analysis, T.W.; methodology, P.W.; project administration, D.Q. and T.W.; supervision, D.Q.; validation, J.C.; writing—original draft, P.W.; writing—review and editing, P.W. and J.C. All authors have read and agreed to the published version of the manuscript.

Funding

This work was supported by the National Key R&D Program “New energy vehicles” of China (Project No.2018YFB0106204).

Institutional Review Board Statement

Not applicable.

Informed Consent Statement

Not applicable.

Data Availability Statement

Data is contained within the article.

Conflicts of Interest

The authors declare that they have no known competing financial interests or personal relationships that could have appeared to influence the work reported in this paper.

Nomenclature

qheating rate per unit volume of the battery, W m3
Vvolume of the battery, m3
Uoopen circuit potential of the battery, V
Ubattery voltage, V
Tbattery temperature, °C
ρbdensity of the battery, kg m3
Cpbheat capacity of the battery, J kg1K1
kbthermal conductivity of the battery, W m−1k−1
ρfdensity of fluid, kg m−3
vaverage speed vector, m s−1
pstatic pressure, pa
ssource term
C1viscous resistance, m−2
C2the internal resistance, m−1
kfthermal conductivity of fluid, W m−1k−1
ksthermal conductivity of solid, W m−1k−1
keffeffective thermal conductivity, W m−1k−1
εporosity
dppore size, mm
PPInumber of pores per inch
NuNusselt number
Haverage convective heat transfer coefficient
Aconbase area of the heat sink
Tininlet air temperature
Twaverage temperature of heat transfer wall
Dequivalent diameter of heat sink, m
Tavaverage temperature of battery, °C
Tdtemperature difference of battery, °C
αtemperature control coefficient
βtemperature uniformity coefficient
FOMfigure of merit
Ωpumping power, W

