Effect of the First Year of COVID-19 Pandemic on Ophthalmological Practice: A Multi-Centre Italian Study with a Focus on Medico-Legal Aspects
Abstract
:1. Introduction
2. Materials and Methods
2.1. Study Design and Settings
2.2. Data Collection
2.3. Statistical Analysis
3. Results
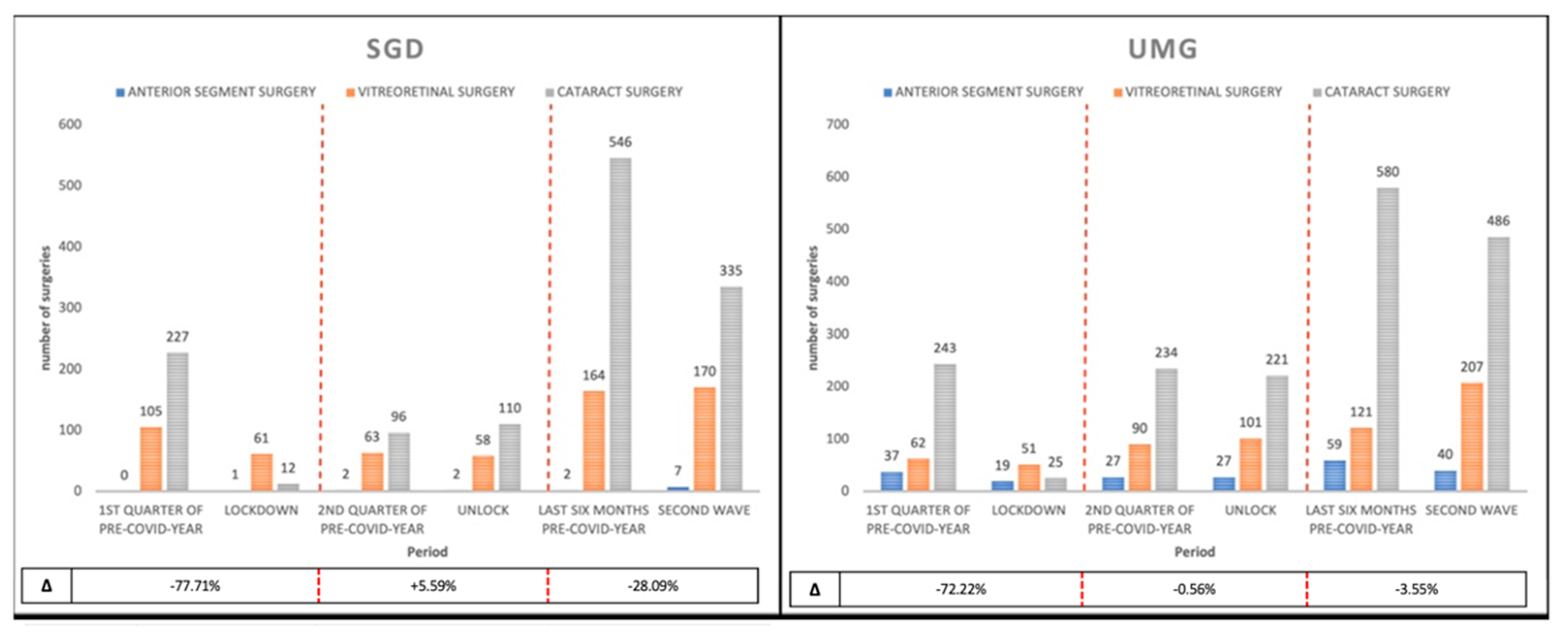
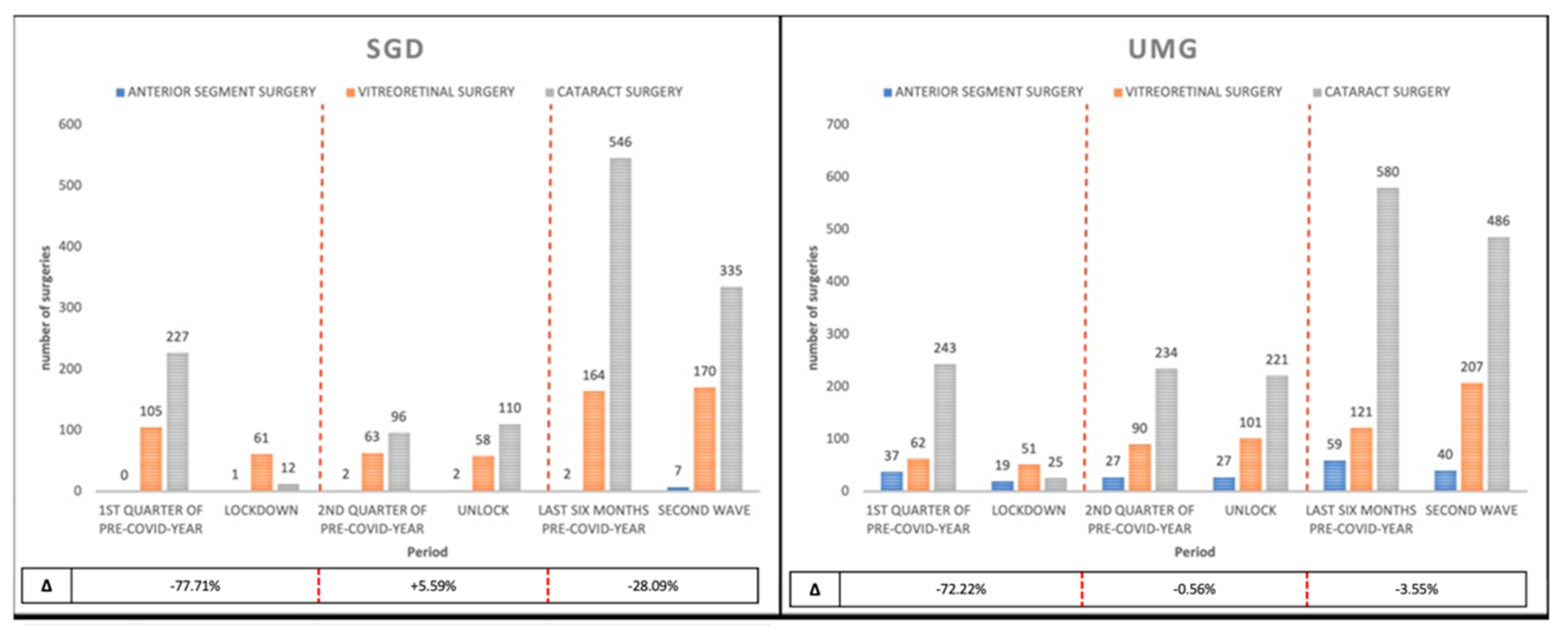
3.1. Overall Surgery
3.2. Anterior Segment Surgery
3.3. Vitreoretinal Surgery
3.4. Cataract Surgery
4. Discussion and Medico-Legal Implications
5. Conclusions
Author Contributions
Funding
Institutional Review Board Statement
Informed Consent Statement
Data Availability Statement
Conflicts of Interest
References
- Wang, C.; Horby, P.W.; Hayden, F.G.; Gao, G.F. A Novel Coronavirus Outbreak of Global Health Concern. Lancet 2020, 395, 470–473. [Google Scholar] [CrossRef] [Green Version]
- Huang, C.; Wang, Y.; Li, X.; Ren, L.; Zhao, J.; Hu, Y.; Zhang, L.; Fan, G.; Xu, J.; Gu, X.; et al. Clinical Features of Patients Infected with 2019 Novel Coronavirus in Wuhan, China. Lancet 2020, 395, 497–506. [Google Scholar] [CrossRef] [Green Version]
- Fox, D. What You Need to Know about the Novel Coronavirus. Nature 2020, 395, 497–506. [Google Scholar] [CrossRef]
- Du, R.-H.; Liang, L.-R.; Yang, C.-Q.; Wang, W.; Cao, T.-Z.; Li, M.; Guo, G.-Y.; Du, J.; Zheng, C.-L.; Zhu, Q.; et al. Predictors of Mortality for Patients with COVID-19 Pneumonia Caused by SARS-CoV-2. Eur. Respir. J. 2020, 56, 2002961. [Google Scholar] [CrossRef]
- Pellegrini, M.; Roda, M.; di Geronimo, N.; Lupardi, E.; Giannaccare, G.; Schiavi, C. Changing Trends of Ocular Trauma in the Time of COVID-19 Pandemic. Eye 2020, 34, 1248–1250. [Google Scholar] [CrossRef]
