On Training Data Selection in Condition Monitoring Applications—Case Azimuth Thrusters
Abstract
:1. Introduction
2. Materials and Methods
2.1. Training Subset Selection
2.1.1. Dataset Segmentation
2.1.2. Applied Hypothesis Tests
2.2. Description of Data
2.2.1. Thruster and Measurements
2.2.2. Shaft Speed Values
2.2.3. Generated Feature Values
3. Results
3.1. Proportion of Acceptable Training Subsets
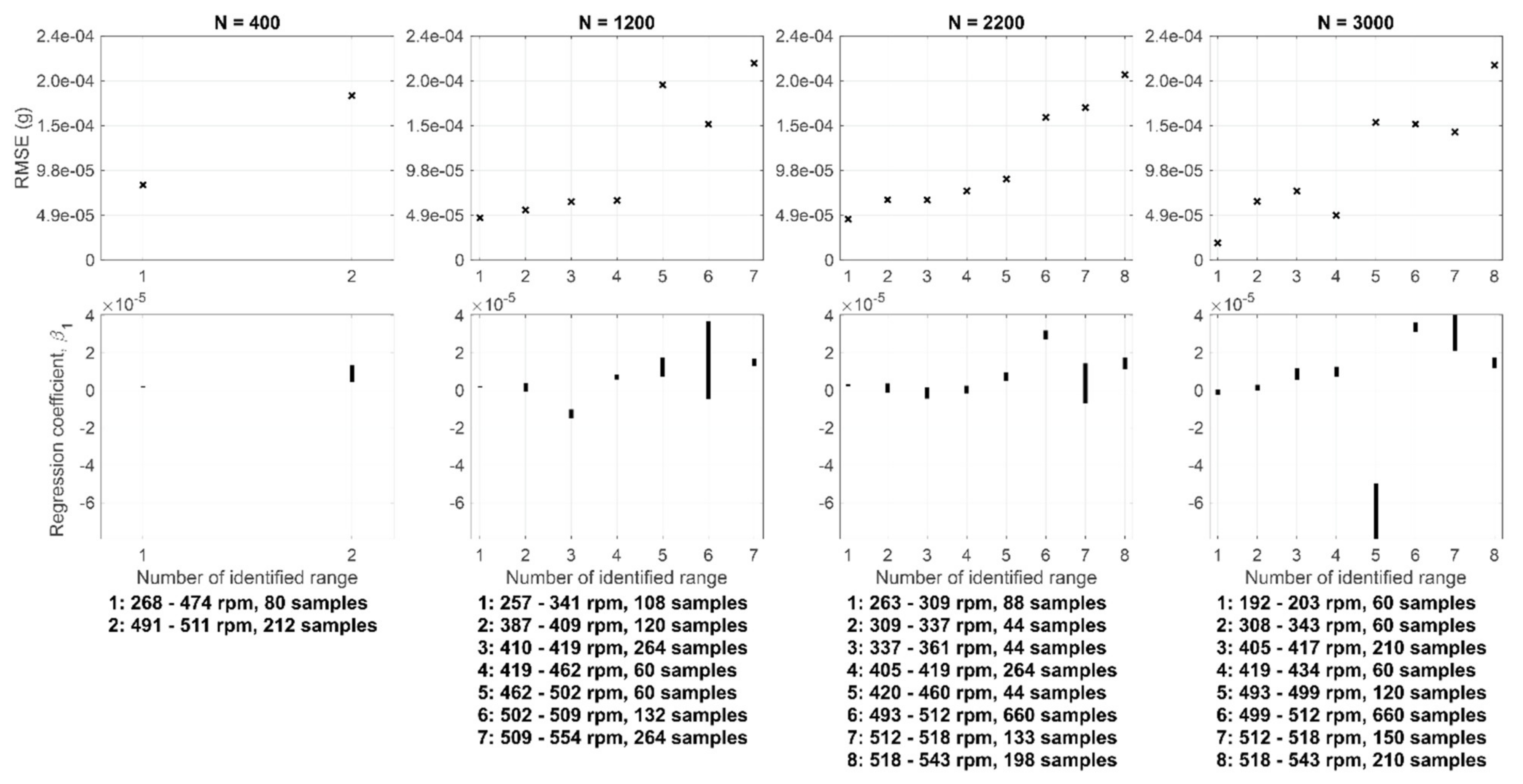
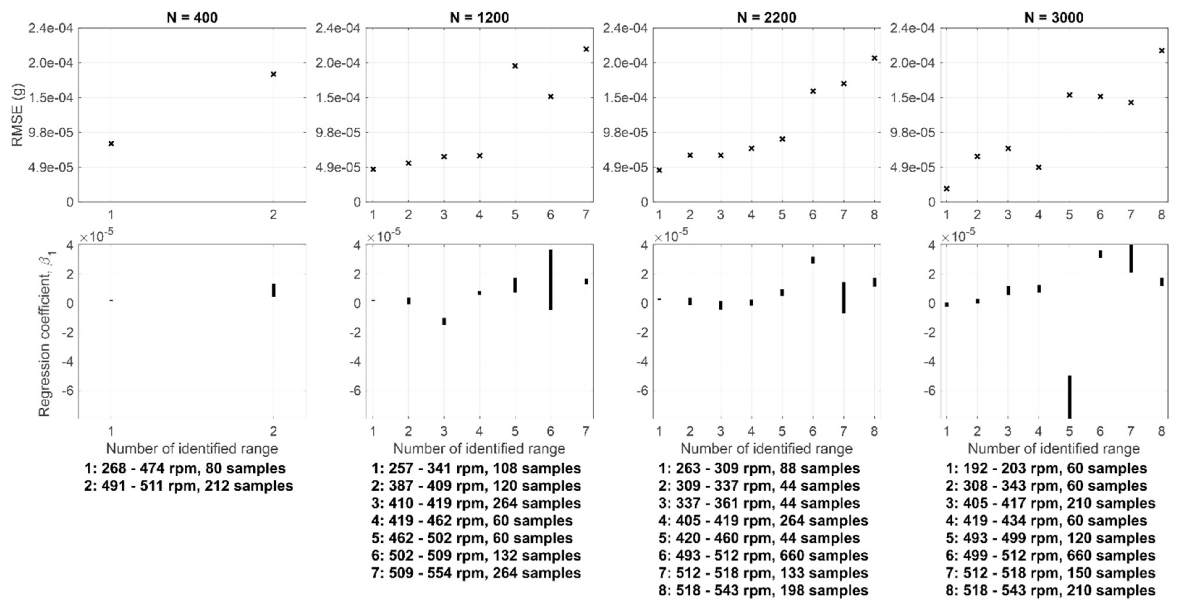
3.2. Identified Operating Areas for Monitoring
3.3. Effect of Training Data on Model Performance
3.4. Computation Time in System Identification
3.5. Comparison of Tests to Identify Normally Distributed Residuals
4. Discussion
5. Conclusions
Author Contributions
Funding
Institutional Review Board Statement
Informed Consent Statement
Data Availability Statement
Acknowledgments
Conflicts of Interest
Appendix A

Appendix B

Appendix C

References
- Sahal, R.; Breslin, J.G.; Ali, M.I. Big data and stream processing platforms for Industry 4.0 requirements mapping for a predictive maintenance use case. J. Manuf. Syst. 2020, 54, 138–151. [Google Scholar] [CrossRef]
- Marttonen-Arola, S.; Baglee, D.; Ylä-Kujala, A.; Sinkkonen, T.; Kärri, T. Modeling the wasted value of data in maintenance investments. J. Qual. Maint. Eng. 2022, 28, 213–232. [Google Scholar] [CrossRef]
- Lei, Y.; Yang, B.; Jiang, X.; Jia, F.; Li, N.; Nandi, A.K. Applications of machine learning to machine fault diagnosis: A review and roadmap. Mech. Syst. Signal Process. 2020, 138, 106587. [Google Scholar] [CrossRef]
- Wang, Z.; Liu, C. Wind turbine condition monitoring based on a novel multivariate state estimation technique. Measurement 2021, 168, 108388. [Google Scholar] [CrossRef]
- Santolamazza, A.; Dadi, D.; Introna, V. A data-mining approach for wind turbine fault detection based on SCADA data analysis using artificial neural networks. Energies 2021, 14, 1845. [Google Scholar]