References

  1. Requia, W.J.; Mohamed, M.; Higgins, C.D.; Arain, A.; Ferguson, M. How clean are electric vehicles? Evidence-based review of the effects of electric mobility on air pollutants, greenhouse gas emissions and human health. Atmos. Environ. 2018, 185, 64–77. [Google Scholar] [CrossRef]
  2. Ke, W.; Zhang, S.; He, X.; Wu, Y.; Hao, J. Well-to-wheels energy consumption and emissions of electric vehicles: Mid-term implications from real-world features and air pollution control progress. Appl. Energ. 2017, 188, 367–377. [Google Scholar] [CrossRef]
  3. Bahiraei, F.; Fartaj, A.; Nazri, G.A. Electrochemical-thermal modeling to evaluate active thermal management of a lithium-ion battery module. Electrochim. Acta 2017, 254, 59–74. [Google Scholar] [CrossRef]
  4. Ramadass, P.; Haran, B.; White, R.; Popov, B.N. Capacity fade of Sony 18650 cells cycled at elevated temperatures: Part I. Cycling performance. J. Power Sources 2002, 112, 606–613. [Google Scholar] [CrossRef] [Green Version]
  5. Ramadass, P.; Haran, B.; White, R.; Popov, B.N. Capacity fade of Sony 18650 cells cycled at elevated temperatures: Part II. Capacity fade analysis. J. Power Sources 2002, 112, 614–620. [Google Scholar] [CrossRef] [Green Version]
  6. Belt, J.; Utgikar, V.; Bloom, I. Calendar and PHEV cycle life aging of high-energy, lithium-ion cells containing blended spinel and layered-oxide cathodes. J. Power Sources 2011, 196, 10213–10221. [Google Scholar] [CrossRef]
  7. Wang, Q.; Ping, P.; Zhao, X.; Chu, G.; Sun, J.; Chen, C. Thermal runaway caused fire and explosion of lithium ion battery. J. Power Sources 2012, 208, 210–224. [Google Scholar] [CrossRef]
  8. Duh, Y.S.; Theng, J.H.; Chen, C.C.; Kao, C.S. Comparative study on thermal runaway of commercial 14500, 18650 and 26650 LiFePO4 batteries used in electric vehicles. J. Energy Storage 2020, 31, 101580. [Google Scholar] [CrossRef]
  9. Wang, Y.; Gao, Q.; Wang, G.; Lu, P.; Zhao, M.; Bao, W. A review on research status and key technologies of battery thermal management and its enhanced safety. Int. J. Energy Res. 2018, 42, 4008–4033. [Google Scholar] [CrossRef]
  10. Arora, S.; Shen, W.; Kapoor, A. Review of mechanical design and strategic placement technique of a robust battery pack for electric vehicles. Renew. Sustain. Energy Rev. 2016, 60, 1319–1331. [Google Scholar] [CrossRef]
  11. Lamb, J.; Orendorff, C.J.; Steele, L.A.M.; Spangler, S.W. Failure propagation in multi-cell lithium ion batteries. J. Power Sources 2015, 283, 517–523. [Google Scholar] [CrossRef] [Green Version]
  12. Väyrynen, A.; Salminen, J. Lithium ion battery production. Chem. Thermodyn. 2012, 46, 80–85. [Google Scholar] [CrossRef]
  13. Thakur, A.K.; Prabakaran, R.; Elkadeem, M.R.; Sharshir, S.W.; Arıcı, M.; Wang, C.; Zhao, W.; Hwang, J.Y.; Saidur, R. A state of art review and future viewpoint on advance cooling techniques for Lithium-ion battery system of electric vehicles. J. Energy Storage 2020, 32, 101771. [Google Scholar] [CrossRef]
  14. Kim, J.; Oh, J.; Lee, H. Review on battery thermal management system for electric vehicles. Appl. Therm. Eng. 2019, 149, 192–212. [Google Scholar] [CrossRef]
  15. Patil, M.S.; Seo, J.H.; Panchal, S.; Jee, S.W.; Lee, M.Y. Investigation on thermal performance of water-cooled Li-ion pouch cell and pack at high discharge rate with U-turn type microchannel cold plate. Int. J. Heat Mass Transf. 2020, 155, 119728. [Google Scholar] [CrossRef]
  16. Deng, Y.; Feng, C.; Jiaqiang, E.; Zhu, H.; Chen, J.; Wen, M.; Yin, H. Effects of different coolants and cooling strategies on the cooling performance of the power lithium ion battery system: A review. Appl. Therm. Eng. 2018, 142, 10–29. [Google Scholar] [CrossRef]
  17. Verma, A.; Shashidhara, S.; Rakshit, D. A comparative study on battery thermal management using phase change material (PCM). Therm. Sci. Eng. Prog. 2019, 11, 74–83. [Google Scholar] [CrossRef]
  18. Ping, P.; Peng, R.; Kong, D.; Chen, G.; Wen, J. Investigation on thermal management performance of PCM-fin structure for Li-ion battery module in high-temperature environment. Energy Convers. Manage. 2018, 176, 131–146. [Google Scholar] [CrossRef]
