Next Article in Journal
Automatic Speech Recognition (ASR) Systems for Children: A Systematic Literature Review
Next Article in Special Issue
Pure Electric Sweeper Performance Analysis and Test Verification of Dust Extraction Port
Previous Article in Journal
Contactless Vital Sign Monitoring System for In-Vehicle Driver Monitoring Using a Near-Infrared Time-of-Flight Camera
Previous Article in Special Issue
A Fatigue Reliability Assessment for Rail Tension Clamps Based on Field Measurement Data
 
 
Font Type:
Arial Georgia Verdana
Font Size:
Aa Aa Aa
Line Spacing:
Column Width:
Background:
Article

Experimental Study on Settlement Behavior of Ballasted Tracks with Polymer Compound-Coated Gravel

Department of Construction Engineering, Dongyang University, No.145 Dongyangdae-ro, Punggi-eup, Yeongju-si 36040, Gyeongsangbuk-do, Korea
Appl. Sci. 2022, 12(9), 4418; https://doi.org/10.3390/app12094418
Submission received: 29 March 2022 / Revised: 25 April 2022 / Accepted: 25 April 2022 / Published: 27 April 2022
(This article belongs to the Special Issue Advances on Structural Engineering, Volume III)

Abstract

The ballast used in ballasted railway tracks transmits load from the rails and ties to the subgrade during train travel, and directly affects the overall track support performance and elastic behavior of the ballasted track. Due to the material limitations of the ballast, it is difficult to quantitatively manage its performance, status, and shape maintenance, and the use of the ballast requires continuous maintenance and management work. In this study on a proposed ballast material, ballast box tests and numerical analyses were performed to examine the performance of the ballast that has a gravel coating layer and can be used semi-permanently while maintaining the shape of the ballast against impacts, abrasion, and friction. The results show that the coated ballast’s performance ensured constant stiffness in comparison to that of a normal ballast.

