The Impacts of Medical Resources on Emerging Self-Limiting Infectious Diseases
Abstract
1. Introduction
2. Model
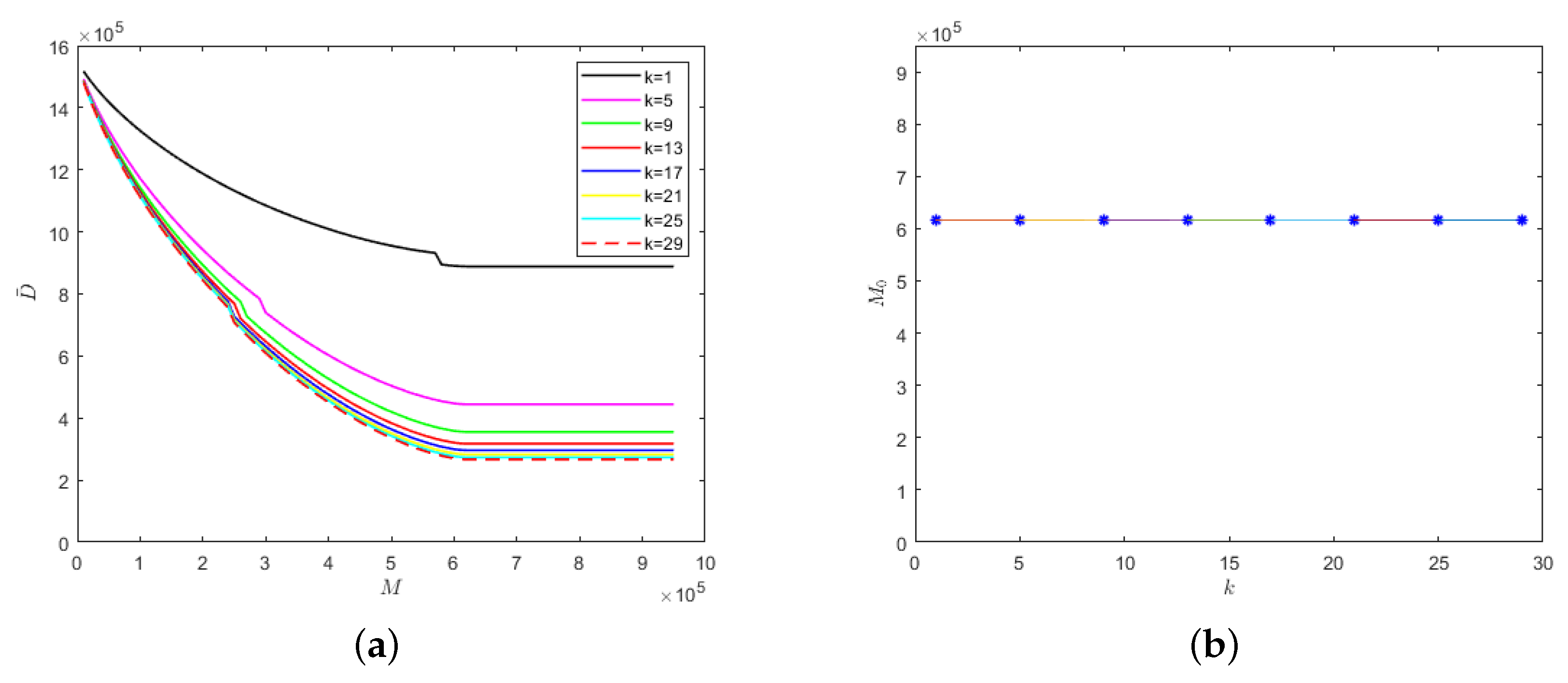
3. Results
4. Conclusions
Author Contributions
Funding
Institutional Review Board Statement
Informed Consent Statement
Data Availability Statement
Conflicts of Interest
References
- Clementz, G.C.; Mancini, A.J. Nail Matrix Arrest Following Hand-Foot-Mouth Disease: A Report of Five Children. Pediatr. Dermatol. 2000, 17, 7–11. [Google Scholar] [CrossRef] [PubMed]
- Ke, Y.; Liu, W.; He, Z.; Liu, M.; Tan, S.Y.; Tan, Y.W.; Chan, X.Y.; Fan, Y.; Huang, E.K.; Chen, H.; et al. Enterovirus A71 Infection Activates Human Immune Responses and Induces Pathological Changes in Humanized Mice. J. Virol. 2019, 93, e01066. [Google Scholar] [CrossRef] [PubMed]
- Zhang, C.; Chen, S.; Zhou, G.; Jin, Y.; Zhang, R.; Yang, H.; Xi, Y.; Ren, J.; Duan, G. Involvement of the renin-angiotensin system in the progression of severe hand-foot-and-mouth disease. PLoS ONE 2018, 13, e0197861. [Google Scholar]
- Sakkas, H.; Bozidis, P.; Franks, A.; Papadopoulou, C. Oropouche Fever: A Review. Viruses 2018, 10, 175. [Google Scholar] [CrossRef]
- Al-Turab, M.; Chehadeh, W. Varicella infection in the Middle East: Prevalence, complications, and vaccination. J. Res. Med. Sci. 2018, 23, 19. [Google Scholar] [CrossRef]
- Cohen, J.I.; Brunell, P.A.; Straus, S.E.; Krause, P.R. Recent Advances in Varicella-Zoster Virus Infection. Ann. Intern. Med. 1999, 130, 922–932. [Google Scholar] [CrossRef]
- Caian, L.V.; María, B.A.; Breno, L.; Oliveira, J.V.; Santos, C.S.; Calcagno, J.I.; Carvalho, T.X.; Giovanetti, M.; Alcantara, L.C.J.; de Siqueira, I.C.; et al. Newborns with Zika Virus-Associated Microcephaly Exhibit Marked Systemic Inflammatory Imbalance. J. Infect. Dis. 2020, 222, 670–680. [Google Scholar]
- Maslow, J. Zika Vaccine Development-Current Progress and Challenges for the Future. Trop. Med. Infect. Dis. 2019, 4, 104. [Google Scholar] [CrossRef]
- Liu, Z.; Shi, W.; Qin, C. The evolution of Zika virus from Asia to the Americas. Nat. Rev. Microbiol. 2019, 17, 131–139. [Google Scholar] [CrossRef]
- Rushton, S.; Sanderson, R.; Reid, W.D.K.; Shirley, M.D.F.; Harris, J.P.; Hunter, P.R.; O’Brien, S.J. Transmission routes of rare seasonal diseases: The case of norovirus infections. Philos. Trans. R. Soc. B Biol. Sci. 2019, 374, 20180267. [Google Scholar] [CrossRef]