  19. Jiang, K.; Liao, G.L.; Jiaqiang, E.; Zhang, F.; Chen, J.W.; Leng, E.W. Thermal management technology of power lithium-ion batteries based on the phase transition of materials: A review. J. Energy Storage 2020, 32, 101816. [Google Scholar] [CrossRef]
  20. Ye, X.; Zhao, Y.; Quan, Z. Experimental study on heat dissipation for lithium-ion battery based on micro heat pipe array (MHPA). Appl. Therm. Eng. 2018, 130, 74–82. [Google Scholar] [CrossRef]
  21. Jouhara, H.; Serey, N.; Khordehgah, N.; Bennett, R.; Almahmoud, S.; Lester, S.P. Investigation, development and experimental analyses of a heat pipe based battery thermal management system. Int. J. Thermofluids 2020, 1–2, 100004. [Google Scholar] [CrossRef]
  22. Gan, Y.; He, L.; Liang, J.; Tan, M.; Xiong, T.; Li, Y. A numerical study on the performance of a thermal management system for a battery pack with cylindrical cells based on heat pipes. Appl. Therm. Eng. 2020, 179, 115740. [Google Scholar] [CrossRef]
  23. Tran, T.H.; Harmand, S.; Desmet, B.; Filangi, S. Experimental investigation on the feasibility of heat pipe cooling for HEV/EV lithium-ion battery. Appl. Therm. Eng. 2014, 63, 551–558. [Google Scholar] [CrossRef]
  24. Lyu, Y.; Siddique, A.R.M.; Majid, S.H.; Biglarbegian, M.; Gadsden, S.A.; Mahmud, S. Electric vehicle battery thermal management system with thermoelectric cooling. Energy Rep. 2019, 5, 822–827. [Google Scholar] [CrossRef]
  25. Chen, K.; Wu, W.; Yuan, F.; Chen, L.; Wang, S. Cooling efficiency improvement of air-cooled battery thermal management system through designing the flow pattern. Energy 2019, 167, 781–790. [Google Scholar] [CrossRef]
  26. Luo, W.; He, F.Q.; Huang, Q.; Li, X.X.; Zhong, Z. Experimental investigation on thermal performance of silica cooling plate-aluminate thermal plate-coupled forced convection-based pouch battery thermal management system. Int. J. Energy Res. 2019, 43, 7604–7613. [Google Scholar] [CrossRef]
  27. Zhang, X.; Wang, R.; Li, X.G.; Lu, C.Y.; Wang, Z.K.; Wang, W.L. Energy Absorption Performance of Open-Cell Aluminum Foam and Its Application in Landing Buffer System. J. Mater. Eng. Perform. 2021, 30, 6132–6145. [Google Scholar] [CrossRef]
  28. Kim, J.H.; Kim, d.; Lee, M.G.; Lee, J.K. Multiscale Analysis of Open-Cell Aluminum Foam for Impact Energy Absorption. J. Mater. Eng. Perform. 2016, 25, 3977–3984. [Google Scholar] [CrossRef]
  29. Zhang, W.; Bai, X.; Bao, M. Heat transfer performance evaluation based on local thermal non-equilibrium for air forced convection in channels filled with metal foam and spherical particles. Therm. Eng. 2018, 145, 735–742. [Google Scholar] [CrossRef]
  30. Zhang, Y.; Huang, J.; Cao, M.; Du, G.; Wang, L. A novel sandwich structured phase change material with well impact energy absorption performance for Li-ion battery application. J. Energy Storage 2021, 40, 102769. [Google Scholar] [CrossRef]
  31. Mallow, A.; Abdelaziz, O.; Graham, S. Thermal charging performance of enhanced phase change material composites for thermal battery design. Int. J. Ther. Sci. 2018, 127, 19–28. [Google Scholar] [CrossRef]
  32. Elidi, M.M.; Karkri, M.; Abdoutankari, M. A passive thermal management system of Li-ion batteries using PCM composites: Experimental and numerical investigations. Int. J. Heat Mass Transf. 2021, 169, 120894. [Google Scholar] [CrossRef]
  33. Giuliano, M.R.; Prasad, A.K.; Advani, S.G. Experimental study of an air-cooled thermal management system for high capacity lithium-titanate batteries. Power Sources 2012, 216, 345–352. [Google Scholar] [CrossRef]
  34. Mohammadian, S.K.; Zhang, Y. Cumulative effects of using pin fin heat sink and porous metal foam on thermal management of lithium-ion batteries. Appl. Therm. Eng. 2017, 118, 375–384. [Google Scholar] [CrossRef]
  35. Saw, L.H.; Ye, Y.; Yew, M.C. Computational fluid dynamics simulation on open-cell aluminium foams for Li-ion battery cooling system. Appl. Energy 2017, 204, 1489–1499. [Google Scholar] [CrossRef]
  36. Wang, Y.L.; Yu, Y.; Jing, Z.Q.; Wang, C.Y.; Zhou, G.; Zhao, W.Z. Thermal performance of lithium-ion batteries applying forced air cooling with an improved aluminium foam heat sink design. Int. J. Heat Mass Transf. 2021, 167, 120827. [Google Scholar] [CrossRef]