1. Introduction

Railway ballasted track is one of the most-often constructed track types in urban railways, general railways, and high-speed railways. The ballast used as track bed material consists of crushed gravel with a size of 4–5 cm, and has been used since the beginning of railway history 200 years ago. Approximately 80% of railway tracks in South Korea are ballasted tracks. Ballasted tracks transmit load from the rails and ties to the subgrade during railway vehicle travel and feature good drainage, as shown in Figure 1.
Ballast is a core track component that directly affects the overall track support performance and elastic behavior, and it has the advantage of a short construction period and inexpensive construction cost. However, ballasted tracks experience plastic deformation (such as ballast flow), track deterioration, ballast pollution, and reductions in water permeability due to mud-pumping as a result of the repeated load of the railway vehicles. These disadvantages affect the riding safety of the railway vehicles and comfort of the passengers. As such, ballast has the disadvantage of requiring railway operators to periodically measure track deformation and perform repair work if safety thresholds are exceeded. In addition, the status and performance of the ballast create significant differences in the impact and vibration levels that act upon the track during train car travel. If the ballast’s performance is reduced, track deterioration is exacerbated, which causes track irregularities (such as alignment, longitudinal level, cross level, and twist), which directly affect the railway vehicle’ riding safety and comfort and increase track maintenance costs.
Currently, in South Korea and abroad, track beds require continuous maintenance and management, such as adding new ballasts and cleaning, because of changes in the overall functionality of ballasted track beds that are caused by changes in the cross-sections of the ballast due to internal and external impacts, as load is directly transferred from the railway vehicles. Therefore, in order to reinforce the current track bed ballast, railway operators are using methods such as laying ballast mats under ballasted track beds and injecting resin-based ballast stabilizers and non-shrink mortar into the ballast to cause bonding and solidification among ballast pieces. However, methods that inject track bed stabilizers and non-shrink mortar are based on the concept of removing the elastic functions of the ballast and converting it into a concrete track bed. Currently, this may be effective at resolving ballasted track maintenance problems such as mud-pumping and nonuniform settlement, but this approach is unavoidably limited in terms of function and effectiveness, and it fundamentally cannot prevent or reduce ballast wear, deformation, and damage. Furthermore, it still cannot resolve the problem of reduced track performance and degradation caused by a damaged ballast.
In tracks where railway vehicles travel, the ballast pieces are deformed by the vibrations caused by the railway vehicle load, and these tracks have the structural property of progressive track irregularity. When the wearing and crushing of the ballast is accelerated and the ballast is damaged by repetitive railway vehicle operation and track repair work, as shown in Figure 2, the track’s support capacity is reduced, and track irregularities occur due to fouling. In addition, if the ballast directly below the ties becomes pulverized, it can cause the track bed to solidify by mixing with the soil [1,2]. When rainwater and freeze–thaw cycles act upon the track bed, mud-pumping occurs due to poor drainage, and the track bed becomes polluted.
Due to the nonuniform track settlement and track irregularities that occur when the ballast is worn and crushed, continuous maintenance such as tamping, cleaning, and replacement are required.
Ballasts with severe levels of pollution are sent to landfills as waste and incur a great deal of processing costs. Water cleaning using water and detergent and chemical processing methods using hydrogen peroxide and acid can be used as polluted ballast processing methods, but they have several problems, such as low processing efficiency, slow processing speed, and the generation of secondary pollutants. In addition, buried pollutants in the form of leachates and landfill gases adversely affect the environment. In order to resolve these problems, Bae et al. [3] performed a study on manufacturing a new style of dry-cleaning device to purify the ballast. In addition, Kim et al. [4] performed experiments to study the optimal track settlement properties of ballasted track beds, taking maintenance into account. Analysis of the experimental results with the regression equation of Sato’s track settlement model [5] showed that the effect was slight when the pad was made highly elastic, but the effect was significant when the weight of the ties and the ballast thickness were increased.
Kim [6] performed a numerical analysis study according to the ballast particle size distribution, and Go and Lee [7] used the Python-based open-source code gprMax and the RSA algorithm to identify fouling layers in ballasted track bed ground. Lee et al. [8] performed laboratory box experiments and field experiments on ballasted track settlement properties, taking particle size and load conditions into account. Holubec and D’Appolonia found that damage and deformation increase, and the ballast’s stiffness decreases as the particle size angle increases [9]. Schoultze and Coesfeld found that the settlement of uniform-grade railway ballast varies widely according to the material’s particle size and particle size distribution, but they did not reach a definite conclusion [10]. However, Raymond et al. reported that specimens with larger particle sizes experience greater plastic deformation during one-dimensional compression tests at the same level of compression and similar densities. As in the case of fill material, this behavior is due to the breaking of contact points between particles under high loads and the movement of particles to more stable locations [11].
Nålsund [12] performed experiments by removing and re-tamping the ballast after every 100 million loads over the course of 4 million repeated loads in order to examine the effect of particle size distribution properties on deterioration and settlement. The fine material that occurs as the ballast is broken down is generally known to be a major cause of pollution, and tamping (i.e., compaction) was indicated as a major cause of ballast material breakdown. Single-sized ballasts tend to be preferred, but it was found that a ballast with a better distribution shows better behavior than a ballast with a uniform particle size distribution (single-sized ballast), and it shows less permanent strain than a small-sized ballast. Aursudkij performed Los Angeles abrasion (LAA) and micro-deval attrition (MDA) experiments to examine the behavior of a railway ballast during rail car loading and tamping maintenance, and the results showed that ballast damage is related to tamping [13]. Indraratna et al. performed field experiments that reinforced a recycled ballast with geocomposite, and the results showed that it was possible to reduce vertical and lateral deformation, thereby reducing maintenance costs [14].
Most of the current research on track bed ballast improvement is related to maintenance activities, such as ballast cleaning, as well as research on track bed ballast crushing and wear. Insufficient research has been pursued on reducing wear and friction between ballast pieces while maintaining uniform ballast quality and ballast shape in the face of impacts, wear, and friction in order to resolve the problems caused by railway vehicle loading, ballast flow, and other issues. As such, a pressing need exists for studies on developing a track bed ballast with good durability that can be used semi-permanently while maintaining the shape of the ballast in the face of impacts, wear, and friction. In previous research, differences in rough stones, particle size distribution, material strength, number of repetitions, and setting behavior were analyzed according to load conditions, etc.
Herein, the static spring stiffness and long-term setting behavior of the ballast coated with a high-molecular compound are experimentally compared with those of the normal ballast. In addition, the proposed coating is different from binding with epoxy or urethane or inserting separately processed aggregate to stabilize the ballast, as discussed in previous studies [15,16].
In this study, a railway ballast was developed with an impact-resistant, highly elastic polymer compound coating in order to quantify and increase the ballasted track’s level of elasticity and mitigate issues in the field, such as mud-pumping and track bed drainage difficulties. In addition, to check the performance of the proposed ballast, ballast box tests and finite element analyses were performed to confirm that the ballast is a suitable substitute for the existing ballast. It was experimentally proven that the long-term settlement behavior of the ballast can be improved by coating it with a polymer compound, and this imparts elasticity and maintains the ballast shape even after cyclic loading.

