Next Article in Journal
Structural Vibration Control Using Novel Adaptive Tuned Mass Inertance Damper (ATMID) with Adjustable Inertance
Next Article in Special Issue
A Spectral Method Algorithm for Modeling the Dispersion of Non-Axisymmetric Modes in Fluid-Filled Elastic Tubes
Previous Article in Journal
Optimal Multikey Homomorphic Encryption with Steganography Approach for Multimedia Security in Internet of Everything Environment
Previous Article in Special Issue
An Open Access Chamber Designed for the Acoustic Characterisation of Microbubbles
 
 
Font Type:
Arial Georgia Verdana
Font Size:
Aa Aa Aa
Line Spacing:
Column Width:
Background:
Article

Influence of Artificial Soft Tissue on Intra-Operative Vibration Analysis Method for Primary Fixation Monitoring in Cementless Total Hip Arthroplasty

by
George Athanassoulis Makris
1,*,
Leonard Pastrav
1,
Quentin Goossens
1,
Maikel Timmermans
1,
Michiel Mulier
2,
Georges Frederic Vles
2,
Wim Desmet
3 and
Kathleen Denis
1,*
1
KU Leuven, Department of Mechanical Engineering, Smart Instrumentation, B-3000 Leuven, Belgium
2
UZ Leuven, Department of Orthopaedic Surgery, B-3000 Leuven, Belgium
3
KU Leuven, Department of Mechanical Engineering, Mecha(tro)nic System Dynamics Section, B-3000 Leuven, Belgium
*
Authors to whom correspondence should be addressed.
Appl. Sci. 2022, 12(8), 4027; https://doi.org/10.3390/app12084027
Submission received: 15 March 2022 / Revised: 13 April 2022 / Accepted: 14 April 2022 / Published: 15 April 2022

Abstract

:

Featured Application

A decision supporting monitoring technique that informs the orthopedic surgeon when the femoral implant insertion endpoint is reached during cementless total hip arthroplasty.

Abstract

In cementless Total Hip Arthroplasty (THA), achieving high primary implant fixation is crucial for the long-term survivorship of the femoral stem. While orthopedic surgeons traditionally assess fixation based on their subjective judgement, novel vibration-analysis fixation-monitoring techniques show promising potential in providing the surgeon with objective and quantifiable fixation measurements. This study presents a dynamic response measurement protocol for implant endpoint insertion and evaluates this protocol in the presence of artificial soft tissue. After the artificial femur was prepared in accordance with the THA protocol, the implant was inserted and progressively hammered into the cavity. The Pearson Correlation Coefficient (PCC) and Frequency Response Assurance Criterion (FRAC) corresponding to each insertion hammer hit were derived from the Frequency Response Functions (FRF) corresponding to each insertion step. The protocol was repeated with the artificial femur submerged in artificial soft tissue to imitate the influence of anatomical soft tissue. The FRAC appeared overall more sensitive than the PCC. In the presence of the artificial soft tissue the technique yielded higher PCC and FRAC values earlier in the insertion process. The measurements with artificial soft tissue produced FRFs with fewer peaks, lower resonance frequencies, and overall higher damping factors. The soft tissue appears to limit the fixation-change detection capabilities of the system and a promising potential remedy to this limitation is suggested.