  37. Hung, T.C.; Huang, Y.X.; Yan, W.M. Thermal performance analysis of porous-microchannel heat sinks with different configuration designs. Int. J. Heat Mass Transf. 2013, 66, 235–243. [Google Scholar] [CrossRef]
  38. Ansys Inc. Ansys-Fluent Theory Guide 19.0; Ansys Inc.: Canonsburg, PA, USA, 2019. [Google Scholar]
Figure 1. CAD model of battery module.
Figure 1. CAD model of battery module.
Applsci 12 04628 g001
Figure 2. Boundary conditions of the battery module.
Figure 2. Boundary conditions of the battery module.
Applsci 12 04628 g002
Figure 3. Air-cooling BTMS without AFHS: (a) temperature distribution of battery at qm = 10 gs−1, (b) pressure drop, (c) average temperature, and (d) temperature difference.
Figure 3. Air-cooling BTMS without AFHS: (a) temperature distribution of battery at qm = 10 gs−1, (b) pressure drop, (c) average temperature, and (d) temperature difference.
Applsci 12 04628 g003aApplsci 12 04628 g003b
Figure 4. Pressure drop versus mass flow rate with different parameters of AFHS.
Figure 4. Pressure drop versus mass flow rate with different parameters of AFHS.
Applsci 12 04628 g004
Figure 5. Temperature distributions of battery: (a) 10 PPI aluminium foam with 0.918 porosity, (b) 10 PPI aluminium foam with 0.682 porosity.
Figure 5. Temperature distributions of battery: (a) 10 PPI aluminium foam with 0.918 porosity, (b) 10 PPI aluminium foam with 0.682 porosity.
Applsci 12 04628 g005
Figure 6. The average temperature of the battery with different parameters of AFHS: (a) 10 PPI aluminium foam; (b) 20 PPI aluminium foam; (c) 40 PPI aluminium foam.
Figure 6. The average temperature of the battery with different parameters of AFHS: (a) 10 PPI aluminium foam; (b) 20 PPI aluminium foam; (c) 40 PPI aluminium foam.
Applsci 12 04628 g006
Figure 7. The temperature difference of the battery when using AFHS with different parameters: (a) 10 PPI aluminium foam; (b) 20 PPI aluminium foam; (c) 40 PPI aluminium foam.
Figure 7. The temperature difference of the battery when using AFHS with different parameters: (a) 10 PPI aluminium foam; (b) 20 PPI aluminium foam; (c) 40 PPI aluminium foam.
Applsci 12 04628 g007
Figure 8. (a) Temperature control coefficient α, (b) temperature uniformity coefficient β.
Figure 8. (a) Temperature control coefficient α, (b) temperature uniformity coefficient β.
Applsci 12 04628 g008
Figure 9. FOM versus mass flow rate.
Figure 9. FOM versus mass flow rate.
Applsci 12 04628 g009
Figure 10. Variation of porosity gradient versus normalised distance: (a) porosity-increasing gradient pattern, (b) porosity-decreasing gradient pattern.
Figure 10. Variation of porosity gradient versus normalised distance: (a) porosity-increasing gradient pattern, (b) porosity-decreasing gradient pattern.
Applsci 12 04628 g010
Figure 11. Pressure drop with AFHS of gradient porosity designs in the Z-axis direction.
Figure 11. Pressure drop with AFHS of gradient porosity designs in the Z-axis direction.
Applsci 12 04628 g011
Figure 12. Temperature distributions of battery: (a) using AFHS with porosity-increasing gradient pattern m = 1, (b) using AFHS with porosity-decreasing gradient pattern m = 1.
Figure 12. Temperature distributions of battery: (a) using AFHS with porosity-increasing gradient pattern m = 1, (b) using AFHS with porosity-decreasing gradient pattern m = 1.
Applsci 12 04628 g012
Figure 13. (a) Average temperature of battery, (b) temperature difference of battery (with AFHS with gradient porosity designed in the Z-axis direction).
Figure 13. (a) Average temperature of battery, (b) temperature difference of battery (with AFHS with gradient porosity designed in the Z-axis direction).
Applsci 12 04628 g013
Figure 14. (a) Temperature control coefficient α, (b) temperature uniformity coefficient β (with AFHS with gradient porosity designed in the Z-axis direction).
Figure 14. (a) Temperature control coefficient α, (b) temperature uniformity coefficient β (with AFHS with gradient porosity designed in the Z-axis direction).
Applsci 12 04628 g014
Figure 15. FOM versus mass flow rate (with AFHS with gradient porosity designed in the Z-axis direction).
