Metal Release Mechanism and Electrochemical Properties of Lix(Ni1/3Mn1/3Co1/3)O2
Abstract
:1. Introduction
2. Computational Methods
3. Results and Discussion
3.1. Metal Release
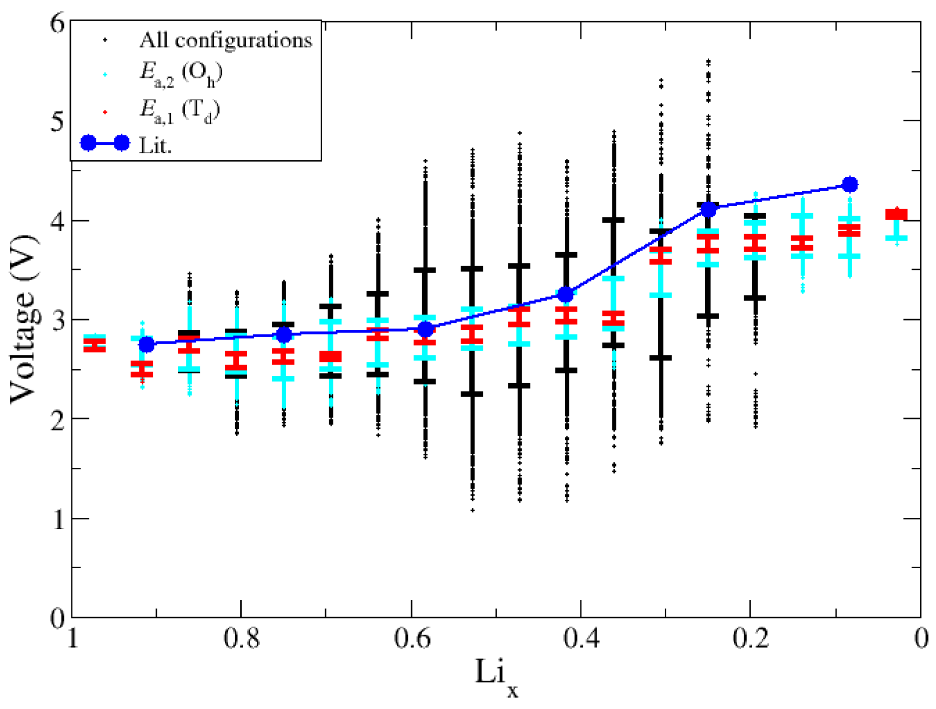
3.2. Voltage Modeling
4. Conclusions
Supplementary Materials
Author Contributions
Funding
Institutional Review Board Statement
Informed Consent Statement
Data Availability Statement
Acknowledgments
Conflicts of Interest
References
- Goodenough, J.; Park, K. The Li-ion rechargeable battery: A perspective. J. Am. Chem. Soc. 2013, 135, 1167–1176. [Google Scholar] [CrossRef] [PubMed]
- Schuler, B.; Qiu, D.Y.; Refaely-Abramson, S.; Kastl, C.; Chen, C.T.; Barja, S.; Koch, R.J.; Ogletree, D.F.; Aloni, S.; Schwartzberg, A.M.; et al. Large Spin-Orbit Splitting of Deep In-Gap Defect States of Engineered Sulfur Vacancies in Monolayer WS 2. Phys. Rev. Lett. 2019, 123, 076801. [Google Scholar] [CrossRef] [PubMed] [Green Version]
- Wilkerson, J. Recycled Lithium-Ion Batteries Can Perform Better Than New Ones. Scientific American, 1 February 2022. [Google Scholar]
- Ohzuku, T.; Makimura, Y. Layered Lithium Insertion Material of LiNi1/2Mn1/2O2: A Possible Alternative to LiCoO2 for Advanced Lithium-Ion Batteries. Chem. Lett. 2001, 30, 744–745. [Google Scholar] [CrossRef]
- Hang, M.N.; Gunsolus, I.L.; Wayland, H.; Melby, E.S.; Mensch, A.C.; Hurley, K.R.; Pedersen, J.A.; Haynes, C.L.; Hamers, R.J. Impact of Nanoscale Lithium Nickel Manganese Cobalt Oxide (NMC) on the Bacterium Shewanella oneidensis MR-1. Chem. Mater. 2016, 28, 1092–1100. [Google Scholar] [CrossRef]
- Hwang, B.J.; Tsai, Y.W.; Carlier, D.; Ceder, G. A Combined Computational/Experimental Study on LiNi1/3Co1/3Mn1/3O2. Chem. Mater. 2003, 15, 3676–3682. [Google Scholar] [CrossRef]
- Niemuth, N.J.; Curtis, B.J.; Hang, M.N.; Gallagher, M.J.; Fairbrother, D.H.; Hamers, R.J.; Klaper, R.D. Next-Generation Complex Metal Oxide Nanomaterials Negatively Impact Growth and Development in the Benthic Invertebrate Chironomus riparius upon Settling. Environ. Sci. Technol. 2019, 53, 3860–3870. [Google Scholar] [CrossRef]
- Chakraborty, A.; Kunnikuruvan, S.; Kumar, S.; Markovsky, B.; Aurbach, D.; Dixit, M.; Major, D.T. Layered Cathode Materials for Lithium-Ion Batteries: Review of Computational Studies on LiNi1–x–yCoxMnyO2 and LiNi1–x–yCoxAlyO2. Chem. Mater. 2020, 32, 915–952. [Google Scholar] [CrossRef]
- Huang, X.; Bennett, J.W.; Hang, M.N.; Laudadio, E.D.; Hamers, R.J.; Mason, S.E. Ab Initio Atomistic Thermodynamics Study of the Surface of LiCoO2 in a Water Environment and Implications for Reactivity under Ambient Conditions. J. Phys. Chem. C 2017, 121, 5069–5080. [Google Scholar] [CrossRef]