1. Introduction

The role of intra-operative mechanical fixation in cementless implant survivorship has long been recognized within the orthopedics community [1]. Inadequate intra-operative mechanical fixation, also referred to as primary stability in literature, is linked to early implant loosening. When loosening occurs, a revision operation is usually required [2]. Total Hip Arthroplasty (THA) revisions are costly, associated with higher risk, and pose a substantial mental and physical burden for the patient. Therefore, taking steps to prevent conditions that lead to the necessity of revision operations is of central importance to orthopedic professionals. Consequently, during cementless THA, orthopedic surgeons strive to consistently achieve optimal primary implant stability.
A multitude of studies have addressed the challenge of objectively assessing orthopedic implant fixation intraoperatively. A notable portion of these studies focus on assessing the fixation of acetabular and femoral implants intraoperatively, using methods based on vibration analysis (VA) [3,4]. Techniques based on VA have produced promising results when it comes to intraoperative stability monitoring. These techniques aim to provide quantitative feedback that can be utilized by the surgeons intraoperatively to produce consistent and repeatable optimal implant stability. Other works employ vibro-acoustic methods to assess femoral stem fixation [5,6]. As an additional function, these VA and vibro-acoustic techniques have displayed potential for micro-crack detection, prior to crack propagation and eventual bone fracture [4,6]. Such a functionality would alert the surgeon in case of micro-crack formation to stop further hammering of the stem and avoid an imminent fracture. A different study employing vibro-acoustic methods by Oberst et al. shifts the focus on investigating the compaction broaching process instead of the implant insertion process, as a prerequisite for optimal primary stability [7]. An alternate approach includes assessing primary fixation by means of instrumented hammering [8,9]. Bosc et al. [10] addressed the influence of bovine soft tissue on acetabular cup VA primary fixation assessment. In this study, the resonant frequencies were observed to reduce with increasing thickness of bovine soft tissue layers.
The underlying principle of using VA to monitor the stability of an implant can be explained in the case of a femoral stem insertion. As the stem is progressively hammered into the femoral cavity, the resonant frequencies observed in the Frequency Response Function (FRF) of the combined femur–implant structure rise due to an increase in stiffness of the combined structure. These resonant frequency changes can be observed in the FRF evolution during the implant insertion. This increase in stiffness corresponds to an increase in primary stability. The principle of tracking a structure’s resonant frequencies as an indication of changes in the structure’s stiffness originates in structural engineering, where it is used for damage identification [11].
In the human body, the femoral bone is surrounded by soft tissue, which is a complex anatomical structure consisting of muscle, fat, ligaments, blood vessels, and nerves. The influence of the biological soft tissue elements, joints, and adjacent bones on the vibrational properties of the tibia was investigated in a cadaveric study by Tsuchikane et al. [12]. This study demonstrated that the removal of the biological soft-tissue surrounding the tibia, the femur, and the foot did not substantially affect the resulting mode shapes of the tibia. An actual change in the boundary conditions of a structure would drastically affect the resulting mode shapes, suggesting that the boundary conditions, before and after the removal of the biological soft tissue, foot, and femur, are equivalent, given that the tibia mode shapes remained unaltered. As a result, the observed similarity of the mode shapes before and after the removal of the aforementioned anatomical elements suggests that the free–free boundary condition is the most appropriate to characterize the tibia inside the body. Many studies extend this principle to the femur, a bone significantly similar to the tibia, in terms of shape, size, and joints [4,13]. The validity of this assumption, namely, considering the free–free condition appropriate for characterizing the tibia or femur in the body, can be carried over to the operating theatre during surgery, where the patient is lying down and is under anesthesia; a state similar to the one investigated in the study of Tsuchikane et al. in terms of muscle loading and body position. In addition, the notion of using the free–free boundary condition to model the femur in the body is further supported by the fact that relative displacement between the femur and tibia at the knee joint is possible for all six degrees of freedom [14]. The free–free boundary condition is often practically achieved in vitro by suspending the structure using elastic bands or placing it on foam.
Most studies on VA implant stability assessment techniques employ artificial bones [3,4,5,6,9] (Sawbones, Malmö Sweden), the material properties of which have been extensively validated [15,16]. In contrast, studies considering the influence of surrounding soft tissue on these VA techniques are rare [10]. In order to reproduce the influence of biological soft tissue in an in-vitro setting, a phantom that mimics the dynamic properties of soft tissue can be used. Numerous specialized soft tissue phantom recipes are available in literature, each of whom refer to a specific tissue type and application [17]. With respect to structural dynamics applications, Farrer et al. proposes a gelatin-based soft tissue mimicking phantom recipe that is reasonably representative of fat and muscle tissue, simplified into a homogeneous medium, in terms of dynamic properties [18]. An overview of the phantom’s properties and comparison to human fat and muscle tissue is included in Appendix A.
Predicting the FRF of a patient’s femoral bone-implant system at optimal implant stability would require a patient specific computational bone model as well as an in-depth knowledge of the patient specific soft tissue properties and forces exerted by muscles and ligaments. Obtaining and validating such a computational bone model poses a major challenge in the field of biomechanics with the currently available technologies. The specific technical challenges posed by these technologies are out of the scope of this article and will not be addressed. In addition, knowledge of the specific forces exerted by muscles and ligaments poses an equivalent scientific challenge [19].
Consequently, since the patient-specific numerical prediction of the FRF at optimal implant stability remains highly challenging, intraoperative VA techniques tend to follow an alternative, comparative approach according to which the FRFs of subsequent implant insertion steps are compared to each other, in order to draw a meaningful conclusion regarding the achieved implant stability. More specifically, the FRF of the implanted femur is compared prior to and following each insertion hammer hit. The insertion endpoint is defined as the state at which the implanted femur’s vibrational properties remain unaffected by a hammer hit and is practically detected when the obtained Pearson Correlation Coefficient of the last two insertion steps rises above a certain threshold value. This value is defined as 0.99 by Pastrav et al. [20] in a study where the stability of the implanted femur is measured in a single direction. As soon as an insertion hammer hit ceases to affect the structure’s vibrational properties, the fixation level of the implant in the femur bone does not increase anymore, so further hammering would not produce any extra benefit in terms of fixation and should be avoided.
The aim of this work is to investigate the influence of the biological soft tissue that surrounds the femur on the obtained measurements and the sensitivity of VA femoral implant stability assessment techniques. Investigating the influence of the biological soft tissue will grant insight into the actual sensitivity of these techniques when used intraoperatively and may highlight challenges that need to be addressed in order to improve the suitability of these techniques for intraoperative use.

2. Materials and Methods

2.1. Used Configurations and Method Overview

Two main configurations are investigated; the first one represents the implanted femur without soft tissue while the second one represents the implanted femur with soft tissue.
The first configuration consists of the femoral implant (Profemur Gladiator Hip Stem, Wright 5, Microport), inserted in the cavity of the surgically prepared artificial femur (model 3403, Sawbones, Malmö Sweden).
To represent the soft tissue that surrounds the biological femur bone, a biological soft tissue mimicking phantom is used, which is referred to as soft tissue, for brevity. The second configuration consists of the femur–implant structure surrounded by the soft tissue and the cylindrical container holding the artificial soft tissue.
The term implant insertion refers to the process of progressively hammering the implant into the femur. Each resulting structural state, following an insertion hit, is referred to as an insertion step.
The following two experiments were performed to investigate the influence of the soft tissue on the VA monitoring technique during implant insertion: (a) Implant insertion experiment without soft tissue. During this experiment the vibrational properties of the femur–implant structure during an insertion without soft tissue surrounding the femur were investigated. (b) Implant insertion experiment with soft tissue. During this experiment the vibrational properties of the femur–implant structure during an insertion with soft tissue surrounding the bone were investigated.
The two aforementioned experiments feature two individual implant insertions, during which, it is not guaranteed that the exact same implant fixation condition will be encountered. As a result, a third experiment was conducted to identify the influence of the soft tissue on the femur–implant structure for the exact same implant fixation condition. This was achieved by means of a comparative test pre and post soft tissue addition, during which, the vibrational properties of the femur–implant structure were recorded before and after adding soft tissue, without altering the fixation state of the implant in the femur between the measurements.