- Pellegrini, M.; Ferrucci, E.; Guaraldi, F.; Bernabei, F.; Scorcia, V.; Giannaccare, G. Emerging Application of Google Trends Searches on “Conjunctivitis” for Tracing the Course of COVID-19 Pandemic. Eur. J. Ophthalmol. 2021. [Google Scholar] [CrossRef] [PubMed]
- Giannaccare, G.; Buzzi, M.; Versura, P. Use of Eye Drops Obtained from Homologous Blood Source in the Time of COVID-19: Is There Cause for Ophthalmological Concern? Blood Transfus. 2020, 18, 233–234. [Google Scholar] [PubMed]
- Sen, M.; Honavar, S.; Sharma, N.; Sachdev, M. COVID-19 and Eye: A Review of Ophthalmic Manifestations of COVID-19. Indian J. Ophthalmol. 2021, 69, 488. [Google Scholar]
- Aiello, F.; Ciotti, M.; Gallo Afflitto, G.; Rapanotti, M.C.; Caggiano, B.; Treglia, M.; Grelli, S.; Bernardini, S.; Mauriello, S.; Nucci, C.; et al. Post-Mortem RT-PCR Assay for SARS-CoV-2 RNA in COVID-19 Patients’ Corneal Epithelium, Conjunctival and Nasopharyngeal Swabs. J. Clin. Med. 2021, 10, 4256. [Google Scholar] [CrossRef]
- White, D. BLOG: MADE: A New Coronavirus-Associated Eye Disease. [Blog] Healio. 2020. Available online: https://www.healio.com/news/ophthalmology/20200622/blog-a-new-coronavirusassociated-eye-disease (accessed on 5 February 2022).
- Giannaccare, G.; Vaccaro, S.; Mancini, A.; Scorcia, V. Dry Eye in the COVID-19 Era: How the Measures for Controlling Pandemic Might Harm Ocular Surface. Graefe’s Arch. Clin. Exp. Ophthalmol. 2020, 258, 2567–2568. [Google Scholar] [CrossRef]
- Wang, J.; Li, Y.; Musch, D.C.; Wei, N.; Qi, X.; Ding, G.; Li, X.; Li, J.; Song, L.; Zhang, Y.; et al. Progression of Myopia in School-Aged Children after COVID-19 Home Confinement. JAMA Ophthalmol. 2021, 139, 293. [Google Scholar] [CrossRef] [PubMed]
- Pellegrini, M.; Bernabei, F.; Scorcia, V.; Giannaccare, G. May Home Confinement during the COVID-19 Outbreak Worsen the Global Burden of Myopia? Graefe’s Arch. Clin. Exp. Ophthalmol. 2020, 258, 2069–2070. [Google Scholar] [CrossRef] [PubMed]