2. Performance Tests on the Coated Ballast

2.1. Composition of the Coated Ballast

In the proposed design, the exterior of the track bed ballast was coated by a polymer compound material at a uniform thickness so that friction and wear between ballast pieces is minimized while maintaining the exterior shape of the ballast itself to increase impact resistance and elasticity, making it possible to semi-permanently maintain the elastic capacity of the track bed layer that supports a ballasted track. The coating material used was polyvinyl chloride (PVC). PVC is a thermoplastic polymer currently widely used in many aspects of life and has become a universal polymer. PVC resins are generally mixed with other additives, such as impact modifiers and stabilizers, providing hundreds of PVC-based materials with a variety of engineering properties. Owing to their durability, dependability, light weight, and flexibility, PVC coatings help to maintain the integrity of the coated object. The soil type of PVC raw material was melted and mixed with other additives such as impact modifiers and stabilizers processed into liquid form. Then, the coated ballast was completed by immersing (dipping process) the railway ballast in PVC processed in liquid form, coating the ballast with about 2 mm, and curing it by post-heat treatment. In this study, the type of stone used as a ballast aggregate was acquired from the crushing of rocks. Extrusive igneous rocks (rheolite, andesite, and basalt) are the most suitable parent rocks for the railway ballast. Figure 3a shows the cross-section of the coated ballast, and Figure 3b shows a comparison of the coated ballast and the normal ballast before and after roughing. Coating the ballast with the polymer compound, as shown in Figure 3b, endowed it with an elastic effect (reduced impact and cushioning effect), and the friction angle and friction coefficient between pieces of ballast were improved by adjusting the coating layer’s surface roughness. By doing so, ballast wear, friction, and the risk of damage, such as breaking, were markedly reduced, and the overall performance of the ballasted track can be improved by increasing the durability (ballast shape maintenance) and elasticity of the ballast itself.