- Buchman, J.T.; Bennett, E.A.; Wang, C.; Abbaspour Tamijani, A.; Bennett, J.W.; Hudson, B.G.; Green, C.M.; Clement, P.L.; Zhi, B.; Henke, A.H.; et al. Nickel enrichment of next-generation NMC nanomaterials alters material stability, causing unexpected dissolution behavior and observed toxicity to S. oneidensis MR-1 and D. magna. Environ. Sci. Nano 2020, 7, 571–587. [Google Scholar] [CrossRef]
- Bennett, J.W.; Jones, D.T.; Hamers, R.J.; Mason, S.E. First-Principles and Thermodynamics Study of Compositionally Tuned Complex Metal Oxides: Cation Release from the Surface of Mn-Rich Lithium Nickel Manganese Cobalt Oxide. Inorg. Chem. 2018, 57, 13300–13311. [Google Scholar] [CrossRef]
- Bennett, J.W.; Jones, D.; Huang, X.; Hamers, R.J.; Mason, S.E. Dissolution of Complex Metal Oxides from First-Principles and Thermodynamics: Cation Removal from the Surface of Li(Ni1/3Mn1/3Co1/3)O2. Environ. Sci. Technol. 2018, 52, 5792–5802. [Google Scholar] [CrossRef] [PubMed]
- Abbaspour-Tamijani, A.; Bennett, J.W.; Jones, D.T.; Cartagena-Gonzalez, N.; Jones, Z.R.; Laudadio, E.D.; Hamers, R.J.; Santana, J.A.; Mason, S.E. DFT and thermodynamics calculations of surface cation release in LiCoO2. Appl. Surf. Sci. 2020, 515, 145865. [Google Scholar] [CrossRef] [Green Version]
- Ma, C.; Borgatta, J.; Hudson, B.G.; Tamijani, A.A.; De La Torre-Roche, R.; Zuverza-Mena, N.; Shen, Y.; Elmer, W.; Xing, B.; Mason, S.E.; et al. Advanced material modulation of nutritional and phytohormone status alleviates damage from soybean sudden death syndrome. Nat. Nanotechnol. 2020, 15, 1033–1042. [Google Scholar] [CrossRef] [PubMed]
- Bennett, J.W.; Jones, D.T.; Hudson, B.G.; Melendez-Rivera, J.; Hamers, R.J.; Mason, S.E. Emerging investigator series: First-principles and thermodynamics comparison of compositionally-tuned delafossites: Cation release from the surface of complex metal oxides. Environ. Sci. Nano 2020, 7, 1642–1651. [Google Scholar] [CrossRef]
- Han, X.; Lu, L.; Zheng, Y.; Feng, X.; Li, Z.; Li, J.; Ouyang, M. A review on the key issues of the lithium ion battery degradation among the whole life cycle. Etransportation 2019, 1, 100005. [Google Scholar] [CrossRef]
- Wandt, J.; Freiberg, A.; Thomas, R.; Gorlin, Y.; Siebel, A.; Jung, R.; Gasteiger, H.A.; Tromp, M. Transition metal dissolution and deposition in Li-ion batteries investigated by operando X-ray absorption spectroscopy. J. Mater. Chem. A 2016, 4, 18300–18305. [Google Scholar] [CrossRef]