- Cunha, M.; Costa, P.; Correa, I.; de Souza, M.R.M.; Calil, P.T.; da Silva, G.P.D.; Costa, S.M.; Fonseca, V.W.P.; da Costa, L.J. Chikungunya Virus: An Emergent Arbovirus to the South American Continent and a Continuous Threat to the World. Front. Microbiol. 2020, 11, 1297. [Google Scholar] [CrossRef] [PubMed]
- Blumental, S.; Huisman, E.; Cornet, M.C.; Ferreiro, C.; Schutter, I.D.; Reynders, M.; Wybo, I.; Kabamba-Mukadi, B.; Armano, R.; Hermans, D.; et al. Pandemic A/H1N1v influenza 2009 in hospitalized children: A multicenter Belgian survey. BMC Infect. Dis. 2011, 11, 313. [Google Scholar] [CrossRef] [PubMed]
- Stukel, T.A.; Schull, M.J.; Guttmann, A.; Alter, D.A.; Li, P.; Vermeulen, M.J.; Manuel, D.G.; Zwarenstein, M. Health impact of hospital restrictions on seriously ill hospitalized patients: Lessons from the Toronto SARS outbreak. Med. Care 2008, 46, 991–997. [Google Scholar] [CrossRef] [PubMed]
- Voinsky, I.; Baristaite, G.; Gurwitz, D. Effects of age and sex on recovery from COVID-19: Analysis of 5769 Israeli patients. J. Infect. 2020, 18, 102–103. [Google Scholar] [CrossRef]
- Riggioni, C.; Comberiati, P.; Giovannini, M. A compendium answering 150 questions on COVID-19 and SARS-CoV-2. Allergy 2020, 75, 2503–2541. [Google Scholar] [CrossRef]
- Rubulotta, F.; Soliman-Aboumarie, H.; Filbey, K.; Geldner, G.; Kuck, K.; Ganau, M.; Hemmerling, T.M. Technologies to Optimize the Care of Severe COVID-19 Patients for Health Care Providers Challenged by Limited Resources. Anesth. Analg. 2020, 131, 351–364. [Google Scholar] [CrossRef]
- Rubinson, L.; Mutter, R.; Viboud, C.; Hupert, N.; Uyeki, T.; Creanga, A.; Finelli, L.; Iwashyna, T.J.; Carr, B.; Merchant, R.; et al. Impact of the fall 2009 influenza A(H1N1)pdm09 pandemic on US hospitals. Med. Care 2013, 51, 259–265. [Google Scholar] [CrossRef]
- Quinn, S.C.; Kumar, S.; Freimuth, V.S.; Musa, D.; Casteneda-Angarita, N.; Kidwell, K. Racial Disparities in Exposure, Susceptibility, and Access to Health Care in the US H1N1 Influenza Pandemic. Am. J. Public Health 2011, 101, 285–293. [Google Scholar] [CrossRef]
- Adeniji, K.A.; Cusack, R. The Simple Triage Scoring System (STSS) successfully predicts mortality and critical care resource utilization in H1N1 pandemic flu: A retrospective analysis. Crit. Care 2011, 15, R39. [Google Scholar] [CrossRef]
- Nuno, M.; Reichert, T.A.; Chowell, G. Protecting residential care facilities from pandemic influenza. Proc. Natl. Acad. Sci. USA 2008, 105, 10625–10630. [Google Scholar] [CrossRef]
- Mody, L.; Langa, K.M.; Malani, P.N. Impact of the 2004-2005 Influenza Vaccine Shortage on Immunization Practices in Long-Term Care Facilities. Infect. Control Hosp. Epidemiol. 2006, 27, 383–387. [Google Scholar] [CrossRef] [PubMed][Green Version]