2.2. Implant Insertion Experiment without Soft Tissue

For the first experiment, the desired free–free boundary condition was achieved by suspending the femur–implant structure via elastic bands. The response and excitation points were chosen at the extremity of the structure, on the implant neck. Measurements were taken in the Antero-Posterior (AP) and Medio-Lateral (ML) direction, at the femoral stem neck, as illustrated in Figure 1. At the response points, accelerometers (PCB 352A24, PCB Piezotronics) were attached with beeswax and at the excitation point impacts were performed using a modal hammer (PCB 086C03, PCB Piezotronics). Signal acquisition and processing was done by means of a signal acquisition device (Simcenter SCADAS, Siemens PLM) and signal processing software (Simcenter LMS Test.Lab, Siemens PLM).
The artificial femur was prepared by the orthopedic surgeon. The preparation involved cutting and discarding the femoral head and creating the femoral cavity using the appropriate set of broaches, gradually enlarging the cavity up to broach size Wright 5.
Following the femur preparation, the femoral stem was manually inserted into the femoral cavity. The FRF of the femur–implant structure was recorded and the distance between two fixed points, one located on the surface of the implant and one on the surface of the femur, were noted following each insertion hammer hit. These two fixed points are marked in red in Figure 1. The cumulative subsidence was obtained by subtracting all measured distance values from the distance corresponding to the first insertion step. The Pearson Correlation Coefficient (PCC) and Frequency Response Assurance Criterion (FRAC), corresponding to each transition between two subsequent insertion steps, were calculated. For this calculation, the frequency range 0–3.5 kHz was considered. The insertion endpoint condition was fulfilled when the obtained PCC, corresponding to either the AP or ML direction, was equal or larger than 0.99.
The definitions of the PCC and the FRAC are the following:
PCC = f = a b ( | H ( f ) | N 1 | H ( f ) | ¯ N 1 ) · ( | H ( f ) | N | H ( f ) | ¯ N ) f = a b ( | H ( f ) | N 1 | H ( f ) | ¯ N 1 ) 2 · f = a b ( | H ( f ) | N | H ( f ) | ¯ N ) 2 ,
FRAC = | f = a b H ( f ) N 1 · H * ( f ) N | 2 f = a b H ( f ) N 1 · H * ( f ) N 1 f = a b H ( f ) N · H * ( f ) N ,
where H ( f ) N 1 is the FRF measured at insertion step N − 1. H ( f ) N is the FRF measured at insertion step N. The frequency range spanning from a to b is considered to calculate the PCC and the FRAC.

2.3. Implant Insertion Experiment with Soft Tissue

In the second experiment the influence of soft tissue on the proposed VA monitoring technique was investigated. The artificial soft tissue material used to produce a homogeneous representation of the human muscle and fat tissue is a 50% milk/50% water gelatin-based mixture proposed by Farrer et al. [18]. A more in-depth description of the artificial soft tissue production process can be found in Appendix A. The femur–implant structure was wrapped with cling film, to prevent contamination by the liquid artificial soft tissue, and placed concentrically in a cylindrical container with dimensions ⌀ 11 × 40 cm. The dimensions of the cylindrical container were chosen with respect to the size of the soft tissue surrounding the anatomical femur bone. The cylindrical container was then filled with four liters of the warm, liquid soft tissue replica so that the resulting liquid level was 1 cm below the trochanter. The filled cylindrical container was placed in a fridge at 2 °C for 8 h for the soft tissue replica to set. The resulting femur–implant structure with artificial soft tissue, which is displayed in Figure 2, was then transported to the experimental setup and was fixed using clamps, as shown in Figure 3. The vibrational response was recorded during the implant insertion process, following the same methodology as for Section 2.2.

2.4. Comparative Test –Pre and –Post Soft Tissue Addition

For the third experiment, in order to determine the influence of the artificial soft tissue on the obtained FRFs, a measurement was taken with and without soft tissue, without altering the implanted femur structure in any way between the two measurements, other than the addition of the soft tissue.
The obtained FRFs for the AP and ML measurement directions were compared and the damping ratio percentage ζ determined using the signal processing software (Simcenter LMS Test.Lab, Siemens PLM) for the most prominent peaks on the FRF, in order to illustrate the influence of the soft tissue on the amount of damping.
ζ   [ % ] = 1 2 · Δ ω 3 d B ω ο   · 100 ,
where ω ο is the resonant frequency and Δ ω 3 d B is the difference in frequency between the values that correspond to amplitudes of 3dB less than the amplitude at the resonant frequency peak, at the left and right side of that resonant frequency.