2.2. Ballast Box Test of Coated Ballast

The laboratory testing method known as ballast box testing was performed in order to understand the properties of the wear and crushing that are caused by reduced ballast resistance due to railway vehicle operation, poor impact absorption, and track irregularities. The ballast box test specifications were adopted from previous studies [15,16,17,18]. The ballast box test was developed at the University of Massachusetts to understand the properties of settlement, wear, and crushing in railway track beds due to the passage of railway vehicles. The ballast was placed in a steel box, and its behavior was examined by repeatedly applying a load to a piece of railway tie, which is a load-bearing plate.
The ballast box has a width of 500 mm, depth of 500 mm, and height of 500 mm, and is constructed so that it can assess the behavior of the ballast during wheel loading. Figure 4 shows the ballast box tests for the normal and coated ballast.
Figure 5 shows the state of the ballast after the ballast box tests. As shown in Figure 5a, wear and crushing occurred in the normal ballast. Figure 5b,d show that the coated ballast test results confirm that the polymer compound coating layer can mitigate ballast wear and crushing by reducing the impacts and friction between ballast pieces that occur during repeated loading. In addition, in the specimen with mixed normal ballast and coated ballast, only a few marks occurred on the coated ballast, as shown in Figure 5c.
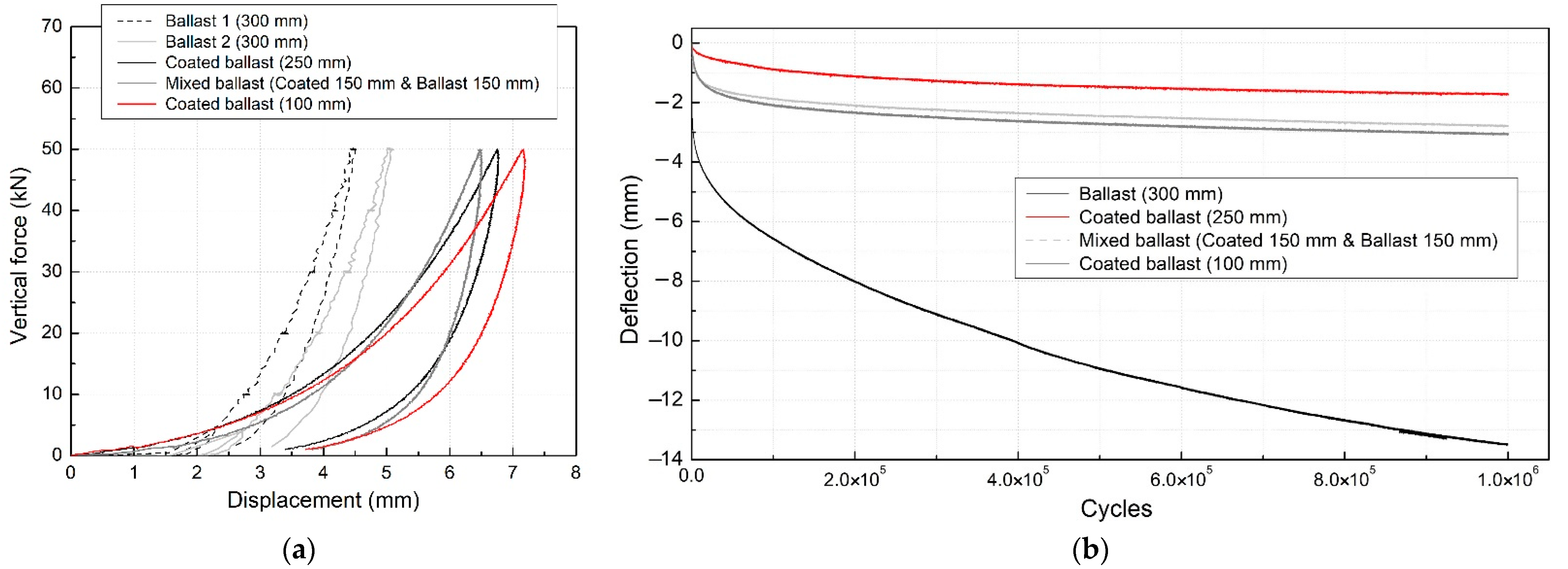
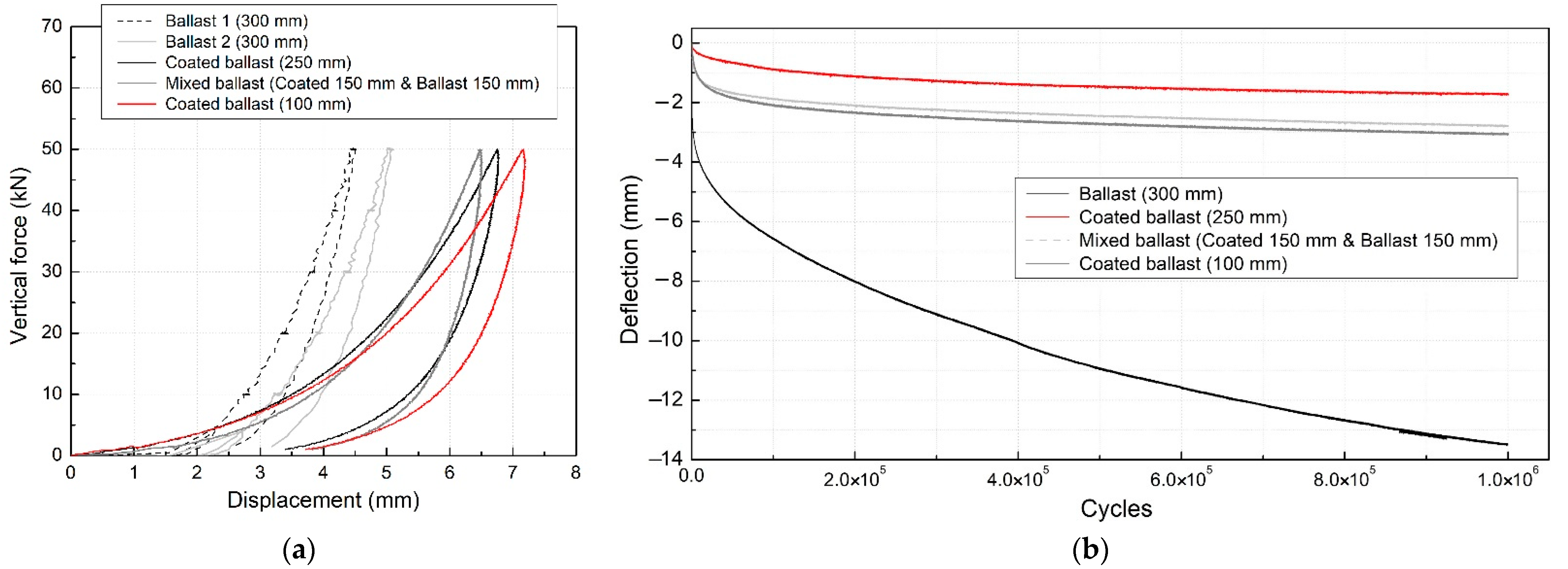
The ballast box laboratory testing program was established to analyze changes in the short- and long-term settlement of the ballast layer under repeated loading, enabling the direct assessment of ballast performance and its short- and long-term maintainability. This assessment was accomplished by obtaining the static load–displacement curve (spring stiffness of ballast underneath sleeper) for each ballast sample test case. Figure 6 shows an overview of the laboratory test results.
As shown in Figure 6a, it was found that the spring stiffness of the normal ballast, in which the shape of the load–displacement curve changes during the testing process, was not constant even under the same test conditions, and the spring stiffness of the normal ballast, which corresponds to the slope of the load–displacement curve, was larger than that of the coated ballast. In