Pneumonia Recognition by Deep Learning: A Comparative Investigation
Abstract
:1. Introduction
- Five classical deep learning models are compared, and the advantages and disadvantages of each model are analyzed.
- The computational accuracy and efficiency of each model in different situations is compared.
- Suggestions are given for the selection of deep learning models in different situations. This is beneficial for the rapid selection of suitable deep learning models in practical applications for pneumonia recognition to improve efficiency.
2. Methods
2.1. Overview
2.2. Step 1: Data Collection and Cleaning
2.2.1. Data Collection and Processing
2.2.2. Data Augmentation
2.3. Step 2: Deep Learning Model Construction for Pneumonia Recognition
2.3.1. Deep Learning Model Construction
2.3.2. Gpu Loading
2.4. Step 3: Comparative Analysis of Deep Learning Models for Pneumonia Recognition
3. Results
3.1. Experimental Environment
3.2. Details of Experimental Data
3.3. Comparison of the Models before Data Augmentation
3.3.1. Recognition Accuracy
3.3.2. Computational Efficiency
3.4. Comparison of the Models after Data Augmentation
3.4.1. Recognition Accuracy
3.4.2. Computational Efficiency
3.5. Comparison of Each Model before and after Data Augmentation
3.5.1. Recognition Accuracy
3.5.2. Computational Efficiency
4. Discussion
5. Conclusions
Author Contributions
Funding
Institutional Review Board Statement
Informed Consent Statement
Data Availability Statement
Acknowledgments
Conflicts of Interest
References
- Pereda, M.A.; Chavez, M.A.; Hooper-Miele, C.C.; Gilman, R.H.; Steinhoff, M.C.; Ellington, L.E.; Gross, M.; Price, C.; Tielsch, J.M.; Checkley, W. Lung Ultrasound for the Diagnosis of Pneumonia in Children: A Meta-analysis. Pediatrics 2015, 135, 714–722. [Google Scholar] [CrossRef] [Green Version]
- Ruuskanen, O.; Lahti, E.; Jennings, L.C.; Murdoch, D.R. Viral pneumonia. Lancet 2011, 377, 1264–1275. [Google Scholar] [CrossRef]
- Kalil, A.C.; Metersky, M.L.; Klompas, M.; Muscedere, J.; Sweeney, D.A.; Palmer, L.B.; Napolitano, L.M.; O’Grady, N.P.; Bartlett, J.G.; Carratala, J.; et al. Management of Adults With Hospital-acquired and Ventilator-associated Pneumonia: 2016 Clinical Practice Guidelines by the Infectious Diseases Society of America and the American Thoracic Society. Clin. Infect. Dis. 2016, 63, E61–E111. [Google Scholar] [CrossRef] [PubMed]