- Vagge, A.; Giannaccare, G.; Scarinci, F.; Cacciamani, A.; Pellegrini, M.; Bernabei, F.; Scorcia, V.; Traverso, C.E.; Bruzzichessi, D. Acute Acquired Concomitant Esotropia From Excessive Application of Near Vision During the COVID-19 Lockdown. J. Pediatric Ophthalmol. Strabismus 2020, 57, e88–e91. [Google Scholar] [CrossRef] [PubMed]
- Bertolaccini, L.; Spaggiari, L. Opening and Closing the Doors of the Lockdown in Italy without Forgetting Lung Cancer Patients. Interact. CardioVascular Thorac. Surg. 2020, 31, 339–341. [Google Scholar] [CrossRef] [PubMed]
- World Health Organization. Coronavirus Disease (COVID-19) Pandemic. Available online: https://www.who.int/emergencies/diseases/novel-coronavirus-2019 (accessed on 5 February 2022).
- Istituto Superiore di Sanità. Epidemia COVID-19—Aggiornamento Nazionale 9 Dicembre 2020. Available online: https://www.epicentro.iss.it/coronavirus/bollettino/Bollettino-sorveglianza-integrata-COVID-19_9-dicembre-2020.pdf (accessed on 5 February 2022).
- Official Gazette of the Italian Republic. Decree of Italian President of Council of Ministers of 3 November 2020. Available online: https://www.gazzettaufficiale.it/eli/id/2020/11/04/20A06109/sg (accessed on 5 February 2022).
- Official Gazette of the Italian Republic. Decree of Italian President of Council of Ministers of 24 October 2020. Available online: https://www.gazzettaufficiale.it/eli/id/2020/10/25/20A05861/sg (accessed on 5 February 2022).
- Official Gazette of the Italian Republic. Decree of Italian President of Council of Ministers of 18 October 2020. Available online: https://www.gazzettaufficiale.it/eli/id/2020/10/18/20A05727/sg (accessed on 5 February 2022).