Figure 6a, the coated ballast was used after the fatigue test of 1 million cycles. On the other hand, in the case of the coated ballast, it was found that the load–displacement curve was not directly affected by the thickness of the coated ballast and the mixing conditions with the normal ballast, and the coated ballast was able to provide a constant spring stiffness. The load–displacement slope when the coated ballast and the normal ballast were mixed and the load–displacement slope of the coated ballast were similar. In addition, the stiffness of the coated ballast track was confirmed to be flexible, and the damping performance was confirmed by the load–displacement diagram. As shown in Figure 6b, the contact surfaces between particles of the normal ballast were increased, and the amount of ballast settlement increased rapidly according to the number of cycles as the particles were compacted. Compaction occurred as the ballast was fractured by the concentration of stress on the particle contact points. In addition, it was found that the settlement progress rate was much faster than that of the coated ballast. Notably, the progress of settlement was much faster for the normal ballast than for the coated ballast. After the fatigues test was performed for the same number of repetitions (1 million cycles), the settlement of the coated ballast was lower than that of the ordinary ballast, which verifies the improved long-term durability and settlement characteristics of the coated ballast. Indeed, the settlement of the coated ballast samples was quite small in each 1 million cycle fatigue test, verifying the improved long-term durability and settlement characteristics of the coated ballast. In addition, it was found that the coated ballast’s thickness and mixing conditions with the normal ballast had an effect on the overall settlement level, but they did not have a direct effect on settlement progress according to the number of cycles. Therefore, it was found that the thickness of the coated ballast and its mixing with the normal ballast had a small effect on the overall settlement, but no direct effect on the progress of settlement with ongoing load cycles. This small change in the functional and performance effects compared to the pure coated ballast indicates that mixing the coated ballast with the normal ballast offers an economically advantageous approach for improving ballast durability and reducing track settlement.