- Dai, W.C.; Zhang, H.W.; Yu, J.; Xu, H.J.; Chen, H.; Luo, S.P.; Zhang, H.; Liang, L.H.; Wu, X.L.; Lei, Y.; et al. CT Imaging and Differential Diagnosis of COVID-19. Can. Assoc. Radiol. J. 2020, 71, 195–200. [Google Scholar] [CrossRef] [Green Version]
- Apostolopoulos, I.D.; Mpesiana, T.A. COVID-19: Automatic detection from X-ray images utilizing transfer learning with convolutional neural networks. Phys. Eng. Sci. Med. 2020, 43, 635–640. [Google Scholar] [CrossRef] [PubMed] [Green Version]
- Rahman, T.; Chowdhury, M.E.H.; Khandakar, A.; Islam, K.R.; Islam, K.F.; Mahbub, Z.B.; Kadir, M.A.; Kashem, S. Transfer Learning with Deep Convolutional Neural Network (CNN) for Pneumonia Detection Using Chest X-ray. Appl. Sci. 2020, 10, 3233. [Google Scholar] [CrossRef]
- Heckerling, P.S.; Tape, T.G.; Wigton, R.S. Relation of physicians predicted probabilities of pneumonia to their utilities for ordering chest X-rays to detect pneumonia. Med. Decis. Mak. 1992, 12, 32–38. [Google Scholar] [CrossRef] [PubMed]
- Jaiswal, A.K.; Tiwari, P.; Kumar, S.; Gupta, D.; Khanna, A.; Rodrigues, J.J.P.C. Identifying pneumonia in chest X-rays: A deep learning approach. Measurement 2019, 145, 511–518. [Google Scholar] [CrossRef]
- Mahmud, T.; Rahman, M.A.; Fattah, S.A. CovXNet: A multi-dilation convolutional neural network for automatic COVID-19 and other pneumonia detection from chest X-ray images with transferable multi-receptive feature optimization. Comput. Biol. Med. 2020, 122, 103869. [Google Scholar] [CrossRef] [PubMed]
- Zhao, W.D.; Zhang, X.; Zhou, Y.; Liu, Y.; Zhou, X.; Chen, H.; Zhao, H. An enhanced fast non-dominated solution sorting genetic algorithm for multi-objective problems. Inf. Sci. 2022, 585, 441–453. [Google Scholar]
- Cui, H.; Guan, Y.; Chen, H. Rolling Element Fault Diagnosis Based on VMD and Sensitivity MCKD. IEEE Access 2021, 9, 120297–120308. [Google Scholar] [CrossRef]
- Wu, E.Q.; Zhou, M.; Hu, D.; Zhu, L.; Tang, Z.; Qiu, X.Y.; Deng, P.Y.; Zhu, L.M.; Ren, H. Self-Paced Dynamic Infinite Mixture Model for Fatigue Evaluation of Pilots’ Brains. IEEE Trans. Cybern. 2020, 50, 1–16. [Google Scholar] [CrossRef]
- Chowdhury, M.E.H.; Rahman, T.; Khandakar, A.; Mazhar, R.; Kadir, M.A.; Bin Mahbub, Z.; Islam, K.R.; Khan, M.S.; Iqbal, A.; Al Emadi, N.; et al. Can AI Help in Screening Viral and COVID-19 Pneumonia? IEEE Access 2020, 8, 132665–132676. [Google Scholar] [CrossRef]