3. Results

3.1. Implant Insertion in Soft Tissue-Free Environment

The measured FRFs obtained in the AP and ML direction for each insertion step are presented in Figure 4 and Figure 5. In these figures, the peaks gradually shift to higher frequencies as the insertion progresses and converge between step 8 and 9, where the FRFs appear almost identical.
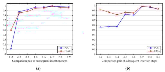
For the insertion without soft tissue, both the PCC and the FRAC demonstrate a mostly consistent growth pattern corresponding to the measurements taken in both the AP and ML direction, as shown in Figure 6a,b. As displayed in these figures, the PCC and FRAC follow a fairly similar trend.
Both Figure 6a,b feature FRAC values that are overall lower than the corresponding PCC values.
The insertion endpoint is detected at transition 8–9. A figure that clearly illustrates the reaching of this threshold is included in the Appendix A, Figure A1.
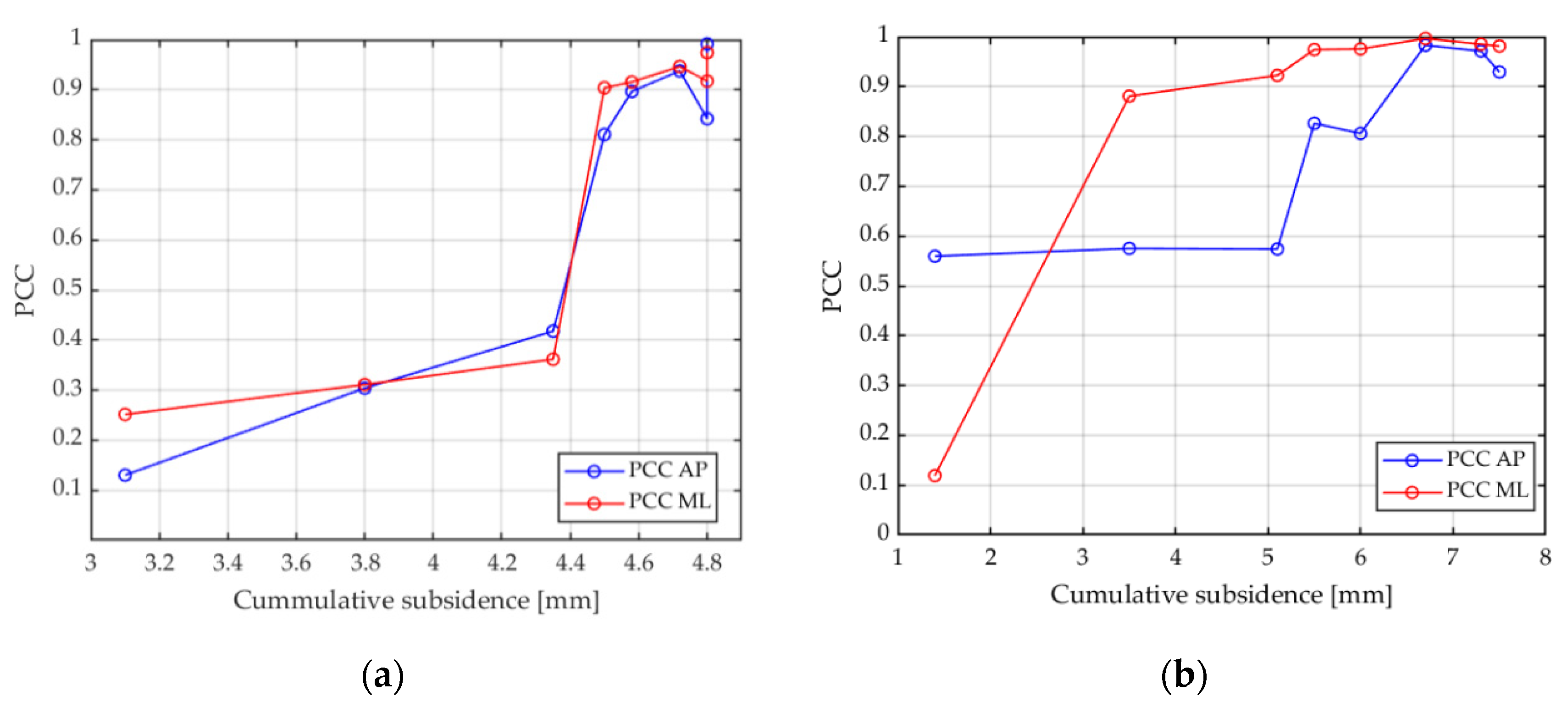
In addition, a graph showing the PCC plotted against the subsidence for this insertion can be found in the Appendix A, Figure A3a.

3.2. Implant Insertion in the Presence of Artificial Soft Tissue

Figure 7 and Figure 8 show the obtained FRFs corresponding to each insertion step performed on the femur–implant structure with artificial soft tissue. Even though the FRFs appear quite damped, a progressive shift to the right can be observed until the FRFs converge.
Figure 9 shows the PCC and FRAC progression during the insertion performed on the femur with soft tissue. More specifically, the AP measurements follow a mostly consistent growth pattern while the growth pattern in the ML direction appear less consistent. In Figure 9a the FRAC is overall lower than the PCC. In contrast, in the ML direction the FRAC is overall higher than the PCC Figure 9b.
When the soft tissue is present, overall higher PCC and FRAC values are obtained in comparison to when the soft tissue is absent and the convergence between the FRFs appears earlier in the insertion process, at transition step 6–7. A figure that clearly illustrates the reaching of this threshold is included in the Appendix A, Figure A2.
In addition, a graph showing the PCC plotted against the subsidence for this insertion can be found in the Appendix A, Figure A3b.

3.3. Pre and Post Soft Tissue Introduction FRF Comparison

The FRFs obtained before and after the artificial soft tissue addition are presented in Figure 10 and Figure 11, for the AP and ML measurements, respectively. The addition of the artificial soft tissue appears to have three main effects on the FRFs. A first effect is that the number of peaks is reduced, especially above 1.5 kHz. A second effect is that a decrease in the resonant frequencies in the 0–1.5 kHz band is observed. In contrast, the peak at 1867 Hz in Figure 10 and the peak at 2157 Hz in Figure 11 seem to increase after the soft tissue is added. A third effect is that the damping factors are increased.