3. Numerical Analysis of Coated Ballast

The behavior of the ballast and the coated ballast in the ballast box tests was confirmed through numerical analysis performed with ANSYS workbench version 2021 R1 [19]. The mechanical properties of the material used in the numerical analysis are shown in Table 1. For the boundary conditions of the numerical analysis model, the bottom of the ballast box was fixed, while static and repeated loads were applied to the load plate on the top of the ballast, similar to the experimental conditions described in Section 2. Since the model could not simulate the particle size distribution of the ballast in the same way, ballast particles were modeled as spherical and prismatic solid elements. Therefore, even if 250 mm of the coated ballast is not installed, mixed ballast is suitable for installing coated ballast on normal ballast in consideration of economic feasibility and on-site construction. In addition, a contact-stiffness behavior model and a slip behavior model were chosen and applied to the linear mechanical properties model. Figure 7a shows the numerical analysis modeling, Figure 7b shows the boundary conditions and load conditions, and Figure 7c,d show the numerical analysis results. In Figure 7c, it is observed that the vertical displacement that occurred in the normal ballast was smaller than that of the coated ballast shown in Figure 7d. However, in the stress comparison shown in Figure 7e,f, it is observed that the resistive stress value of the coated ballast was more than 60% greater than that of the normal ballast.
Figure 8 shows the results of applying a static load to the normal and coated ballast, and it is observed that the coated ballast had greater settlement and greater stiffness compared to the normal ballast under the same load conditions. The reason for this result is that the flexible polymer compound resisted the load when it was applied. As a result of the numerical analysis, the slope was similar when 150 mm of normal ballast and 150 mm of coated ballast were mixed and when 250 mm of coated ballast was stacked. Thus, the numerical analysis could not simulate all aspects of the ballast, such as the ballast arrangement and mud-pumping. However, by using the mechanical properties of the material, the relative durability of the normal ballast and coated ballast samples could be inferred from the vertical displacement and settlement observed under static and cyclic loads, respectively. The experimental and simulation results were different because of the uneven shape of the actual ballast, in contrast to the uniform ballast shape used in the simulation. In the experimental test, the friction between the ballast, crushing, and change in the voids between the ballast resulted in a rather large difference from the experimental result. However, as shown in Figure 8, the slopes (static spring stiffness) of the load–displacement curves obtained from the model and experiment were similar (reduced) for the coated ballast.

4. Conclusions

In this study, we experimentally confirmed that the effects of long-term settlement behavior and static spring stiffness performance can be improved by comparatively studying coated and normal ballasts. It is difficult to compare the behavior of ballasts with complex shapes through experimental and numerical analyses. Therefore, for comparison with the experimental analysis, a numerical analysis was performed to confirm whether the variations in the static spring stiffness of the ballasted track, to which the coating material was applied, can be accurately represented. Ballast box tests were performed to examine the performance of the normal ballast and the proposed polymer-coated ballast. The laboratory test results indicated that the shape of the load–displacement curve of the normal ballast under static load changed compared to the coated ballast, and it was confirmed that its material spring stiffness was not constant. In the laboratory tests, rapid settlement occurred under cyclic loading as the ballast particles were rearranged. This indicates that lateral deformation and settlement occurred owing to the wear at the contact points between ballast particles, as well as breakage, particle rotation, slippage, and rearrangement as repeated train loads were applied under low-constraint conditions. This settlement phenomenon is affected by various factors, such as the ballast material properties, ballast layer thickness, and train loads; however, improving the ballast, which is one of the factors that affects settlement, and using a coated ballast that minimizes wear and breakage in the ballast layer can effectively reduce ballasted track maintenance and repairs.
In addition, the behaviors of the normal and coated ballast samples were examined by numerical analysis simulations that were similar to the ballast box tests. The results confirmed that the coated ballast provided a constant stiffness that was 8.8% lower than that of the normal ballast. It was confirmed through experiments and numerical analysis that the coated ballast had a rigidity of constant slope. The rigidity of the coated ballast was constant even when the load was applied. The durability of the ballast samples was examined by applying cyclic loading, and the results confirmed that the coated ballast exhibited superior durability compared to the normal ballast. In the future, we plan to model the actual shape of the ballast using a 3D scanner and numerically analyze the ballast according to particle size. Moreover, studies will be conducted using the coated and normal ballasts in the field to examine the field applicability of the coated ballast.

Funding

This research received no external funding.

Institutional Review Board Statement

Not applicable.

Informed Consent Statement

Not applicable.

Data Availability Statement

Not applicable.

Acknowledgments

This study was supported by a grant from Dong Yang University in 2019.

Conflicts of Interest

The author declares no conflict of interest.