- Stephen, O.; Sain, M.; Maduh, U.J.; Jeong, D.U. An Efficient Deep Learning Approach to Pneumonia Classification in Healthcare. J. Healthc. Eng. 2019, 2019, 4180949. [Google Scholar] [CrossRef] [PubMed] [Green Version]
- Chouhan, V.; Singh, S.K.; Khamparia, A.; Gupta, D.; Tiwari, P.; Moreira, C.; Damasevicius, R.; de Albuquerque, V.H.C. A Novel Transfer Learning Based Approach for Pneumonia Detection in Chest X-ray Images. Appl. Sci. 2020, 10, 559. [Google Scholar] [CrossRef] [Green Version]
- Salehinejad, H.; Valaee, S.; Dowdell, T.; Colak, E.; Barfett, J. Generalization of deep neural networks for chest pathology classification in X-rays using generative adversarial networks. In Proceedings of the IEEE International Conference on Acoustics, Speech and Signal Processing (ICASSP), Calgary, AB, Canada, 15–20 April 2018; pp. 990–994. [Google Scholar]
- Gazda, M.; Plavka, J.; Gazda, J.; Drotar, P. Self-Supervised Deep Convolutional Neural Network for Chest X-ray Classification. IEEE Access 2021, 9, 151972–151982. [Google Scholar] [CrossRef]
- Panthakkan, A.; Anzar, S.M.; Al Mansoori, S.; Al Ahmad, H. A novel DeepNet model for the efficient detection of COVID-19 for symptomatic patients. Biomed. Signal Process. Control 2021, 68, 102812. [Google Scholar] [CrossRef] [PubMed]
- Wang, S.H.; Satapathy, S.C.; Anderson, D.; Chen, S.X.; Zhang, Y.D. Deep Fractional Max Pooling Neural Network for COVID-19 Recognition. Front. Public Health 2021, 9, 726144. [Google Scholar] [CrossRef]
- Alhudhaif, A.; Polat, K.; Karaman, O. Determination of COVID-19 pneumonia based on generalized convolutional neural network model from chest X-ray images. Expert Syst. Appl. 2021, 180, 115141. [Google Scholar] [CrossRef] [PubMed]
- Tahir, A.M.; Qiblawey, Y.; Khandakar, A.; Rahman, T.; Khurshid, U.; Musharavati, F.; Islam, M.T.; Kiranyaz, S.; Al-Maadeed, S.; Chowdhury, M.E.H. Deep Learning for Reliable Classification of COVID-19, MERS, and SARS from Chest X-ray Images. Cogn. Comput. 2022, 1–21. [Google Scholar] [CrossRef] [PubMed]
- Loey, M.; El-Sappagh, S.; Mirjalili, S. Bayesian-based optimized deep learning model to detect COVID-19 patients using chest X-ray image data. Comput. Biol. Med. 2022, 142, 105213. [Google Scholar] [CrossRef] [PubMed]
- Sitaula, C.; Hossain, M.B. Attention-based VGG-16 model for COVID-19 chest X-ray image classification. Appl. Intell. 2021, 51, 2850–2863. [Google Scholar] [CrossRef] [PubMed]