- Official Gazette of the Italian Republic Decree of Italian President of Council of Ministers of 13 October 2020. Available online: https://www.gazzettaufficiale.it/eli/id/2020/10/13/20A05563/sg (accessed on 5 February 2022).
- Protezione Civile. Available online: https://www.protezionecivile.gov.it/en/ (accessed on 5 February 2022).
- Ministero della Salute. Available online: https://www.salute.gov.it/portale/home.html (accessed on 5 February 2022).
- Lai, T.H.T.; Tang, E.W.H.; Chau, S.K.Y.; Fung, K.S.C.; Li, K.K.W. Stepping up Infection Control Measures in Ophthalmology during the Novel Coronavirus Outbreak: An Experience from Hong Kong. Graefe’s Arch. Clin. Exp. Ophthalmol. 2020, 258, 1049–1055. [Google Scholar] [CrossRef] [Green Version]
- Iovino, C.; Peiretti, E.; Giannaccare, G.; Scorcia, V.; Carnevali, A. Evolving Treatment Paradigm in the Management of Diabetic Macular Edema in the Era of COVID-19. Front. Pharmacol. 2021, 12, 670468. [Google Scholar] [CrossRef]
- Scorcia, V.; Giannaccare, G.; Gatti, V.; Vaccaro, S.; Piccoli, G.; Villì, A.; Toro, M.D.; Yu, A.C.; Iovino, C.; Simonelli, F.; et al. Intravitreal Dexamethasone Implant in Patients Who Did Not Complete Anti-VEGF Loading Dose during the COVID-19 Pandemic: A Retrospective Observational Study. Ophthalmol. Ther. 2021, 10, 1015–1024. [Google Scholar] [CrossRef]
- AOUCAGLIARI Policlinico e S. Giovanni Di Dio, Sospensione Delle Attività Ambulatoriali, Ricoveri Programmati e DH e Di Tutte Le Attività Non Urgenti. Available online: https://www.aoucagliari.it/home/it/dettaglio_news_coronavirus.page?contentId=NWS79085 (accessed on 5 February 2022).
- Regione Calabria Coronavirus. Santelli: “Sospese Tutte le Attività Ambulatoriali non Urgenti ”. Available online: https://portale.regione.calabria.it/website/portaltemplates/view/view.cfm?17022 (accessed on 5 February 2022).
- Carnevali, A.; Giannaccare, G.; Gatti, V.; Scuteri, G.; Randazzo, G.; Scorcia, V. Intravitreal Injections during COVID-19 Outbreak: Real-World Experience from an Italian Tertiary Referral Center. Eur. J. Ophthalmol. 2021, 31, 10–12. [Google Scholar] [CrossRef]
- Pellegrini, M.; Roda, M.; Lupardi, E.; di Geronimo, N.; Giannaccare, G.; Schiavi, C. The Impact of COVID-19 Pandemic on Ophthalmological Emergency Department Visits. Acta Ophthalmol. 2020, 98, 98. [Google Scholar] [CrossRef]
- Gazzetta Ufficiale Decreto Del Presidente Del Consiglio Dei Ministri 11 Giugno 2020. Available online: https://www.gazzettaufficiale.it/eli/id/2020/06/11/20A03194/sg (accessed on 5 February 2022).
- AOUCAGLIARI Al Policlinico e al San Giovanni Di Dio Ripartono Le Attività Ambulatoriali: Rigidi Protocolli per La Sicurezza Dei Pazienti. Available online: https://www.aoucagliari.it/home/it/dettaglio_news_coronavirus.page?contentId=NWS84102 (accessed on 5 February 2022).