4. Discussion

The excitation and measurement locations were chosen at the implant neck, at the extremity of the femur–implant structure, in order to obtain FRFs with numerous and high amplitude peaks.
When the artificial femur is inserted in the artificial soft tissue, as shown in Figure 2, it is considered to be suspended, in an analogous fashion to a femur in the human body. The free–free boundary condition is, therefore, assumed valid for the artificial femur in this situation. In addition, when the structure is excited at the excitation locations on the implant, the excitation energy is dissipated due to the damping imposed by the artificial soft tissue before reaching the surrounding cylindrical container. This is important because the obtained measurements should be independent of the mass and stiffness characteristics of the cylindrical container that holds the artificial soft tissue. The validity of the free–free condition assumption for the femur in this configuration was checked by placing an accelerometer on the container, exciting the artificial femur and verifying that the accelerometer did not pick up any signal. As a result, since the free–free boundary condition is adequately realized by the artificial soft tissue, the cylindrical container could be fixed to the environment via a rigid fixture, as shown in Figure 3, without affecting the obtained measurements.
Overall higher PCC and FRAC values were obtained when the insertion was performed with soft tissue than when it was performed without soft tissue. These higher PCC and FRAC values are a result of the effect of the soft tissue-induced damping that renders subsequent FRFs more similar by damping or eliminating fixation-sensitive peaks, as shown in Figure 10 and Figure 11. As a result, the fixation-sensitivity of the VA measurement technique is reduced by the surrounding soft tissue. This sensitivity limitation in the presence of soft tissue is also reflected in the early appearance of the insertion endpoint.
The FRAC values appear overall lower than the corresponding PCC values, except for Figure 9b. This difference can be explained by comparing Equation (1) to Equation (2); while the FRAC considers the FRF amplitude and phase, the PCC considers the FRF amplitude solely. This could explain why the FRAC can show a higher sensitivity than the PCC.
As an insertion endpoint detection criterion, a threshold value for the PCC of 0.99 for either the ML or AP direction was used. This is an adaptation of Pastrav’s method [20], who used the same threshold of 0.99 for the PCC, but only considered measurements in a single direction. The use of this threshold indicates that the endpoint was detected at the ninth step, after the eighth hammer hit, when there was no artificial soft tissue, while it was already detected at the seventh step, after the sixth hammer hit, when the artificial soft tissue was present. Reaching the insertion endpoint means that the FRFs of two subsequent insertion steps are nearly identical, so the last hammer hit did not affect the fixation level of the implant.
During the insertion with soft tissue, after reaching the insertion endpoint, the PCC and FRAC values fell. This fall suggests that further hammering after the endpoint is reached can compromise the stability of the implant.
During the comparative test (Section 2.4), the soft tissue caused the previously observed sharp peaks to become damped and shift to lower frequencies as seen in Figure 9. These changes appear to be in agreement to the observations made by Tsuchikane et al. in a cadaveric study where the biological soft tissue around the tibia was gradually removed [12]. The observed resonant frequency decrease seems to be the combined result of mass loading and damping caused by the soft tissue.
Despite most peaks shifting to lower frequencies, two peaks appear to exceptionally shift to higher frequencies. It seems that this apparent frequency increase is actually the result of two individual peaks merging into a single peak, as a result of two modes overlapping under the increased damping. The presence of these overlapping modes is further supported by the fact that these peaks exhibit exceptionally higher amplitudes compared to other peaks in the FRF. In the cadaveric study of Tsuchikane et al., a similar phenomenon of overlapping resonant frequencies was encountered. More specifically, a single high amplitude peak was replaced by two peaks after the dissection of the medial collateral ligament [12].
Adding the soft tissue seems to almost completely damp the amplitudes of the FRF at the frequency range above 3 kHz. The damping imposed by the added artificial soft tissue decreased the amplitudes of all peaks. The two peaks, that seem to have shifted to a higher frequency, are the only ones whose amplitudes did not reduce drastically, but only by a small amount, as displayed in Figure 9.
In the present study, an attempt was made to imitate biological soft tissue in order to investigate its effects on VA measurements. Nevertheless, while the artificial soft tissue exhibits reasonably similar material properties to fat and muscle, the actual biological soft tissue features a complex anatomical configuration of the muscle, ligaments and fat. The dynamic effects of this complex anatomical configuration are not carried over to the artificial soft tissue, which is a simpler isotropic uniform material. Consequently, a cadaveric or clinical study is needed to evaluate how closely this material simplification relates to the actual biological soft tissue encountered in intraoperative conditions. It is hypothesized that non homogenous biological soft tissue would influence the modal mass, stiffness and damping of each individual mode in a different manner. This is due to the attachment sites of the tissues on the bone and the uneven distribution of tissue mass that create a non-homogeneous distribution of mass, stiffness and damping which overlays the femur–implant structure. Although the physical properties are not identical to those of human tissue, the artificial soft tissue presents certain advantages over the use of cadavers, such as lower cost, easier preservation, and a lesser degree of regulation involving its use in experiments.
The second limitation is that the physical properties of the materials used in this study represent average values, thus do not cover the whole span of the individual properties for each anatomic component (e.g., bone, muscle and fat) which are heavily subjected to inter-individual variability.
A promising solution to mitigate the negative effects of the soft tissue damping on the system’s sensitivity has been proposed by Leuridan et al. [21]. This solution involves structural modifications that can be applied to the exposed part of the femoral implant so that less damped, sharper peaks are obtained.
In addition, instead of using a modal hammer, the experiment could be repeated using alternative excitation methods, like, for example, a shaker. The shaker as an excitation method can present certain advantages over the modal hammer, for this application. More specifically, the shaker can be fixed on the structure and can, therefore, produce an excitation signal in a more repeatable manner than the manually operated modal hammer, in the case of which the repeatability depends on the operator. Furthermore, using the modal hammer can require multiple time-consuming excitations for a single measurement in order to obtain enough samples that are averaged to increase the signal to noise ratio to an acceptable level. In contrast, the shaker can obtain the multiple averaged samples automatically as it produces a continuous excitation signal. This difference potentially renders use of the shaker more practical for intraoperative use.