Figure 15. FOM versus mass flow rate (with AFHS with gradient porosity designed in the Z-axis direction).
Applsci 12 04628 g015
Figure 16. Pressure drop with AFHS with gradient porosity designed in the X-axis direction.
Figure 16. Pressure drop with AFHS with gradient porosity designed in the X-axis direction.
Applsci 12 04628 g016
Figure 17. With AFHS with gradient porosity designed in the X-axis direction: (a) temperature distributions of battery with AFHS of PDGP m = 1; (b) temperature distributions of battery with AFHS of PIGP m = 1; (c) average surface temperature; (d) temperature difference of equivalent porosity = 0.9, (e) temperature difference of equivalent porosity = 0.8, and (f) temperature difference of equivalent porosity = 0.7.
Figure 17. With AFHS with gradient porosity designed in the X-axis direction: (a) temperature distributions of battery with AFHS of PDGP m = 1; (b) temperature distributions of battery with AFHS of PIGP m = 1; (c) average surface temperature; (d) temperature difference of equivalent porosity = 0.9, (e) temperature difference of equivalent porosity = 0.8, and (f) temperature difference of equivalent porosity = 0.7.
Applsci 12 04628 g017aApplsci 12 04628 g017b
Figure 18. (a) Temperature control coefficient α, (b) temperature uniformity coefficient β (with AFHS with gradient porosity designed in the X-axis direction).
Figure 18. (a) Temperature control coefficient α, (b) temperature uniformity coefficient β (with AFHS with gradient porosity designed in the X-axis direction).
Applsci 12 04628 g018
Figure 19. FOM with AFHS with gradient porosity designed in the X-axis direction.
Figure 19. FOM with AFHS with gradient porosity designed in the X-axis direction.
Applsci 12 04628 g019
Table 1. Parameters of the 20 Ah LiFePO4 pouch battery [35]. Reproduced with permission from [Applied energy]; published by [Elsevier], (2017).
Table 1. Parameters of the 20 Ah LiFePO4 pouch battery [35]. Reproduced with permission from [Applied energy]; published by [Elsevier], (2017).
ParameterValue
Nominal voltage, V3.3
Nominal capacity, Ah19.5
Weight, kg0.496
Specific heat capacity, J kg−1 K−11200
Dimensions, mm0.227 × 0.160 × 0.008
Anode materialGraphite
Aluminium casing thickness, m153 × 10−6
Cross plane thermal conductivity, W m−1 K−118.4/18.4/0.34
Table 2. Physical properties of aluminium foam [35]. Reproduced with permission from [Applied energy]; published by [Elsevier], (2017).
Table 2. Physical properties of aluminium foam [35]. Reproduced with permission from [Applied energy]; published by [Elsevier], (2017).
SamplePores Per Inch (PPI)Ligament Diameter (mm)Porosity
1100.4060.918
2100.4060.794
3100.4060.682
4200.2030.924
5200.2030.774
6200.2030.679
7400.1020.923
Table 3. Parameters of the heat spreader and cooling air.
Table 3. Parameters of the heat spreader and cooling air.
Materialsρ (kg m−3)cp (J kg−1 K−1)λ (W m−1 K−1)
Base fluidIdeal gas1.241006.430.027
Heat spreadAluminium2719871202.4
Table 4. Grid independency tests.
Table 4. Grid independency tests.
Mesh No.Mesh 1Mesh 2Mesh 3
No of element321,489928,7463,356,160
Tav, °C31.8031.8231.82
Tmax, °C33.3233.3233.35
Tmin, °C29.6729.7029.69
Pd, Pa61.3461.4961.22
Table 5. Comparison of battery temperature without AFHS [35].
Table 5. Comparison of battery temperature without AFHS [35].
Mass Flow Rate, gs−11020406080100
Saw et al., °C58.145.940.037.235.534.7
Present Study, °C57.5045.6738.9936.4435.0834.22
Error, %1.040.502.532.051.191.39
Table 6. Comparison of battery temperature with AFHS [35].
Table 6. Comparison of battery temperature with AFHS [35].
SampleMass Flow Rate, gs−1 10 15 20 25 30 35 40
10 PPI 0.682 Saw et al., °C 34.9 33.5 32.3 31.6 31.5 31.2 30.8
Present Study, °C 35.39 33.83 33.07 32.61 32.3 32.07 31.9
Error, % 1.4 0.99 2.38 3.2 2.54 2.8 3.58
20 PPI 0.774 Saw et al., °C 34.9 33.8 32.6 32.1 31.8 31.3 31.1
Present Study, °C 35.66 34.1 33.3 32.89 32.56 32.33 32.15
Error, % 2.17 0.89 2.27 2.44 2.4 3.29 3.37
40 PPI 0.923Saw et al., °C 35.2 33.8 32.7 32.1 31.8 31.631.5
Present Study, °C37.0735.55 34.78 34.27 33.88 33.57 33.32
Error, % 5.33 5.18 6.37 6.76 6.55 6.25 5.78
Publisher’s Note: MDPI stays neutral with regard to jurisdictional claims in published maps and institutional affiliations.