- Liu, P.; Xu, R.; Liu, Y.; Lin, F.; Zhao, K. Computational Modeling of Heterogeneity of Stress, Charge, and Cyclic Damage in Composite Electrodes of Li-Ion Batteries. J. Electrochem. Soc. 2020, 167, 040527. [Google Scholar] [CrossRef]
- Ceder, G.; Chiang, Y.M.; Sadoway, D.R.; Aydinol, M.K.; Jang, Y.I.; Huang, B. Identification of cathode materials for lithium batteries guided by first-principles calculations. Nature 1998, 392, 694–696. [Google Scholar] [CrossRef]
- Islam, M.S.; Fisher, C.A.J. Lithium and sodium battery cathode materials: Computational insights into voltage, diffusion and nanostructural properties. Chem. Soc. Rev. 2014, 43, 185–204. [Google Scholar] [CrossRef] [Green Version]
- Liu, C.; Neale, Z.G.; Cao, G. Understanding electrochemical potentials of cathode materials in rechargeable batteries. Mater. Today 2016, 19, 109–123. [Google Scholar] [CrossRef]
- Watanabe, E.; Zhao, W.; Sugahara, A.; Mortemard de Boisse, B.; Lander, L.; Asakura, D.; Okamoto, Y.; Mizokawa, T.; Okubo, M.; Yamada, A. Redox-Driven Spin Transition in a Layered Battery Cathode Material. Chem. Mater. 2019, 31, 2358–2365. [Google Scholar] [CrossRef]
- Urban, A.; Seo, D.-H.; Ceder, G. Computational understanding of Li-ion batteries. npj Comput. Mater. 2016, 2, 16002. [Google Scholar] [CrossRef]
- Tygesen, A.S.; Chang, J.H.; Vegge, T.; García-Lastra, J.M. Computational framework for a systematic investigation of anionic redox process in Li-rich compounds. npj Comput. Mater. 2020, 6, 65. [Google Scholar] [CrossRef]
- Wang, B.; Li, S.L.; Truhlar, D.G. Modeling the Partial Atomic Charges in Inorganometallic Molecules and Solids and Charge Redistribution in Lithium-Ion Cathodes. J. Chem. Theory Comput. 2014, 10, 5640–5650. [Google Scholar] [CrossRef]
- Zhang, Y.; He, X.; Chen, Z.; Bai, Q.; Nolan, A.M.; Roberts, C.A.; Banerjee, D.; Matsunaga, T.; Mo, Y.; Ling, C. Unsupervised discovery of solid-state lithium ion conductors. Nat. Commun. 2019, 10, 5260. [Google Scholar] [CrossRef] [Green Version]
- Eremin, R.A.; Zolotarev, P.N.; Ivanshina, O.Y.; Bobrikov, I.A. Li(Ni,Co,Al)O2 Cathode Delithiation: A Combination of Topological Analysis, Density Functional Theory, Neutron Diffraction, and Machine Learning Techniques. J. Phys. Chem. C 2017, 121, 28293–28305. [Google Scholar] [CrossRef]
- Chikkannanavar, S.B.; Bernardi, D.M.; Liu, L. A review of blended cathode materials for use in Li-ion batteries. J. Power Sources 2014, 248, 91–100. [Google Scholar] [CrossRef]
- Choi, M.H.; Yoon, C.S.; Myung, S.T.; Lim, B.B.; Komaba, S.; Sun, Y.K. Effect of Lithium in Transition Metal Layers of Ni-Rich Cathode Materials on Electrochemical Properties. J. Electrochem. Soc. 2015, 162, A2313–A2318. [Google Scholar] [CrossRef]