5. Conclusions

During a femoral implant insertion, the insertion endpoint for the isolated femur–implant structure can be detected by monitoring the FRFs of subsequent insertion steps. The insertion endpoint condition is fulfilled when the vibrational properties of the isolated femur–implant structure remain unaltered by an insertion hammer hit, indicating that they have fully converged and that the implant has become completely fixed in the femur.
Nevertheless, in practice, the presence of surrounding soft tissue introduces some challenges regarding the application of the proposed vibration analysis monitoring method. More specifically, the soft tissue seems to harm the overall sensitivity of the monitoring system, leading to premature endpoint detection. This premature endpoint detection occurs because the natural frequency shifts caused by the fixation changes become less detectable due to the soft tissue induced damping that hampers the ability of the system to distinguish between different fixation levels. As a result, the endpoint condition is fulfilled earlier than it would have been if the soft tissue was absent. To mitigate the sensitivity limitation caused by the soft tissue, structural modifications or alternative excitation methods could be applied.

Author Contributions

Conceptualization, G.A.M., Q.G., L.P., M.T., M.M., G.F.V., W.D. and K.D.; methodology G.A.M., L.P., Q.G. and K.D.; formal analysis, G.A.M., L.P., Q.G. and K.D.; investigation, G.A.M.; writing—original draft preparation, G.A.M.; writing—review and editing, G.A.M., Q.G., L.P., M.T., M.M., G.F.V., W.D. and K.D.; visualization, G.A.M. and Q.G.; supervision, K.D. All authors have read and agreed to the published version of the manuscript.

Funding

This research was supported by Internal Funds KU Leuven.

Institutional Review Board Statement

Not applicable.

Data Availability Statement

The data presented in this study are available on request from the corresponding author. The data are not publicly available due to timing restrictions.

Conflicts of Interest

The authors declare no conflict of interest.

Appendix A

Appendix A.1. Artificial Soft Tissue Preparation Protocol and Comparison to Human Tissue Properties

The recipe followed to produce the tissue-mimicking phantom is the one proposed by Farrer et al. To create each liter of the 50% water/ 50% milk gelatin phantom, 111 g of gelatin powder of 175 bloom was mixed with 225 mL of de-ionized water. In a separate container, 275 mL of degassed de-ionized water was mixed with 500 mL of evaporated milk. The recipe was scaled up to produce five liters of tissue mimicking phantom. The evaporated milk/water mixture was heated to 80 °C and mixed with the gelatin/water mixture which was thoroughly stirred until all the gelatin was fully dissolved, resembling a uniform liquid. This mixture was allowed to cool to 40 °C before being poured through a strainer into the cylindrical tube in which the artificial bone was placed. The resulting setup is depicted in Figure 2.
The resulting tissue mimicking phantom has a density of 1058 kg/m³, whereas the densities of fat and muscle tissue are 911 kg/m³ and 1090 kg/m³, respectively. The phantom’s Young’s Modulus is 18.8 kPa while the Young’s modulus of fat and muscle are 12–26 kPa and 6–15 kPa, respectively. The average attenuation coefficient of the phantom is 0.50 dB/cm/MHz while for fat tissue it is 0.6 dB/cm/MHz and for muscle tissue it is 1.1 dB/cm/MHz. The aforementioned values for the properties of the phantom represent the average values of the phantom measurements executed in Farrer’s study. The values for the fat and muscle tissues refer to selected mid-range values, which are chosen to deal with the considerable property variations due to the heterogeneity of these tissues [18].
Figure A1. PCC and FRAC development for insertion without soft tissue. The PCC threshold (indicated in orange) is reached at the step 8–9 transition.
Figure A1. PCC and FRAC development for insertion without soft tissue. The PCC threshold (indicated in orange) is reached at the step 8–9 transition.
Applsci 12 04027 g0a1
Figure A2. PCC and FRAC development for insertion with soft tissue. The PCC threshold (indicated in orange) is reached at the step 6–7 transition.
Figure A2. PCC and FRAC development for insertion with soft tissue. The PCC threshold (indicated in orange) is reached at the step 6–7 transition.
Applsci 12 04027 g0a2
Figure A3. Pearson Correlation Coefficient development calculated in the 0–3.5 kHz range plotted against implant cumulative subsidence (a) without soft tissue (b) with soft tissue.
Figure A3. Pearson Correlation Coefficient development calculated in the 0–3.5 kHz range plotted against implant cumulative subsidence (a) without soft tissue (b) with soft tissue.
Applsci 12 04027 g0a3