- Fleming, D.M.; Elliot, A.J. The impact of influenza on the health and health care utilisation of elderly people. Vaccine 2005, 23, S1–S9. [Google Scholar] [CrossRef] [PubMed]
- Li, R.; Pei, S.; Chen, B.; Song, Y.; Zhang, T.; Yang, W.; Shaman, J. Substantial undocumented infection facilitates the rapid dissemination of novel coronavirus (SARS-CoV2). Science 2020, 368, 489–493. [Google Scholar] [CrossRef] [PubMed]
- Ferguson, N.M.; Laydon, D.; Nedjati-Gilani, G.; Imai, N.; Ainslie, K.; Baguelin, M.; Bhatia, S.; Boonyasiri, A.; Cucunubá, Z.; Cuomo-Dannenburg, G.; et al. Impact of Non-Pharmaceutical Interventions (NPIs) to Reduce COVID-19 Mortality and Healthcare Demand; Imperial College London COVID-19 Response Team: London, UK, 2020; pp. 1–20. [Google Scholar]
- Binti Hamza, F.; Lau, C.; Nazri, H.; Ligot, D.V.; Lee, G.; Tan, C.L.; Shaib, M.K.B.M.; Zaidon, U.H.; Abdullah, A.B.; Chun, M.H.; et al. CoronaTracker: World-wide COVID-19 Outbreak Data Analysis and Prediction. Bull. World Health Organ. 2020, 1, 1–33. [Google Scholar] [CrossRef]
- Tsai, T.C.; Jacobson, B.; Jha, A.K. American hospital capacity and projected need for COVID-19 patient care. Health Affairs, 17 March 2020. [Google Scholar]
- Kucharski, A.J.; Russell, T.W.; Diamond, C.; Liu, Y.; CMMID nCoV Working Group; Edmunds, J.; Funk, S.; Eggo, R.M. Early dynamics of transmission and control of COVID-19: A mathematical modelling study. Lancet Infect. Dis. 2020, 20, 553–558. [Google Scholar] [CrossRef]
- Wu, J.T.; Leung, K.; Leung, G.M. Nowcasting and forecasting the potential domestic and international spread of the 2019-nCoV outbreak originating in Wuhan, China: A modelling study. Lancet 2020, 395, 689–697. [Google Scholar] [CrossRef]
- Alanazi, S.A.; Kamruzzaman, M.M.; Alruwaili, M.; Alshammari, N.; Alqahtani, S.A.; Karime, A. Measuring and Preventing COVID-19 Using the SIR Model and Machine Learning in Smart Health Care. J. Healthc. Eng. 2020, 4, 1–12. [Google Scholar] [CrossRef]
- Salgotra, R.; Gandomi, M.; Gandomi, A.H. Time Series Analysis and Forecast of the COVID-19 Pandemic in India using Genetic Programming. Chaos Solitons Fractals 2020, 138, 109945. [Google Scholar] [CrossRef]
- Chin, V.; Samia, N.; Marchant, R.; Rosen, O.; Ioannidis, J.P.A.; Tanner, M.A.; Cripps, S. A case study in model failure? COVID-19 daily deaths and ICU bed utilisation predictions in New York state. Eur. J. Epidemiol. 2020, 35, 733–742. [Google Scholar] [CrossRef]