- Sitaula, C.; Aryal, S. New bag of deep visual words based features to classify chest X-ray images for COVID-19 diagnosis. Health Inf. Sci. Syst. 2021, 9, 24. [Google Scholar] [CrossRef]
- Sitaula, C.; Shahi, T.B.; Aryal, S.; Marzbanrad, F. Fusion of multi-scale bag of deep visual words features of chest X-ray images to detect COVID-19 infection. Sci. Rep. 2021, 11, 23914. [Google Scholar] [CrossRef]
- Kermany, D.S.; Goldbaum, M.; Cai, W.; Valentim, C.C.S.; Liang, H.; Baxter, S.L.; McKeown, A.; Yang, G.; Wu, X.; Yan, F.; et al. Identifying Medical Diagnoses and Treatable Diseases by Image-Based Deep Learning. Cell 2018, 172, 1122–1131. [Google Scholar] [CrossRef]
- Ding, J.; Chen, B.; Liu, H.; Huang, M. Convolutional Neural Network With Data Augmentation for SAR Target Recognition. IEEE Geosci. Remote Sens. Lett. 2016, 13, 364–368. [Google Scholar] [CrossRef]
- Zhang, Y.D.; Dong, Z.; Chen, X.; Jia, W.; Du, S.; Muhammad, K.; Wang, S.H. Image based fruit category classification by 13-layer deep convolutional neural network and data augmentation. Multimed. Tools Appl. 2019, 78, 3613–3632. [Google Scholar] [CrossRef]
- LeCun, Y.; Bottou, L.; Bengio, Y.; Haffner, P. Gradient-based learning applied to document recognition. Proc. IEEE 1998, 86, 2278–2323. [Google Scholar] [CrossRef] [Green Version]
- Krizhevsky, A.; Sutskever, I.; Hinton, G.E. ImageNet classification with deep convolutional neural networks. In Advances in Neural Information Processing Systems; Association for Computing Machinery: New York, NY, USA, 2012; Volume 2, pp. 1097–1105. [Google Scholar]
- He, K.; Zhang, X.; Ren, S.; Sun, J. Deep residual learning for image recognition. In Proceedings of the IEEE Computer Society Conference on Computer Vision and Pattern Recognition, Las Vegas, NV, USA, 27–30 June 2016; pp. 770–778. [Google Scholar] [CrossRef] [Green Version]
- Howard, A.G.; Zhu, M.; Chen, B.; Kalenichenko, D.; Wang, W.; Weyand, T.; Andreetto, M.; Adam, H. MobileNets: Efficient Convolutional Neural Networks for Mobile Vision Applications. arXiv 2017, arXiv:1704.04861. [Google Scholar]
- Dosovitskiy, A.; Beyer, L.; Kolesnikov, A.; Weissenborn, D.; Zhai, X.; Unterthiner, T.; Dehghani, M.; Minderer, M.; Heigold, G.; Gelly, S.; et al. An Image is Worth 16x16 Words: Transformers for Image Recognition at Scale. arXiv 2020, arXiv:2010.11929. [Google Scholar]