- Chirico, F.; Sacco, A.; Nucera, G.; Magnavita, N. Coronavirus Disease 2019: The Second Wave in Italy. J. Health Res. 2021, 35, 359–363. [Google Scholar] [CrossRef]
- Das, A.; Reddy, J. Year One of COVID-19 Pandemic: Effect of Lockdown and Unlock Phases on Cataract Surgery at a Multi-Tier Ophthalmology Network. Indian J. Ophthalmol. 2021, 69, 2818. [Google Scholar] [PubMed]
- Reddy, J.; Vaddavalli, P.; Sharma, N.; Sachdev, M.; Rajashekar, Y.; Sinha, R.; Agarwal, A.; Porwal, A.; Chakrabarti, A.; Nayak, B.; et al. A New Normal with Cataract Surgery during COVID-19 Pandemic. Indian J. Ophthalmol. 2020, 68, 1269. [Google Scholar] [CrossRef] [PubMed]
- Pellegrini, M.; Bernabei, F.; Schiavi, C.; Giannaccare, G. Impact of Cataract Surgery on Depression and Cognitive Function: Systematic Review and Meta-analysis. Clin. Exp. Ophthalmol. 2020, 48, 593–601. [Google Scholar] [CrossRef] [PubMed]
- Schlenker, M.B.; Thiruchelvam, D.; Redelmeier, D.A. Association of Cataract Surgery with Traffic Crashes. JAMA Ophthalmol. 2018, 136, 998. [Google Scholar] [CrossRef]
- Pascolini, D.; Mariotti, S.P. Global Estimates of Visual Impairment: 2010. Br. J. Ophthalmol. 2012, 96, 614–618. [Google Scholar] [CrossRef] [Green Version]
- Gain, P.; Jullienne, R.; He, Z.; Aldossary, M.; Acquart, S.; Cognasse, F.; Thuret, G. Global Survey of Corneal Transplantation and Eye Banking. JAMA Ophthalmol. 2016, 134, 167. [Google Scholar] [CrossRef] [Green Version]
- Aiello, F.; Genzano Besso, F.; Pocobelli, G.; Gallo Afflitto, G.; Colabelli Gisoldi, R.A.M.; Nucci, C.; Ponzin, D.; Bonci, P.; Calabrò, G.; Ceccuzzi, R.; et al. Corneal Transplant during COVID-19 Pandemic: The Italian Eye Bank National Report. Cell Tissue Bank. 2021, 22, 697–702. [Google Scholar] [CrossRef]
- Busin, M.; Giannaccare, G.; Myerscough, J.; Bovone, C.; Scorcia, V.; Campos, E.C. Donor-to-host Transmission of Infection: Contrasting Outcomes of Lamellar and Penetrating Keratoplasty. Transpl. Int. 2020, 33, 462–464. [Google Scholar] [CrossRef]
- Dubord, P.J.; Evans, G.D.; Macsai, M.S.; Mannis, M.J.; Glasser, D.B.; Strong, D.M.; Noël, L.; Fehily, D. Eye Banking and Corneal Transplantation Communicable Adverse Incidents. Cornea 2013, 32, 1155–1166. [Google Scholar] [CrossRef]
- Ang, M.; Moriyama, A.; Colby, K.; Sutton, G.; Liang, L.; Sharma, N.; Hjortdal, J.; Shun Chiu Lam, D.; Williams, G.P.; Armitage, J.; et al. Corneal Transplantation in the Aftermath of the COVID-19 Pandemic: An International Perspective. Br. J. Ophthalmol. 2020, 104, 1477–1481. [Google Scholar] [CrossRef]
- Busin, M.; Yu, A.C.; Ponzin, D. Coping with COVID-19: An Italian Perspective on Corneal Surgery and Eye Banking in the Time of a Pandemic and Beyond. Ophthalmology 2020, 127, e68–e69. [Google Scholar] [CrossRef] [PubMed]
- Das, A.; Narayanan, R. Demographics and Clinical Presentation of Patients with Ocular Disorders during the COVID-19 Lockdown in India: A Report. Indian J. Ophthalmol. 2020, 68, 1393. [Google Scholar] [PubMed]
- Breazzano, M.P.; Nair, A.A.; Arevalo, J.F.; Barakat, M.R.; Berrocal, A.M.; Chang, J.S.; Chen, A.; Eliott, D.; Garg, S.J.; Ghadiali, Q.; et al. Frequency of Urgent or Emergent Vitreoretinal Surgical Procedures in the United States During the COVID-19 Pandemic. JAMA Ophthalmol. 2021, 139, 456. [Google Scholar] [CrossRef] [PubMed]