- Nikula, R.-P.; Ruusunen, M.; Keski-Rahkonen, J.; Saarinen, L.; Fagerholm, F. Probabilistic condition monitoring of azimuth thrusters based on acceleration measurements. Machines 2021, 9, 39. [Google Scholar] [CrossRef]
- Piramuthu, S. Input data for decision trees. Expert Syst. Appl. 2008, 34, 1220–1226. [Google Scholar]
- Plutowski, M. Selecting Training Exemplars for Neural Network Learning. Ph.D. Thesis, University of California, San Diego, CA, USA, 1994. [Google Scholar]
- Sun, J.; Hong, G.S.; Wong, Y.S.; Rahman, M.; Wang, Z.G. Effective training data selection in tool condition monitoring system. Int. J. Mach. 2006, 46, 218–224. [Google Scholar] [CrossRef]
- García-Pedrajas, N. Evolutionary computation for training set selection. Wires. Data Min. Knowl. 2011, 1, 512–523. [Google Scholar] [CrossRef]
- LeCun, Y.; Bengio, Y.; Hinton, G. Deep learning. Nature 2015, 521, 436–444. [Google Scholar] [CrossRef]
- Kong, Z.; Tang, B.; Deng, L.; Wenyi, L.; Han, Y. Condition monitoring of wind turbines based on spatio-temporal fusion of SCADA data by convolutional neural networks and gated recurrent units. Renew. Energy 2020, 146, 760–768. [Google Scholar] [CrossRef]
- Kettaneh, N.; Berglund, A.; Wold, S. PCA and PLS with very large data sets. Comput. Stat. Data Anal. 2005, 48, 69–85. [Google Scholar] [CrossRef]
- Lv, Y.; Romero, C.; Yang, T.; Fang, F.; Liu, J. Typical condition library construction for the development of data-driven models in power plants. Appl. Therm. Eng. 2018, 143, 160–171. [Google Scholar] [CrossRef]
- Liu, R.; Yang, B.; Zio, E.; Chen, X. Artificial intelligence for fault diagnosis of rotating machinery: A review. Mech. Syst. Signal Process. 2018, 108, 33–47. [Google Scholar] [CrossRef]
- Karabadji, N.E.I.; Khelf, I.; Seridi, H.; Aridhi, S.; Remond, D.; Dhifli, W. A data sampling and attribute selection strategy for improving decision tree construction. Expert Syst. Appl. 2019, 129, 84–96. [Google Scholar] [CrossRef]
- Reeves, C.R. Training Set Selection in Neural Network Applications. In Artificial Neural Nets and Genetic Algorithms, Proceedings of the International Conference, Alès, France, 5 April 1995; Springer: Vienna, Austria, 1995; pp. 476–478. [Google Scholar]