- Abdellahi, A.; Urban, A.; Dacek, S.; Ceder, G. Understanding the Effect of Cation Disorder on the Voltage Profile of Lithium Transition-Metal Oxides. Chem. Mater. 2016, 28, 5373–5383. [Google Scholar] [CrossRef]
- Van der Ven, A.; Ceder, G. Lithium diffusion mechanisms in layered intercalation compounds. J. Power Sources 2001, 97, 529–531. [Google Scholar] [CrossRef]
- Van der Ven, A.; Thomas, J.C.; Xu, Q.C.; Swoboda, B.; Morgan, D. Nondilute diffusion from first principles: Li diffusion in LixTiS2. Phys. Rev. B 2008, 78, 104306. [Google Scholar] [CrossRef]
- Xia, H.M.; Shirley, Y.; Lu, L.; Ceder, G. Electrochemical Behavior and Li Diffusion Study of LiCoO2 Thin Film Electrodes Prepared by PLD. Adv. Mater. Micro- Nano-Syst. 2007. Available online: http://hdl.handle.net/1721.1/35827 (accessed on 19 February 2022).
- Giannozzi, P.; Baroni, S.; Bonini, N.; Calandra, M.; Car, R.; Cavazzoni, C.; Ceresoli, D.; Chiarotti, G.L.; Cococcioni, M.; Dabo, I.; et al. QUANTUM ESPRESSO: A modular and open-source software project for quantum simulations of materials. J. Phys. Condens. Matter 2009, 21, 395502. [Google Scholar] [CrossRef] [PubMed]
- Garrity, K.F.; Bennett, J.W.; Rabe, K.M.; Vanderbilt, D. Pseudopotentials for high-throughput DFT calculations. Comput. Mater. Sci. 2014, 81, 446–452. [Google Scholar] [CrossRef] [Green Version]
- Gu, X.; Liu, J.-L.; Yang, J.-H.; Xiang, H.-J.; Gong, X.-G.; Xia, Y.-Y. First-Principles Study of H+ Intercalation in Layer-Structured LiCoO2. J. Phys. Chem. C 2011, 115, 12672–12676. [Google Scholar] [CrossRef]
- Shu, Q.; Chen, L.; Xia, Y.; Gong, X.; Gu, X. Proton-Induced Dysfunction Mechanism of Cathodes in an Aqueous Lithium Ion Battery. J. Phys. Chem. C 2013, 117, 6929–6932. [Google Scholar] [CrossRef]
- Aydinol, M.K.; Kohan, A.F.; Ceder, G.; Cho, K.; Joannopoulos, J. Ab initio study of lithium intercalation in metal oxides and metal dichalcogenides. Phys. Rev. B 1997, 56, 1354–1365. [Google Scholar] [CrossRef] [Green Version]
- Knight, J.C.; Manthiram, A. Effect of nickel oxidation state on the structural and electrochemical characteristics of lithium-rich layered oxide cathodes. J. Mater. Chem. A 2015, 3, 22199–22207. [Google Scholar] [CrossRef]
- Rong, X.; Kolpak, A.M. Ab Initio Approach for Prediction of Oxide Surface Structure, Stoichiometry, and Electrocatalytic Activity in Aqueous Solution. J. Phys. Chem. Lett. 2015, 6, 1785–1789. [Google Scholar] [CrossRef]