References

  1. Leng, Z.; Al-Qadi, I.L. Railroad ballast evaluation using ground-penetrating radar. Transp. Res. Rec. J. Transp. Res. Board 2010, 2159, 110–117. [Google Scholar] [CrossRef]
  2. Selig, E.T.; Waters, J.M. Track Geotechnology and Substructure Management; Thomas Telford: London, UK, 1994. [Google Scholar]
  3. Bae, J.Y.; Jeong, T.Y.; Kim, J.H.; Lee, S.T.; Joo, H.S.; Oh, S.T.; Cho, Y.M.; Park, D.S. A study for remediation of railroad ballast gravel using dry washing method. J. Korean Soc. Railw. 2017, 20, 365–375. [Google Scholar] [CrossRef][Green Version]
  4. Kim, M.C.; Bae, Y.H.; Lee, S.Y.; Park, Y.G. Experimental study on characteristics of track settlement depending on components of ballast track. J. Korean Soc. Railw. 2016, 19, 498–505. [Google Scholar] [CrossRef]
  5. Sato, Y. Japanese studies on deterioration of ballasted track. Veh. Syst. Dyn. Int. J. Veh. Mech. Mobil. 1995, 24, 197–208. [Google Scholar] [CrossRef]
  6. Kim, D.S. Economic evaluation on geosynthetic reinforced abutment for railways. J. Korea Acad.-Ind. Coop. Soc. 2019, 20, 15–20. [Google Scholar]
  7. Go, K.H.; Lee, S.J. Numerical modeling for the identification of fouling layer in track ballast ground. J. Korean Geotech. Soc. 2021, 37, 13–24. [Google Scholar]
  8. Lee, I.W. Aggregate criterion for paved track considering recycling of railway ballast. J. Korean Soc. Railw. 2009, 12, 481–487. [Google Scholar]
  9. Houbec, I.; D’appolonia, E. Effect of particle shape on the engineering properties of granular soils. In Evaluation of Relative Density and Its Role in Geotechnical Projects Involving Cohesionless Soils; ASTM STP: West Conshohocken, PA, USA, 1973; Volume 523, pp. 304–318. [Google Scholar]
  10. Schoultze, E.; Coesfeld, G. Elastic properties of ballast. In Proceedings of the 5th International Conference on Soil Mechanics and Foundation Engineering, Paris, France, 17–22 July 1961. [Google Scholar]
  11. Raymond, G. Research on railroad ballast specification and evaluation. Transp. Res. Rec. 1985, 1006, 1–8. [Google Scholar]
  12. Nålsund, R. Effect of grading on degradation of crushed-rock railway ballast and on permanent axial deformation. Transp. Res. Rec. 2010, 2154, 149–155. [Google Scholar] [CrossRef]
  13. Aursudkij, B. A Laboratory Study of Railway Ballast Behavior under Traffic Loading and Tamping Maintenance. Ph.D. Thesis, University of Nottingham, Nottingham, UK, 2007. [Google Scholar]
  14. Indraratna, B.; Nimbalkar, S.; Christie, D.; Rujikiatkamjorn, C.; Vinod, J. Field assessment of the performance of a ballasted rail track with and without geosynthetics. J. Geotech. Geoenviron. Eng. ASCE 2010, 136, 907–917. [Google Scholar] [CrossRef]
  15. Jideani, T.C.U. The Development of Suitable Cyclic Loading and Boundary Conditions for Ballast Box Tests. Master Thesis, University of Pretoria, Pretoria, South Africa, 2018. [Google Scholar]
  16. Khoshoei, S.M.; Bak, H.M.; Abtahi, S.M. Experimental investigation of the cyclic behavior of steel-slag ballast mixed with tire-derived aggregate. J. Mater. Civ. Eng. 2021, 33, 2. [Google Scholar]
  17. Wang, L.; Zhao, Z.; Wang, J.; Li, X.; Huang, Y.; Yao, T. Mechanical characteristics of ballast bed under dynamic stabilization operation based on discrete element and experimental approaches. Shock. Vib. 2021, 2021, 6627612. [Google Scholar] [CrossRef]
  18. Alabbasi, Y.; Hussein, M. Large-scale triaxial and box testing on railroad ballast: A review. SN Appl. Sci. 2019, 1, 1592. [Google Scholar] [CrossRef]
  19. ANSYS Inc. ANSYS® 2007 ANSYS Workbench 2021 R1; ANSYS Inc.: Cannonsberg, PA, USA, 2016. [Google Scholar]
Figure 1. Diagram of ballasted track bed pressure distribution.
Figure 1. Diagram of ballasted track bed pressure distribution.