Share and Cite

MDPI and ACS Style

Wang, P.; Qin, D.; Wang, T.; Chen, J. Thermal Performance Analysis of Gradient Porosity Aluminium Foam Heat Sink for Air-Cooling Battery Thermal Management System. Appl. Sci. 2022, 12, 4628. https://doi.org/10.3390/app12094628

AMA Style

Wang P, Qin D, Wang T, Chen J. Thermal Performance Analysis of Gradient Porosity Aluminium Foam Heat Sink for Air-Cooling Battery Thermal Management System. Applied Sciences. 2022; 12(9):4628. https://doi.org/10.3390/app12094628

Chicago/Turabian Style

Wang, Peizhuo, Dongchen Qin, Tingting Wang, and Jiangyi Chen. 2022. "Thermal Performance Analysis of Gradient Porosity Aluminium Foam Heat Sink for Air-Cooling Battery Thermal Management System" Applied Sciences 12, no. 9: 4628. https://doi.org/10.3390/app12094628

APA Style

Wang, P., Qin, D., Wang, T., & Chen, J. (2022). Thermal Performance Analysis of Gradient Porosity Aluminium Foam Heat Sink for Air-Cooling Battery Thermal Management System. Applied Sciences, 12(9), 4628. https://doi.org/10.3390/app12094628

Note that from the first issue of 2016, this journal uses article numbers instead of page numbers. See further details here.

Article Metrics

Back to TopTop