- WHO Coronavirus Disease (COVID-19) Dashboard. Available online: https://covid19.who.int/ (accessed on 14 April 2022).
- Bardi, T.; Gomez-Rojo, M.; Candela-Toha, A.M.; de Pablo, R.; Martinez, R.; Pestañaa, D. Rapid response to COVID-19, escalation and de-escalation strategies to match surge capacity of Intensive Care beds to a large scale epidemic. Rev. Esp. Anestesiol. Reanim. 2021, 68, 21–27. [Google Scholar] [CrossRef]
- Wood, R. Modelling the impact of COVID-19 on elective waiting times. J. Simul. 2022, 16, 101–109. [Google Scholar] [CrossRef]
- Pan, Q.H.; Gao, T.; He, M.F. Influence of isolation measures for patients with mild symptoms on the spread of COVID-19. Chaos Solitons Fractals 2020, 139, 110022. [Google Scholar] [CrossRef] [PubMed]
- Chien, L.C.; Bey, C.K.; Koenig, K.L. A Positive-Pressure Environment Disposable Shield (PEDS) for COVID-19 Health Care Worker Protection. Prehosp. Disaster Med. 2020, 35, 434–437. [Google Scholar] [CrossRef] [PubMed]
- Gibson, C.; Ventura, C.; Collier, G.D. Emergency Medical Services resource capacity and competency amid COVID-19 in the United States: Preliminary findings from a national survey. Heliyon 2020, 6, e05409. [Google Scholar] [CrossRef]
- Zhang, Z.Q.; Yao, W.; Wang, Y.; Long, C.; Fu, X. Wuhan and Hubei COVID-19 mortality analysis reveals the critical role of timely supply of medical resources. J. Infect. 2020, 81, 170–172. [Google Scholar] [CrossRef]
- Wirawan, I.; Januraga, P. Forecasting COVID-19 Transmission and Healthcare Capacity in Bali, Indonesia. J. Prev. Med. Public Health 2020, 53, 158–163. [Google Scholar] [CrossRef]
- Bartsch, S.M.; Ferguson, M.C.; McKinnell, J.A.; O’Shea, K.J.; Wedlock, P.T.; Siegmund, S.S.; Lee, B.Y. The Potential Health Care Costs and Resource Use Associated with COVID-19 In The United States. Health Aff. 2020, 39, 927–935. [Google Scholar] [CrossRef]







| Parameter | Name | Interpretation | Value | Reference | 
|---|---|---|---|---|
| Contact rate | Probability of a susceptible individual coming into contact with an exposed or infected individual | 0.33 | [35] | |
| Incidence rate | Incidence rate of exposed individuals | 0.25 | [35] | |
| Infection rate | Infection rate of exposed individuals | 0.5 | [35] | |
| q | Proportion | Proportion of exposed individuals who became mildly infected individuals | 0.8 | Assumed | 
| Isolation rate | Isolation rate of mildly infected individuals | [0.1, 0.8] | Assumed | |