- Babu, N.; Kohli, P.; Mishra, C.; Sen, S.; Arthur, D.; Chhablani, D.; Baliga, G.; Ramasamy, K. To Evaluate the Effect of COVID-19 Pandemic and National Lockdown on Patient Care at a Tertiary-Care Ophthalmology Institute. Indian J. Ophthalmol. 2020, 68, 1540. [Google Scholar] [PubMed]
- Iovino, C.; Caporossi, T.; Peiretti, E. Vitreoretinal Surgery Tip and Tricks in the Era of COVID-19. Graefe’s Arch. Clin. Exp. Ophthalmol. 2020, 258, 2869–2870. [Google Scholar] [CrossRef]
- Kiss, P.; Carcel, C.; Hockham, C.; Peters, S.A.E. The Impact of the COVID-19 Pandemic on the Care and Management of Patients with Acute Cardiovascular Disease: A Systematic Review. Eur. Heart J.-Qual. Care Clin. Outcomes 2021, 7, 18–27. [Google Scholar] [CrossRef]
- Sud, A.; Jones, M.E.; Broggio, J.; Loveday, C.; Torr, B.; Garrett, A.; Nicol, D.L.; Jhanji, S.; Boyce, S.A.; Gronthoud, F.; et al. Collateral Damage: The Impact on Outcomes from Cancer Surgery of the COVID-19 Pandemic. Ann. Oncol. 2020, 31, 1065–1074. [Google Scholar] [CrossRef]
- Barranco, R.; Messina, C.; Bonsignore, A.; Cattrini, C.; Ventura, F. Medical Liability in Cancer Care during COVID-19 Pandemic: Heroes or Guilty? Front. Public Health 2020, 8, 602988. [Google Scholar] [CrossRef]
- Cattaneo, C. Forensic Medicine in the Time of COVID 19: An Editorial from Milano, Italy. Forensic Sci. Int. 2020, 312, 110308. [Google Scholar] [CrossRef]
- Treglia, M.; Pallocci, M.; Passalacqua, P.; Giammatteo, J.; de Luca, L.; Mauriello, S.; Cisterna, A.M.; Marsella, L.T. Medical Liability: Review of a Whole Year of Judgments of the Civil Court of Rome. Int. J. Environ. Res. Public Health 2021, 18, 6019. [Google Scholar] [CrossRef]
- Ferorelli, D.; Nardelli, L.; Spagnolo, L.; Corradi, S.; Silvestre, M.; Misceo, F.; Marrone, M.; Zotti, F.; Mandarelli, G.; Solarino, B.; et al. Medical Legal Aspects of Telemedicine in Italy: Application Fields, Professional Liability and Focus on Care Services during the COVID-19 Health Emergency. J. Prim. Care Community Health 2020, 11, 215013272098505. [Google Scholar] [CrossRef] [PubMed]
- Postorino, M.; Treglia, M.; Giammatteo, J.; Pallocci, M.; Petroni, G.; Quintavalle, G.; Picchioni, O.; Cantonetti, M.; Marsella, L.T. Telemedicine as a Medical Examination Tool During the COVID-19 Emergency: The Experience of the Onco-Haematology Center of Tor Vergata Hospital in Rome. Int. J. Environ. Res. Public Health 2020, 17, 8834. [Google Scholar] [CrossRef] [PubMed]



| SAN GIOVANNI DI DIO (CAGLIARI) | |||||||
| PRE-COVID-19 YEAR | COVID-19 YEAR | ||||||
| Period | N | Median (25–75 Quartiles) | Period | N | Median (25–75 Quartiles) | Δ | p-Value |
| First quarter | 0 | 0 [0-0] | Lockdown | 1 | 0 [0-0] | - | 0.25 |
| Second quarter | 2 | 0 [0-0] | Unlock | 2 | 0 [0-0] | 0 | 0.74 |
| Last six months | 2 | 0 [0-0] | Second Wave | 7 | 0 [0-1] | +71.42% | 0.79 |
| Total | 4 | Total | 10 | +60% | 0.23 | ||
| MATER DOMINI (CATANZARO) | |||||||
| PRE-COVID-19 YEAR | COVID-19 YEAR | ||||||
| Period | N | Weekly Mean ± SD | Period | N | Weekly Mean ± SD | Δ | p-Value |