- Wagman, D.D.; Evans, W.H.; Parker, V.B.; Schumm, R.H.; Halow, I.; Bailey, S.M.; Churney, K.L.; Nuttall, R.L. Erratum: The NBS tables of chemical thermodynamic properties. Selected values for inorganic and C1 and C2 organic substances in SI units. J. Phys. Chem. Ref. Data 1989, 18, 1807–1812. [Google Scholar] [CrossRef] [Green Version]
- Ojha, G.P.; Pant, B.; Muthurasu, A.; Chae, S.-H.; Park, S.-J.; Kim, T.; Kim, H.-Y. Three-dimensionally assembled manganese oxide ultrathin nanowires: Prospective electrode material for asymmetric supercapacitors. Energy 2019, 188, 116066. [Google Scholar] [CrossRef]
- Gagné, O.C.; Hawthorne, F.C. Comprehensive derivation of bond-valence parameters for ion pairs involving oxygen. Acta Crystallogr. B Struct. Sci. Cryst. Eng. Mater. 2015, 71 Pt 5, 562–578. [Google Scholar] [CrossRef] [PubMed] [Green Version]
- Sutton, C.; Levchenko, S.V. First-Principles Atomistic Thermodynamics and Configurational Entropy. Front. Chem. 2020, 8, 757. [Google Scholar] [CrossRef] [PubMed]










| Lix | Ni ΔG1 (eV) | σ | Mn ΔG1 (eV) | σ | Co ΔG1 (eV) | σ |
|---|---|---|---|---|---|---|
| 1.00 | 9.38 | 0.00 | 12.70 | 0.00 | 9.92 | 0.00 |
| 0.89 | 8.25 | 0.33 | 12.37 | 0.35 | 9.34 | 0.20 |
| 0.78 | 8.28 | 0.23 | 12.41 | 0.29 | 9.47 | 0.15 |
| 0.67 | 8.40 | 0.39 | 12.48 | 0.29 | 9.64 | 0.53 |
| 0.56 | 8.36 | 0.24 | 12.46 | 0.48 | 9.72 | 0.25 |
| 0.44 | 8.38 | 0.59 | 12.60 | 0.65 | 9.64 | 0.16 |
| Li Fraction | 0.89 | 0.78 | 0.67 | 0.56 | 0.44 |
| %Δg | 0.26 | −0.97 | −4.09 | −8.25 | −9.58 |
Publisher’s Note: MDPI stays neutral with regard to jurisdictional claims in published maps and institutional affiliations. |
© 2022 by the authors. Licensee MDPI, Basel, Switzerland. This article is an open access article distributed under the terms and conditions of the Creative Commons Attribution (CC BY) license (https://creativecommons.org/licenses/by/4.0/).
Share and Cite
Hudson, B.G.; Mason, S.E. Metal Release Mechanism and Electrochemical Properties of Lix(Ni1/3Mn1/3Co1/3)O2. Appl. Sci. 2022, 12, 4065. https://doi.org/10.3390/app12084065
Hudson BG, Mason SE. Metal Release Mechanism and Electrochemical Properties of Lix(Ni1/3Mn1/3Co1/3)O2. Applied Sciences. 2022; 12(8):4065. https://doi.org/10.3390/app12084065
Chicago/Turabian StyleHudson, Blake G., and Sara E. Mason. 2022. "Metal Release Mechanism and Electrochemical Properties of Lix(Ni1/3Mn1/3Co1/3)O2" Applied Sciences 12, no. 8: 4065. https://doi.org/10.3390/app12084065
APA StyleHudson, B. G., & Mason, S. E. (2022). Metal Release Mechanism and Electrochemical Properties of Lix(Ni1/3Mn1/3Co1/3)O2. Applied Sciences, 12(8), 4065. https://doi.org/10.3390/app12084065