- Albert, E.; Alonso, D.; Arenas, P.; Genaim, S.; Puebla, G. Asymptotic Resource Usage Bounds. In Proceedings of the 7th Asian Symposium on Programming Languages and Systems, Seoul, Korea, 14–16 December 2009; Springer: Berlin/Heidelberg, Germany, 2009; Volume 5904, pp. 294–310. [Google Scholar]
- Kuo, F.Y. Component-by-component constructions achieve the optimal rate of convergence for multivariate integration in weighted Korobov and Sobolev spaces. J. Complex. 2003, 19, 301–320. [Google Scholar] [CrossRef] [Green Version]
- Li, K.Q.; Pan, Y.; Zheng, S.Q. Efficient deterministic and probabilistic simulations of PRAMs on linear arrays with reconfigurable pipelined bus systems. J. Supercomput. 2000, 15, 163–181. [Google Scholar] [CrossRef]















| Author | Contributions | Limitations |
|---|---|---|
| Jaiswal et al. [8] | The research achieved pneumonia localization and recognition in chest X-ray images based on a deep learning approach. | There was no corresponding comparative assessment of pneumonia recognition accuracy and computational efficiency. |
| Karakanis et al. [16] | The research proposed two models for the employed dataset with deep learning following a lightweight architecture. | A comparison with the ResNet model was performed only for the classification of COVID-19 and with a small dataset. |
| Gazda et al. [17] | The research proposed a self- supervised deep neural network which could achieve better recognition without requiring a large quantity of labeled training data. | The results were compared on different datasets, but not with other deep learning model approaches |
| Panthakkan et al. [18] | The research proposed an efficient deep learning model for COVID-19 recognition, the COVID-DeepNet model. | The model was designed for small datasets only, and it is not possible to judge the model’s pneumonia recognition under large datasets. |
| Wang et al. [19] | The research proposed the “deep fractional max pooling neural network (DFMPNN)” model, which obtained a higher accuracy of pneumonia recognition. | The dataset was relatively small and more advanced pooling techniques could be tested. |
| Alhudhaif et al. [20] | The research developed a reliable convolutional neural network model for performing X-ray image classification of COVID-19. | The model comparison analysis was limited, only three types of model were compared. |
| Tahir et al. [21] | The research classified X-ray images of COVID-19, SARS, and MERS using deep convolutional neural networks. | Diverse datasets were collected, but the datasets were still small and no operations to expand the datasets, such as data augmentation, were used. |