References

  1. Pegg, E.C.; Mellon, S.J.; Gill, H.S. Early and Late Mechanical Stability of the Cementless Bone-Implant Interface in Total Joint Arthroplasty. In Bone-Implant Interface in Orthopedic Surgery: Basic Science to Clinical Applications; Karachalios, T., Ed.; Springer: London, UK, 2014; pp. 13–26. ISBN 978-1-4471-5409-9. [Google Scholar]
  2. Ulrich, S.D.; Seyler, T.M.; Bennett, D.; Delanois, R.E.; Saleh, K.J.; Thongtrangan, I.; Kuskowski, M.; Cheng, E.Y.; Sharkey, P.F.; Parvizi, J.; et al. Total Hip Arthroplasties: What Are the Reasons for Revision? Int. Orthop. 2008, 32, 597–604. [Google Scholar] [CrossRef] [PubMed] [Green Version]
  3. Varini, E.; Bialoblocka-Juszczyk, E.; Lannocca, M.; Cappello, A.; Cristofolini, L. Assessment of Implant Stability of Cementless Hip Prostheses through the Frequency Response Function of the Stem–Bone System. Sens. Actuators A Phys. 2010, 163, 526–532. [Google Scholar] [CrossRef]
  4. Denis, K.; Pastrav, L.C.; Leuridan, S. Chapter 20—Vibration Analysis of the Biomechanical Stability of Total Hip Replacements. In Experimental Methods in Orthopaedic Biomechanics; Zdero, R., Ed.; Elsevier: Amsterdam, The Netherlands, 2017; pp. 313–328. ISBN 978-0-12-803802-4. [Google Scholar]
  5. Goossens, Q.; Leuridan, S.; Henyš, P.; Roosen, J.; Pastrav, L.; Mulier, M.; Desmet, W.; Denis, K.; Vander Sloten, J. Development of an Acoustic Measurement Protocol to Monitor Acetabular Implant Fixation in Cementless Total Hip Arthroplasty: A Preliminary Study. Med. Eng. Phys. 2017, 49, 28–38. [Google Scholar] [CrossRef] [PubMed]
  6. Goossens, Q.; Pastrav, L.; Roosen, J.; Mulier, M.; Desmet, W.; Vander Sloten, J.; Denis, K. Acoustic Analysis to Monitor Implant Seating and Early Detect Fractures in Cementless THA: An in Vivo Study. J. Orthop. Res. 2021, 39, 1164–1173. [Google Scholar] [CrossRef] [PubMed]
  7. Oberst, S.; Baetz, J.; Campbell, G.; Lampe, F.; Lai, J.C.S.; Hoffmann, N.; Morlock, M. Vibro-Acoustic and Nonlinear Analysis of Cadavric Femoral Bone Impaction in Cavity Preparations. Int. J. Mech. Sci. 2018, 144, 739–745. [Google Scholar] [CrossRef] [Green Version]
  8. Albini Lomami, H.; Damour, C.; Rosi, G.; Poudrel, A.-S.; Dubory, A.; Flouzat-Lachaniette, C.-H.; Haiat, G. Ex Vivo Estimation of Cementless Femoral Stem Stability Using an Instrumented Hammer. Clin. Biomech. 2020, 76, 105006. [Google Scholar] [CrossRef] [PubMed]
  9. Tijou, A.; Rosi, G.; Vayron, R.; Lomami, H.A.; Hernigou, P.; Flouzat-Lachaniette, C.-H.; Haïat, G. Monitoring Cementless Femoral Stem Insertion by Impact Analyses: An in Vitro Study. J. Mech. Behav. Biomed. Mater. 2018, 88, 102–108. [Google Scholar] [CrossRef] [PubMed]
  10. Bosc, R.; Tijou, A.; Rosi, G.; Nguyen, V.-H.; Meningaud, J.-P.; Hernigou, P.; Flouzat-Lachaniette, C.-H.; Haiat, G. Influence of Soft Tissue in the Assessment of the Primary Fixation of Acetabular Cup Implants Using Impact Analyses. Clin. Biomech. 2018, 55, 7–13. [Google Scholar] [CrossRef] [PubMed]
  11. Wang, S.; Xu, M. Modal Strain Energy-Based Structural Damage Identification: A Review and Comparative Study. Struct. Eng. Int. 2019, 29, 234–248. [Google Scholar] [CrossRef]
  12. Tsuchikane, A.; Nakatsuchi, Y.; Nomura, A. The Influence of Joints and Soft Tissue on the Natural Frequency of the Human Tibia Using the Impulse Response Method. Proc. Inst. Mech. Eng. Part H J. Eng. Med. 1995, 209, 149–155. [Google Scholar] [CrossRef] [PubMed]
  13. Van der Perre, G.; Lowet, G. In Vivo Assessment of Bone Mechanical Properties by Vibration and Ultrasonic Wave Propagation Analysis. Bone 1996, 18, S29–S35. [Google Scholar] [CrossRef]
  14. Lin, F.; Makhsous, M.; Chang, A.H.; Hendrix, R.W.; Zhang, L.-Q. In Vivo and Noninvasive Six Degrees of Freedom Patellar Tracking during Voluntary Knee Movement. Clin. Biomech. 2003, 18, 401–409. [Google Scholar] [CrossRef]
  15. Leuridan, S.; Goossens, Q.; Pastrav, L.; Roosen, J.; Mulier, M.; Denis, K.; Desmet, W.; Sloten, J.V. Determination of Replicate Composite Bone Material Properties Using Modal Analysis. J. Mech. Behav. Biomed. Mater. 2017, 66, 12–18. [Google Scholar] [CrossRef] [PubMed]
  16. Henyš, P.; Čapek, L. Material Model of Pelvic Bone Based on Modal Analysis: A Study on the Composite Bone. Biomech. Model. Mechanobiol. 2017, 16, 363–373. [Google Scholar] [CrossRef] [PubMed]
  17. Antoniou, A.; Damianou, C. MR Relaxation Properties of Tissue-Mimicking Phantoms. Ultrasonics 2022, 119, 106600. [Google Scholar] [CrossRef] [PubMed]
  18. Farrer, A.I.; Odéen, H.; de Bever, J.; Coats, B.; Parker, D.L.; Payne, A.; Christensen, D.A. Characterization and Evaluation of Tissue-Mimicking Gelatin Phantoms for Use with MRgFUS. J. Ther. Ultrasound 2015, 3, 9. [Google Scholar] [CrossRef] [PubMed] [Green Version]
  19. Alcântara, A.C.S.; Assis, I.; Prada, D.; Mehle, K.; Schwan, S.; Costa-Paiva, L.; Skaf, M.S.; Wrobel, L.C.; Sollero, P. Patient-Specific Bone Multiscale Modelling, Fracture Simulation and Risk Analysis—A Survey. Materials 2019, 13, 106. [Google Scholar] [CrossRef] [PubMed] [Green Version]
  20. Pastrav, L.C.; Jaecques, S.V.N.; Jonkers, I.; Van der Perre, G.; Mulier, M. In Vivo Evaluation of a Vibration Analysis Technique for the Per-Operative Monitoring of the Fixation of Hip Prostheses. J. Orthop. Surg. Res. 2009, 4, 10. [Google Scholar] [CrossRef] [PubMed] [Green Version]
  21. Leuridan, S.; Goossens, Q.; Pastrav, L.C.; Mulier, M.; Desmet, W.; Vander Sloten, J.; Denis, K. Development of an Instrument to Assess the Stability of Cementless Femoral Implants Using Vibration Analysis During Total Hip Arthroplasty. IEEE J. Transl. Eng. Health Med. 2021, 9, 1–10. [Google Scholar] [CrossRef] [PubMed]
Figure 1. Excitation and response locations on the implant neck.
Figure 1. Excitation and response locations on the implant neck.
Applsci 12 04027 g001
Figure 2. Illustration of the femur–implant structure with artificial soft tissue. The artificial soft tissue is inside the cylindrical container. The illustration shows the initial insertion step.
Figure 2. Illustration of the femur–implant structure with artificial soft tissue. The artificial soft tissue is inside the cylindrical container. The illustration shows the initial insertion step.
Applsci 12 04027 g002
Figure 3. Illustration of setup for the femur–implant structure with artificial soft tissue and measurement procedure, where the excitation hammer and accelerometer are visible.
Figure 3. Illustration of setup for the femur–implant structure with artificial soft tissue and measurement procedure, where the excitation hammer and accelerometer are visible.
Applsci 12 04027 g003
Figure 4. Comparison of FRFs corresponding to subsequent insertion steps without soft tissue in the AP direction.
Figure 4. Comparison of FRFs corresponding to subsequent insertion steps without soft tissue in the AP direction.
Applsci 12 04027 g004
Figure 5. Comparison of FRFs corresponding to subsequent insertion steps without soft tissue in the ML direction.
Figure 5. Comparison of FRFs corresponding to subsequent insertion steps without soft tissue in the ML direction.
Applsci 12 04027 g005
Figure 6. (a) PCC versus FRAC development during insertion without soft tissue in AP direction. (b) PCC versus FRAC development during insertion without soft tissue in ML direction.
Figure 6. (a) PCC versus FRAC development during insertion without soft tissue in AP direction. (b) PCC versus FRAC development during insertion without soft tissue in ML direction.
Applsci 12 04027 g006
Figure 7. Comparison of FRFs corresponding to subsequent insertion steps with soft tissue in the AP direction.
Figure 7. Comparison of FRFs corresponding to subsequent insertion steps with soft tissue in the AP direction.
Applsci 12 04027 g007
Figure 8. Comparison of FRFs corresponding to subsequent insertion steps with soft tissue in the ML direction.
Figure 8. Comparison of FRFs corresponding to subsequent insertion steps with soft tissue in the ML direction.
Applsci 12 04027 g008
Figure 9. (a) PCC versus FRAC development during insertion with soft tissue in AP direction. (b) PCC versus FRAC development during insertion with soft tissue in ML direction.
Figure 9. (a) PCC versus FRAC development during insertion with soft tissue in AP direction. (b) PCC versus FRAC development during insertion with soft tissue in ML direction.
Applsci 12 04027 g009
Figure 10. Influence of soft tissue on FRF and damping factors at most prominent peaks for the AP measurements.
Figure 10. Influence of soft tissue on FRF and damping factors at most prominent peaks for the AP measurements.
Applsci 12 04027 g010
Figure 11. Influence of soft tissue on FRF and damping factors at most prominent peaks for the ML measurements.
Figure 11. Influence of soft tissue on FRF and damping factors at most prominent peaks for the ML measurements.
Applsci 12 04027 g011
Publisher’s Note: MDPI stays neutral with regard to jurisdictional claims in published maps and institutional affiliations.