Applsci 12 04418 g001
Figure 2. Damaged ballast.
Figure 2. Damaged ballast.
Applsci 12 04418 g002
Figure 3. Comparison of normal ballast and coated ballast: (a) Coated ballast cross-section. (b) Comparison of coated ballast and normal ballast before and after surface roughing.
Figure 3. Comparison of normal ballast and coated ballast: (a) Coated ballast cross-section. (b) Comparison of coated ballast and normal ballast before and after surface roughing.
Applsci 12 04418 g003
Figure 4. View of tests in each laboratory experiment: (a) normal ballast (300 mm), (b) coated ballast (250 mm), (c) normal ballast (150 mm) and coated ballast (150 mm), (d) coated ballast (100 mm).
Figure 4. View of tests in each laboratory experiment: (a) normal ballast (300 mm), (b) coated ballast (250 mm), (c) normal ballast (150 mm) and coated ballast (150 mm), (d) coated ballast (100 mm).
Applsci 12 04418 g004
Figure 5. Ballast before and after laboratory experiments: (a) normal ballast (300 mm), (b) coated ballast (250 mm), (c) normal ballast (150 mm) and coated ballast (150 mm), (d) coated ballast (100 mm).
Figure 5. Ballast before and after laboratory experiments: (a) normal ballast (300 mm), (b) coated ballast (250 mm), (c) normal ballast (150 mm) and coated ballast (150 mm), (d) coated ballast (100 mm).
Applsci 12 04418 g005
Figure 6. Overview of laboratory experiment results: (a) Load–displacement curve according to test conditions. (b) Settlement curve according to number of cycles.
Figure 6. Overview of laboratory experiment results: (a) Load–displacement curve according to test conditions. (b) Settlement curve according to number of cycles.
Applsci 12 04418 g006
Figure 7. Static numerical analysis examples (250 mm): (a) ballast modeling, (b) load conditions and boundary conditions, (c) normal ballast (displacement), (d) coated ballast (displacement).
Figure 7. Static numerical analysis examples (250 mm): (a) ballast modeling, (b) load conditions and boundary conditions, (c) normal ballast (displacement), (d) coated ballast (displacement).
Applsci 12 04418 g007aApplsci 12 04418 g007b
Figure 8. Results of numerical analysis of the ballast under each load condition.
Figure 8. Results of numerical analysis of the ballast under each load condition.
Applsci 12 04418 g008
Table 1. Material and mechanical properties.
Table 1. Material and mechanical properties.
MaterialSpecific GravityAbsorption Rate (%)Unit
Volume (kN/m3)
Ration of
Absolute
Volume (%)
Elastic
Modulus (GPa)
Tensile Strength (MPa)Poisson’s
Ratio
Ballast2.50.714.355.4---
Polymer
Compound
----4.3059.810.35
Publisher’s Note: MDPI stays neutral with regard to jurisdictional claims in published maps and institutional affiliations.

Share and Cite

MDPI and ACS Style

Choi, J.-Y. Experimental Study on Settlement Behavior of Ballasted Tracks with Polymer Compound-Coated Gravel. Appl. Sci. 2022, 12, 4418. https://doi.org/10.3390/app12094418

AMA Style

Choi J-Y. Experimental Study on Settlement Behavior of Ballasted Tracks with Polymer Compound-Coated Gravel. Applied Sciences. 2022; 12(9):4418. https://doi.org/10.3390/app12094418

Chicago/Turabian Style

Choi, Jung-Youl. 2022. "Experimental Study on Settlement Behavior of Ballasted Tracks with Polymer Compound-Coated Gravel" Applied Sciences 12, no. 9: 4418. https://doi.org/10.3390/app12094418

APA Style

Choi, J.-Y. (2022). Experimental Study on Settlement Behavior of Ballasted Tracks with Polymer Compound-Coated Gravel. Applied Sciences, 12(9), 4418. https://doi.org/10.3390/app12094418

Note that from the first issue of 2016, this journal uses article numbers instead of page numbers. See further details here.

Article Metrics

Back to TopTop