| Loey et al. [22] | The research proposed a Bayesian optimization-based convolutional neural network model for pneumonia recognition in chest X-ray images. | Comparative analysis with other models in terms of computational efficiency was lacking. |
| Sitaula et al. [23,24,25] | The research proposed three deep learning methods for COVID-19 pneumonia detection with high stability and accuracy. | The dataset needed further processing to improve the model’s performance. |
| Model | LeNet5 | AlexNet | ResNet18 | MobileNet | Vision Transformer |
|---|---|---|---|---|---|
| Time complexity | O() | O() | O() | O() | O() |
| Environment Configurations | Details |
|---|---|
| OS | Windows 10 Professional |
| Deep learning framework | PyTorch |
| Dependent library | Torch, Torchvision, CUDA etc. |
| CPU | Intel Xeon Gold 5118 CPU |
| CPU RAM (GB) | 128 |
| CPU frequency (GHz) | 2.30 |
| GPU | Quadro P6000 |
| GPU memory (GB) | 24 |
| Pneumonia | 1575 X-ray images | Training set (80% randomly selected) | 1260 X-ray images |
| Testing set (20% randomly selected) | 315 X-ray images | ||
| Normal | 1575 X-ray images | Training set (80% randomly selected) | 1260 X-ray images |
| Testing set (20% randomly selected) | 315 X-ray images |
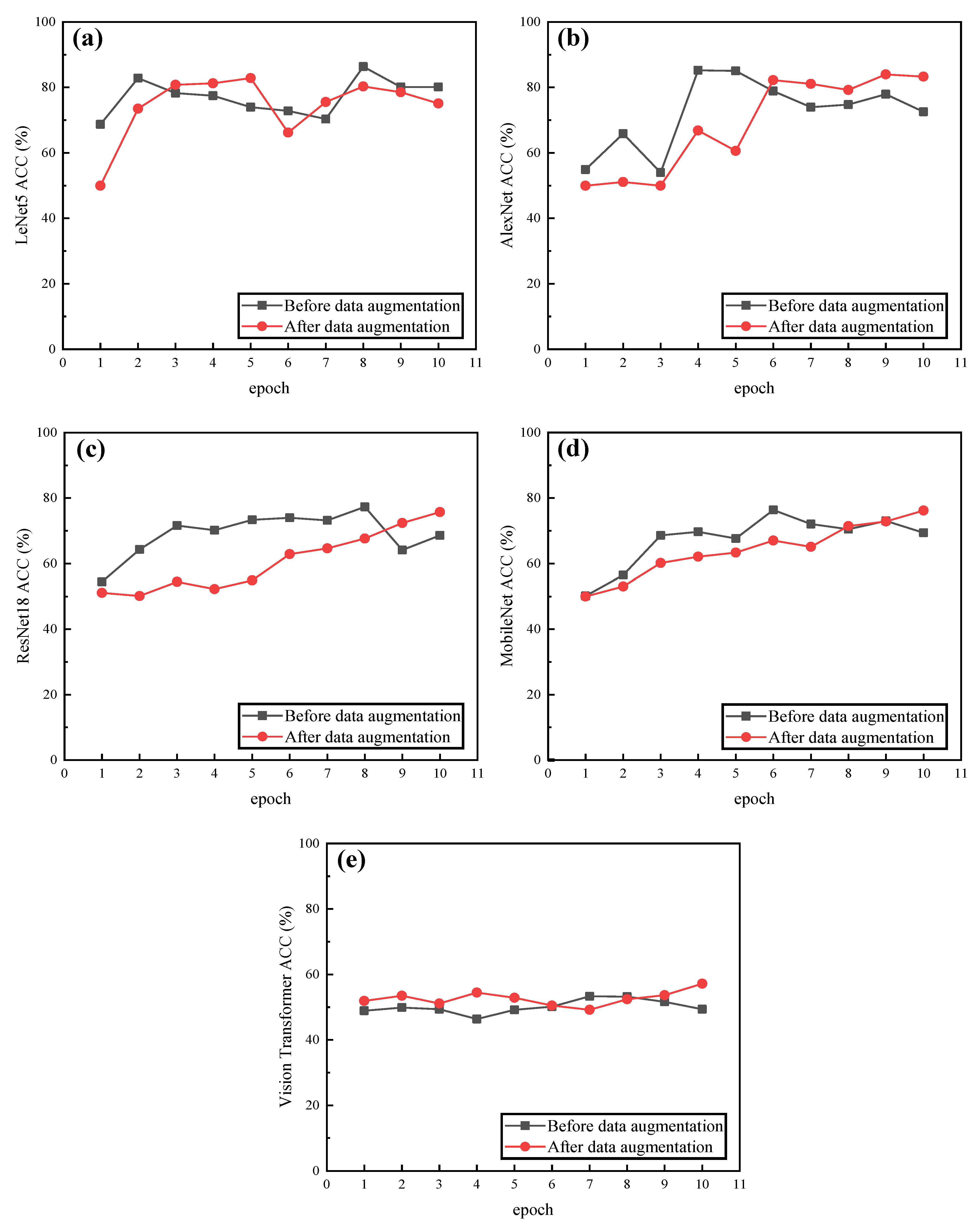
| Epoch | LeNet5 (%) | AlexNet (%) | ResNet18 (%) | MobileNet (%) | Vision Transformer (%) |
|---|---|---|---|---|---|
| 1 | 68.730 | 54.921 | 54.444 | 50.159 | 48.889 |
| 2 | 82.857 | 65.873 | 64.286 | 56.508 | 49.841 |
| 3 | 78.254 | 53.968 | 71.587 | 68.571 | 49.365 |
| 4 | 77.460 | 85.238 | 70.159 | 69.683 | 46.349 |
| 5 | 73.968 | 85.079 | 73.333 | 67.619 | 49.206 |
| 6 | 72.857 | 78.889 | 73.968 | 76.349 | 50.159 |
| 7 | 70.317 | 73.968 | 73.175 | 72.063 | 53.333 |
| 8 | 86.349 | 74.762 | 77.302 | 70.476 | 53.175 |
| 9 | 80.159 | 77.937 | 64.127 | 73.016 | 51.587 |
| 10 | 80.159 | 72.540 | 68.571 | 69.365 | 49.365 |
| Epoch | LeNet5 (%) | AlexNet (%) | ResNet18 (%) | MobileNet (%) | Vision Transformer (%) |
|---|---|---|---|---|---|
| 1 | 50.000 | 50.000 | 57.143 | 54.444 | 53.492 |
| 2 | 69.206 | 68.254 | 61.429 | 56.349 | 50.794 |
| 3 | 70.794 | 69.841 | 72.698 | 70.635 | 54.444 |
| 4 | 77.778 | 75.556 | 76.190 | 68.095 | 49.683 |
| 5 | 70.476 | 76.349 | 76.508 | 66.984 | 53.016 |