| Isolation rate | Isolation rate of severely infected individuals | [0.1, 0.8] | Assumed | |
| Self-healing rate | Self-healing rate of mildly infected individuals | 0.067 | Assumed | |
| Self-healing rate | Self-healing rate of severely infected individuals | 0 | Assumed | |
| Cure rate | Cure rate of mildly isolated individuals | 0.067 | Assumed | |
| Cure rate | Cure rate of severely isolated individuals | [0, 1] | Assumed | |
| Mortality | Mortality rate of mildly infected individuals | 0 | Assumed | |
| Mortality | Mortality rate of severely infected individuals | 0.033 | Assumed | |
| Mortality | Mortality rate of mildly infected individual who were isolated | 0 | Assumed | |
| Mortality | Mortality rate of severely infected individual who were isolated | [0, 1] | Assumed | |
| Duration | Duration of self-healing and death in mildly infected individuals | 15 | Assumed | |
| Duration | Duration of self-healing and death in severely infected individuals | 30 | Assumed | |
| Duration | Duration of cure and death in mildly infected individuals who were isolated | 15 | Assumed | |
| Duration | Duration of cure and death in severely infected individuals who were isolated | 30 | Assumed | |
| M | Medical resource | Number of beds needed for severely infected individuals | [0, ] | Assumed | 
| Publisher’s Note: MDPI stays neutral with regard to jurisdictional claims in published maps and institutional affiliations. | 
© 2022 by the authors. Licensee MDPI, Basel, Switzerland. This article is an open access article distributed under the terms and conditions of the Creative Commons Attribution (CC BY) license (https://creativecommons.org/licenses/by/4.0/).
Share and Cite
Zhou, D.; Gao, L.; Pan, Q.; He, M. The Impacts of Medical Resources on Emerging Self-Limiting Infectious Diseases. Appl. Sci. 2022, 12, 4255. https://doi.org/10.3390/app12094255
Zhou D, Gao L, Pan Q, He M. The Impacts of Medical Resources on Emerging Self-Limiting Infectious Diseases. Applied Sciences. 2022; 12(9):4255. https://doi.org/10.3390/app12094255
Chicago/Turabian StyleZhou, Dayong, Liyan Gao, Qiuhui Pan, and Mingfeng He. 2022. "The Impacts of Medical Resources on Emerging Self-Limiting Infectious Diseases" Applied Sciences 12, no. 9: 4255. https://doi.org/10.3390/app12094255
APA StyleZhou, D., Gao, L., Pan, Q., & He, M. (2022). The Impacts of Medical Resources on Emerging Self-Limiting Infectious Diseases. Applied Sciences, 12(9), 4255. https://doi.org/10.3390/app12094255
 
         
                                                
 
       