| First quarter | 37 | 2.85 ± 0.99 | Lockdown | 19 | 1.46 ± 1.76 | −48.64% | 0.02 |
| Second quarter | 27 | 2.08 ± 1.55 | Unlock | 27 | 2.08 ± 1.93 | 0% | 1 |
| Last six months | 59 | 2.27 ± 1.28 | Second Wave | 40 | 1.54 ± 1.33 | −32.20% | 0.04 |
| Total | 123 | Total | 86 | −30.08% | 0.02 | ||
| SAN GIOVANNI DI DIO (CAGLIARI) | MATER DOMINI (CATANZARO) | |||||
|---|---|---|---|---|---|---|
| Diagnosis | PRE-COVID-19 | COVID-19 | Δ | PRE-COVID-19 | COVID-19 | Δ |
| KERATOCONUS | 1 | 1 | 0% | 44 | 32 | −27% |
| CORNEAL OPACITY | - | 2 | 200% | 20 | 14 | −30% |
| FUCHS’ ENDOTHELIAL DISTROPHY | - | - | - | 6 | 8 | 33% |
| PSEUDOPHAKIC BULLOUS KERATOPATHY | - | 2 | 200% | 24 | 10 | −58% |
| ECTASIA IN CORNEAL GRAFT | - | - | - | 9 | 8 | −11% |
| CORNEAL GRAFT REJECTION/PERFORATION | 3 | 5 | 40% | 20 | 14 | −67% |
| SAN GIOVANNI DI DIO (CAGLIARI) | MATER DOMINI (CATANZARO) | |||||
|---|---|---|---|---|---|---|
| Surgical Procedure | PRE-COVID-19 | COVID-19 | Δ | PRE-COVID-19 | COVID-19 | Δ |
| PK | 4 | 10 | 60% | 1 | 5 | 400% |
| ALK | - | - | - | 57 | 39 | −32% |
| EK | - | - | - | 38 | 25 | −34% |
| MUSHROOM KERATOPLASTY | - | - | - | 16 | 6 | −63% |
| GRAFT REVISION | - | - | - | 11 | 11 | 0% |
| SAN GIOVANNI DI DIO (CAGLIARI) | |||||||
| PRE-COVID-19 YEAR | COVID-19 YEAR | ||||||
| Period | N | Weekly Mean ± SD | Period | N | Weekly Mean ± SD | Δ | p-Value |
| First quarter | 105 | 8.07 ± 3.27 | Lockdown | 61 | 4.69 ± 2.81 | −41.9% | 0.009 |
| Second quarter | 63 | 4.84 ± 3.95 | Unlock | 58 | 4.46 ± 3.15 | −7.94% | 0.78 |
| Last six months | 164 | 6.30 ± 2.82 | Second Wave | 170 | 6.53 ± 3.38 | +3.66% | 0.79 |
| Total | 332 | Total | 289 | −27.26% | 0.2 | ||
| MATER DOMINI (CATANZARO) | |||||||
| PRE-COVID-19 YEAR | COVID-19 YEAR | ||||||
| Period | N | Weekly Mean ± SD | Period | N | Weekly Mean ± SD | Δ | p-Value |
| First quarter | 62 | 4.77 ± 2.65 | Lockdown | 51 | 3.92 ± 2.84 | −17.74% | 0.44 |
| Second quarter | 90 | 6.92 ± 4.05 | Unlock | 101 | 7.76 ± 3.91 | +12.22% | 0.59 |
| Last six months | 123 | 4.65 ± 3.00 | Second Wave | 207 | 7.96 ± 5.28 | +71.07% | 0.007 |
| Total | 273 | Total | 359 | +31.50% | 0.04 | ||
| SAN GIOVANNI DI DIO (CAGLIARI) | MATER DOMINI (CATANZARO) | |||||
|---|---|---|---|---|---|---|
| Diagnosis | PRE-COVID-19 | COVID-19 | Δ | PRE-COVID-19 | COVID-19 | Δ |
| RETINAL DETACHMENT | 123 | 112 | −9% | 91 | 148 | 63% |
| VITREOUS HEMORRHAGE | 20 | 30 | 50% | 36 | 49 | 36% |
| EPIRETINAL MEMBRANE | 59 | 34 | −42% | 40 | 45 | 13% |
| SILICONE OIL IN VITREOUS CAVITY | 13 | 21 | 62% | 33 | 39 | 18% |
| RECURRENT RETINAL DETACHMENT | 45 | 35 | −22% | 20 | 26 | 30% |
| MACULAR HOLE | 44 | 24 | −45% | 12 | 20 | 67% |
| LENS FRAGMENTS IN VITREOUS CAVITY | 5 | 9 | 80% | 18 | 13 | −28% |
| IOL DISLOCATED IN VITREOUS CAVITY | 8 | 10 | 25% | 18 | 12 | −33% |
| DIABETIC RETINOPATHY | 10 | 11 | 10% | 3 | 5 | 67% |
| SYNCHYSIS SCINTILLANS | 0 | 1 | - | 0 | 1 | - |
| IOL OPACIFICATION | - | - | - | 1 | 1 | 0% |
| VITRITIS | - | - | - | 3 | 0 | −100% |
| ENDOPHTHALMITIS | 1 | 0 | - | - | - | - |
| OCULAR TRAUMA | 4 | 112 | −50% | - | - | - |
| SAN GIOVANNI DI DIO (CAGLIARI) | MATER DOMINI (CATANZARO) | |||||