Share and Cite

MDPI and ACS Style

Athanassoulis Makris, G.; Pastrav, L.; Goossens, Q.; Timmermans, M.; Mulier, M.; Vles, G.F.; Desmet, W.; Denis, K. Influence of Artificial Soft Tissue on Intra-Operative Vibration Analysis Method for Primary Fixation Monitoring in Cementless Total Hip Arthroplasty. Appl. Sci. 2022, 12, 4027. https://doi.org/10.3390/app12084027

AMA Style

Athanassoulis Makris G, Pastrav L, Goossens Q, Timmermans M, Mulier M, Vles GF, Desmet W, Denis K. Influence of Artificial Soft Tissue on Intra-Operative Vibration Analysis Method for Primary Fixation Monitoring in Cementless Total Hip Arthroplasty. Applied Sciences. 2022; 12(8):4027. https://doi.org/10.3390/app12084027

Chicago/Turabian Style

Athanassoulis Makris, George, Leonard Pastrav, Quentin Goossens, Maikel Timmermans, Michiel Mulier, Georges Frederic Vles, Wim Desmet, and Kathleen Denis. 2022. "Influence of Artificial Soft Tissue on Intra-Operative Vibration Analysis Method for Primary Fixation Monitoring in Cementless Total Hip Arthroplasty" Applied Sciences 12, no. 8: 4027. https://doi.org/10.3390/app12084027

APA Style

Athanassoulis Makris, G., Pastrav, L., Goossens, Q., Timmermans, M., Mulier, M., Vles, G. F., Desmet, W., & Denis, K. (2022). Influence of Artificial Soft Tissue on Intra-Operative Vibration Analysis Method for Primary Fixation Monitoring in Cementless Total Hip Arthroplasty. Applied Sciences, 12(8), 4027. https://doi.org/10.3390/app12084027

Note that from the first issue of 2016, this journal uses article numbers instead of page numbers. See further details here.

Article Metrics

Back to TopTop