| 6 | 77.460 | 69.206 | 76.508 | 69.841 | 51.905 |
| 7 | 75.079 | 73.651 | 76.984 | 73.651 | 49.524 |
| 8 | 81.111 | 75.397 | 82.540 | 68.095 | 55.079 |
| 9 | 75.873 | 83.968 | 70.000 | 72.381 | 53.810 |
| 10 | 74.603 | 78.889 | 71.587 | 70.794 | 57.460 |
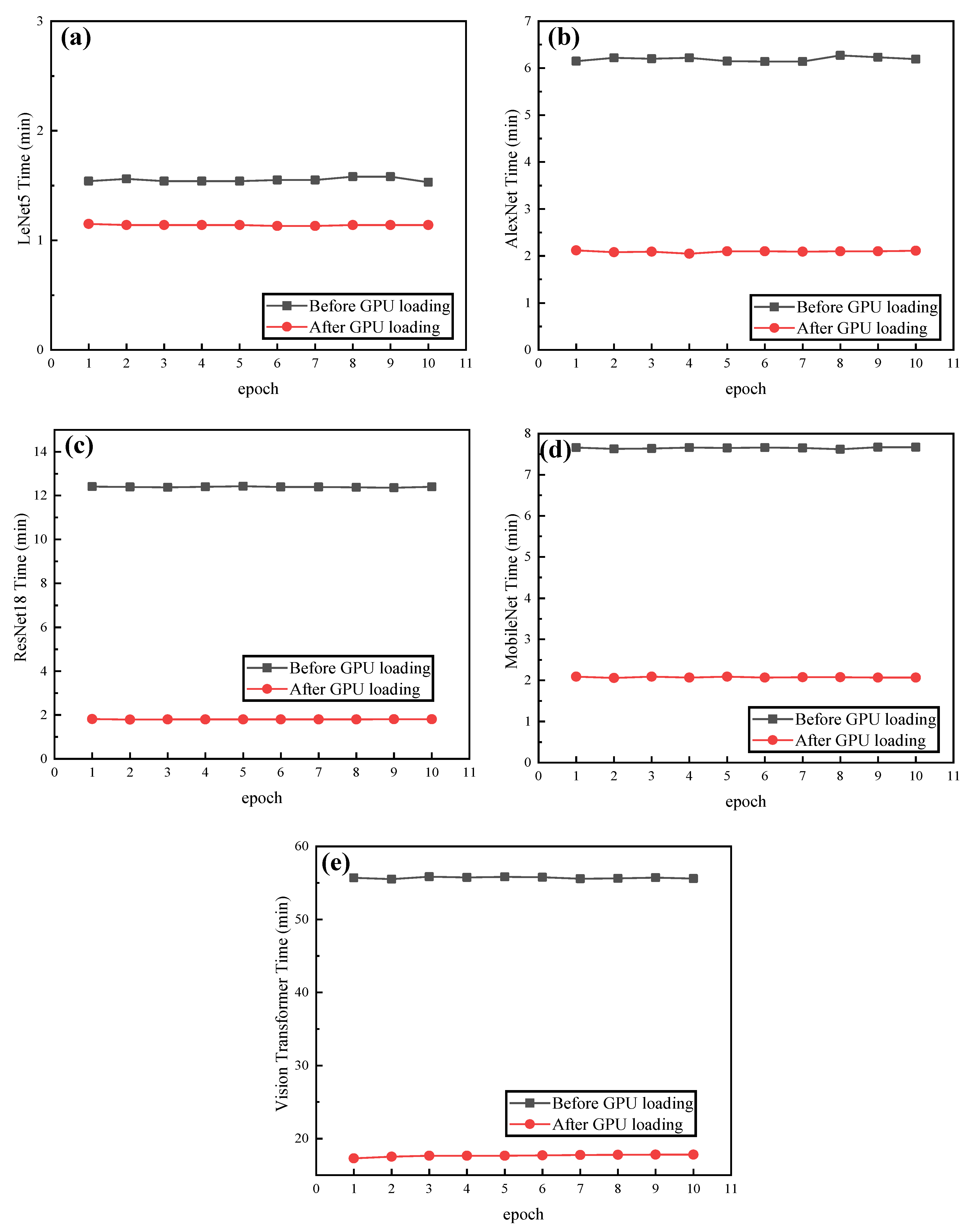
| Epoch | LeNet5 (min) | AlexNet (min) | ResNet18 (min) | MobileNet (min) | Vision Transformer (min) |
|---|---|---|---|---|---|
| 1 | 1.51 | 6.24 | 12.50 | 7.12 | 55.04 |
| 2 | 1.55 | 6.27 | 12.52 | 7.14 | 55.07 |
| 3 | 1.53 | 6.20 | 12.52 | 7.16 | 55.45 |
| 4 | 1.52 | 6.20 | 12.49 | 7.16 | 55.31 |
| 5 | 1.53 | 6.22 | 12.48 | 7.20 | 55.53 |
| 6 | 1.53 | 6.17 | 12.53 | 7.18 | 55.57 |
| 7 | 1.53 | 6.25 | 12.50 | 7.18 | 55.61 |
| 8 | 1.51 | 6.21 | 12.51 | 7.18 | 55.64 |
| 9 | 1.54 | 6.21 | 12.51 | 7.16 | 55.40 |
| 10 | 1.52 | 6.22 | 12.52 | 7.30 | 55.55 |
| Epoch | LeNet5 (min) | AlexNet (min) | ResNet18 (min) | MobileNet (min) | Vision Transformer (min) |
|---|---|---|---|---|---|
| 1 | 1.18 | 2.03 | 1.73 | 1.55 | 17.32 |
| 2 | 1.17 | 2.00 | 1.71 | 1.54 | 17.68 |
| 3 | 1.16 | 2.00 | 1.70 | 1.52 | 17.75 |
| 4 | 1.17 | 2.00 | 1.71 | 1.53 | 17.80 |
| 5 | 1.17 | 2.01 | 1.71 | 1.52 | 17.80 |
| 6 | 1.17 | 2.00 | 1.70 | 1.53 | 17.81 |
| 7 | 1.17 | 2.02 | 1.71 | 1.53 | 17.81 |
| 8 | 1.17 | 2.01 | 1.71 | 1.53 | 17.82 |
| 9 | 1.17 | 2.01 | 1.71 | 1.53 | 17.82 |
| 10 | 1.17 | 2.02 | 1.71 | 1.53 | 17.99 |
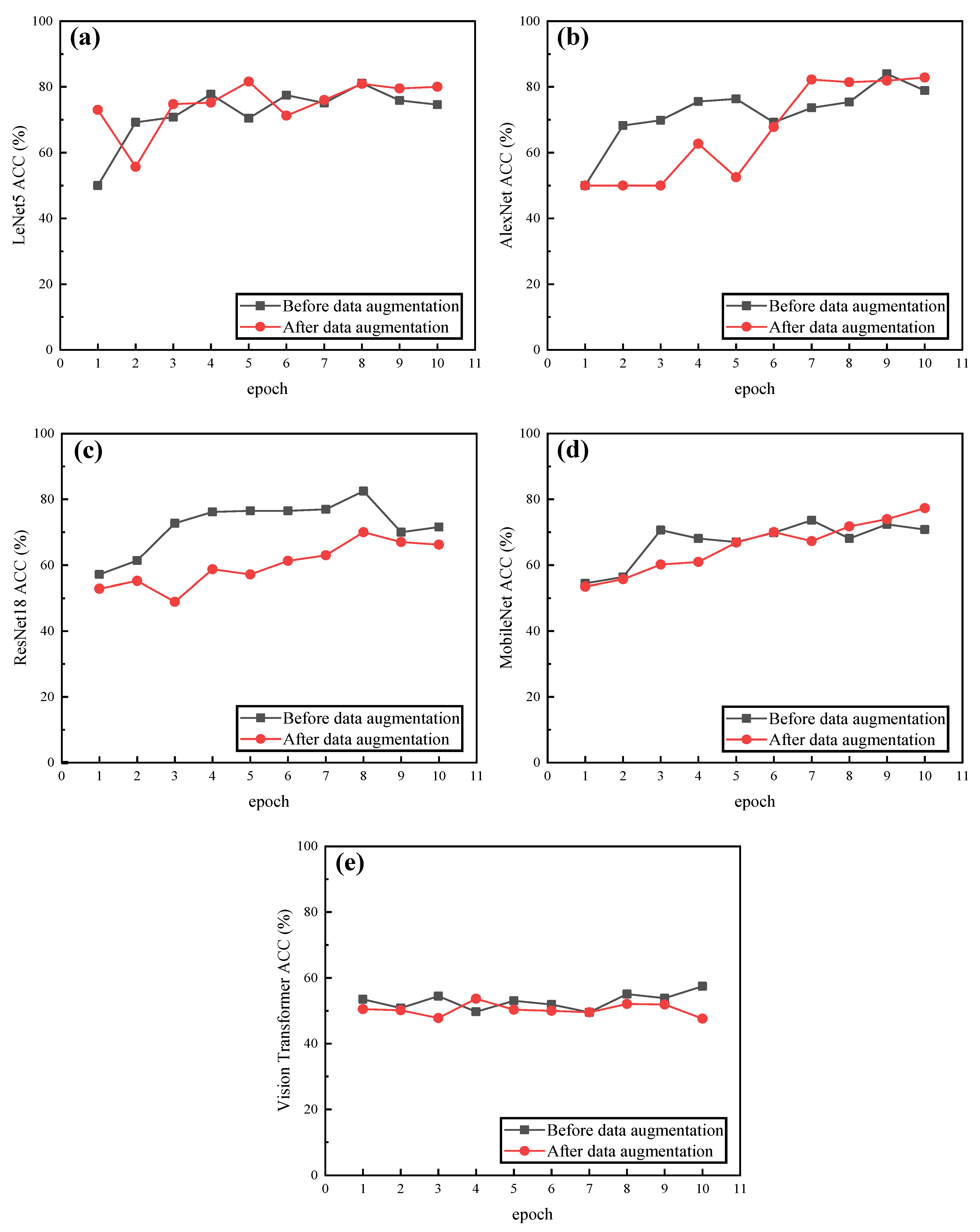
| Epoch | LeNet5 (%) | AlexNet (%) | ResNet18 (%) | MobileNet (%) | Vision Transformer (%) |
|---|---|---|---|---|---|
| 1 | 50.000 | 50.000 | 51.111 | 50.000 | 51.905 |
| 2 | 73.492 | 51.111 | 50.159 | 53.016 | 53.492 |
| 3 | 80.794 | 50.000 | 54.444 | 60.159 | 51.111 |
| 4 | 81.270 | 66.825 | 52.222 | 62.063 | 54.444 |
| 5 | 82.857 | 60.635 | 54.921 | 63.333 | 52.857 |
| 6 | 66.190 | 82.222 | 62.857 | 66.984 | 50.476 |
| 7 | 75.556 | 81.111 | 64.603 | 65.079 | 49.206 |
| 8 | 80.317 | 79.206 | 67.619 | 71.429 | 52.381 |
| 9 | 78.571 | 83.968 | 72.381 | 72.857 | 53.651 |
| 10 | 75.079 | 83.333 | 75.714 | 76.190 | 57.143 |
| Epoch | LeNet5 (%) | AlexNet (%) | ResNet18 (%) | MobileNet (%) | Vision Transformer (%) |
|---|---|---|---|---|---|
| 1 | 73.016 | 50.000 | 52.857 | 53.492 | 50.476 |
| 2 | 55.714 | 50.000 | 55.238 | 55.714 | 50.159 |
| 3 | 74.762 | 50.000 | 48.889 | 60.159 | 47.778 |
| 4 | 75.238 | 62.698 | 58.730 | 60.952 | 53.651 |
| 5 | 81.587 | 52.540 | 57.143 | 66.825 | 50.317 |