|---|---|---|---|---|---|---|
| Surgical Procedure | PRE-COVID-19 | COVID-19 | Δ | PRE-COVID-19 | COVID-19 | Δ |
| PPV | 308 | 264 | −14% | 214 | 307 | 43% |
| PPV + SCLERAL FIXATED IOL | 14 | 17 | 21% | 30 | 23 | −23% |
| SCLERAL BUCKLING | 10 | 8 | −20% | 29 | 29 | 0% |
| SAN GIOVANNI DI DIO (CAGLIARI) | |||||||
| PRE-COVID-19 YEAR | COVID-19 YEAR | ||||||
| Period | N | Weekly Mean ± SD | Period | N | Weekly Mean ± SD | Δ | p-Value |
| First quarter | 227 | 17.46 ± 8.77 | Lockdown | 12 | 0.92 ± 1.11 | −94.71% | <0.001 |
| Second quarter | 96 | 7.30 ± 6.27 | Unlock | 110 | 8.46 ± 6.13 | +14.58% | <0.001 |
| Last six months | 546 | 21 ± 9.96 | Second Wave | 335 | 12.88 ± 8.29 | −38.64% | 0.66 |
| Total | 869 | Total | 457 | −47.41% | 0.002 | ||
| MATER DOMINI (CATANZARO) | |||||||
| PRE-COVID-19 YEAR | COVID-19 YEAR | ||||||
| Period | N | Weekly Mean ± SD | Period | N | Weekly Mean ± SD | Δ | p-Value |
| First quarter ¥ | 243 | 18.69 ± 6.86 19 (16–23) | Lockdown ¥ | 25 | 1.92 ± 4.03 1 (0–2) | −89.71% | <0.001 |
| Second quarter | 234 | 18 ± 10.71 | Unlock | 221 | 17 ± 11.87 | −5.56% | 0.82 |
| Last six months | 580 | 22.31 ± 9.12 | Second Wave | 486 | 18.69 ± 12.95 | −16.21% | 0.24 |
| Total | 1057 | Total | 732 | −30.75% | 0.07 | ||
Publisher’s Note: MDPI stays neutral with regard to jurisdictional claims in published maps and institutional affiliations. |
© 2022 by the authors. Licensee MDPI, Basel, Switzerland. This article is an open access article distributed under the terms and conditions of the Creative Commons Attribution (CC BY) license (https://creativecommons.org/licenses/by/4.0/).
Share and Cite
Demarinis, G.; Mazzuca, D.; Tatti, F.; Borselli, M.; Mancini, A.; Carnevali, A.; Logozzo, L.; Veraldi, A.; Stefano, O.; Guarna, F.; et al. Effect of the First Year of COVID-19 Pandemic on Ophthalmological Practice: A Multi-Centre Italian Study with a Focus on Medico-Legal Aspects. Appl. Sci. 2022, 12, 4453. https://doi.org/10.3390/app12094453
Demarinis G, Mazzuca D, Tatti F, Borselli M, Mancini A, Carnevali A, Logozzo L, Veraldi A, Stefano O, Guarna F, et al. Effect of the First Year of COVID-19 Pandemic on Ophthalmological Practice: A Multi-Centre Italian Study with a Focus on Medico-Legal Aspects. Applied Sciences. 2022; 12(9):4453. https://doi.org/10.3390/app12094453
Chicago/Turabian StyleDemarinis, Giuseppe, Daniela Mazzuca, Filippo Tatti, Massimiliano Borselli, Alessandra Mancini, Adriano Carnevali, Laura Logozzo, Antonio Veraldi, Ottavio Stefano, Francesca Guarna, and et al. 2022. "Effect of the First Year of COVID-19 Pandemic on Ophthalmological Practice: A Multi-Centre Italian Study with a Focus on Medico-Legal Aspects" Applied Sciences 12, no. 9: 4453. https://doi.org/10.3390/app12094453
APA StyleDemarinis, G., Mazzuca, D., Tatti, F., Borselli, M., Mancini, A., Carnevali, A., Logozzo, L., Veraldi, A., Stefano, O., Guarna, F., Scorcia, V., Peiretti, E., & Giannaccare, G. (2022). Effect of the First Year of COVID-19 Pandemic on Ophthalmological Practice: A Multi-Centre Italian Study with a Focus on Medico-Legal Aspects. Applied Sciences, 12(9), 4453. https://doi.org/10.3390/app12094453