| 6 | 71.270 | 67.778 | 61.270 | 70.000 | 50.000 |
| 7 | 76.032 | 82.222 | 63.016 | 67.302 | 49.524 |
| 8 | 80.952 | 81.429 | 70.000 | 71.746 | 52.063 |
| 9 | 79.524 | 81.905 | 66.984 | 73.968 | 51.905 |
| 10 | 80.000 | 82.857 | 66.190 | 77.302 | 47.619 |
| Epoch | LeNet5 (min) | AlexNet (min) | ResNet18 (min) | MobileNet (min) | Vision Transformer (min) |
|---|---|---|---|---|---|
| 1 | 1.54 | 6.15 | 12.41 | 7.66 | 55.69 |
| 2 | 1.56 | 6.22 | 12.39 | 7.63 | 55.52 |
| 3 | 1.54 | 6.20 | 12.38 | 7.64 | 55.84 |
| 4 | 1.54 | 6.22 | 12.40 | 7.66 | 55.74 |
| 5 | 1.54 | 6.15 | 12.43 | 7.65 | 55.82 |
| 6 | 1.55 | 6.14 | 12.39 | 7.66 | 55.76 |
| 7 | 1.55 | 6.14 | 12.39 | 7.65 | 55.58 |
| 8 | 1.58 | 6.27 | 12.38 | 7.62 | 55.61 |
| 9 | 1.58 | 6.23 | 12.36 | 7.67 | 55.73 |
| 10 | 1.53 | 6.19 | 12.40 | 7.67 | 55.59 |
| Epoch | LeNet5 (min) | AlexNet (min) | ResNet18 (min) | MobileNet (min) | Vision Transformer (min) |
|---|---|---|---|---|---|
| 1 | 1.15 | 2.12 | 1.82 | 2.09 | 17.29 |
| 2 | 1.14 | 2.08 | 1.79 | 2.06 | 17.53 |
| 3 | 1.14 | 2.09 | 1.80 | 2.09 | 17.64 |
| 4 | 1.14 | 2.05 | 1.80 | 2.07 | 17.66 |
| 5 | 1.14 | 2.10 | 1.80 | 2.09 | 17.66 |
| 6 | 1.13 | 2.10 | 1.80 | 2.07 | 17.70 |
| 7 | 1.13 | 2.09 | 1.80 | 2.08 | 17.76 |
| 8 | 1.14 | 2.10 | 1.80 | 2.08 | 17.78 |
| 9 | 1.14 | 2.10 | 1.81 | 2.07 | 17.80 |
| 10 | 1.14 | 2.11 | 1.81 | 2.07 | 17.81 |
Publisher’s Note: MDPI stays neutral with regard to jurisdictional claims in published maps and institutional affiliations. |
© 2022 by the authors. Licensee MDPI, Basel, Switzerland. This article is an open access article distributed under the terms and conditions of the Creative Commons Attribution (CC BY) license (https://creativecommons.org/licenses/by/4.0/).
Share and Cite
Yang, Y.; Mei, G. Pneumonia Recognition by Deep Learning: A Comparative Investigation. Appl. Sci. 2022, 12, 4334. https://doi.org/10.3390/app12094334
Yang Y, Mei G. Pneumonia Recognition by Deep Learning: A Comparative Investigation. Applied Sciences. 2022; 12(9):4334. https://doi.org/10.3390/app12094334
Chicago/Turabian StyleYang, Yuting, and Gang Mei. 2022. "Pneumonia Recognition by Deep Learning: A Comparative Investigation" Applied Sciences 12, no. 9: 4334. https://doi.org/10.3390/app12094334
APA StyleYang, Y., & Mei, G. (2022). Pneumonia Recognition by Deep Learning: A Comparative Investigation. Applied Sciences, 12(9), 4334. https://doi.org/10.3390/app12094334