- Dai, J.; Wang, J.; Huang, W.; Shi, J.; Zhu, Z. Machinery health monitoring based on unsupervised feature learning via generative adversarial networks. IEEE ASME Trans. Mechatron. 2020, 25, 2252–2263. [Google Scholar] [CrossRef]
- Leyva, E.; González, A.; Pérez, R. Three new instance selection methods based on local sets: A comparative study with several approaches from a bi-objective perspective. Pattern Recognit. 2015, 48, 1523–1537. [Google Scholar] [CrossRef]
- Alam, F.M.; McNaught, K.R.; Ringrose, T.J. A comparison of experimental designs in the development of a neural network simulation metamodel. Simul. Model. Pract. Theory 2004, 12, 559–578. [Google Scholar] [CrossRef]
- Niu, X.; Yang, C.; Wang, H.; Wang, Y. Investigation of ANN and SVM based on limited samples for performance and emissions prediction of a CRDI-assisted marine diesel engine. Appl. Therm. Eng. 2017, 111, 1353–1364. [Google Scholar] [CrossRef]
- Li, Y. Selecting training points for one-class support vector machines. Pattern Recognit. Lett. 2011, 32, 1517–1522. [Google Scholar] [CrossRef]
- Guo, G.; Zhang, J.-S. Reducing examples to accelerate support vector regression. Pattern Recognit. Lett. 2007, 28, 2173–2183. [Google Scholar] [CrossRef]
- Moreno-Torres, J.G.; Raeder, T.; Alaiz-Rodriguez, R.; Chawla, N.V.; Herrera, F. A unifying view on dataset shift in classification. Pattern Recognit. 2012, 45, 521–530. [Google Scholar] [CrossRef]
- Gama, J.; Žliobaite, I.; Bifet, A.; Pechenizkiy, M.; Bouchachia, A. A survey on concept drift adaptation. ACM Comput. Surv. 2014, 46, 1–37. [Google Scholar] [CrossRef]
- Zenisek, J.; Holzinger, F.; Affenzeller, M. Machine learning based concept drift detection for predictive maintenance. Comput. Ind. Eng. 2019, 137, 106031. [Google Scholar] [CrossRef]
- Kadlec, P.; Grbic, R.; Gabrys, B. Review of adaptation mechanisms for data-driven soft sensors. Comput. Chem. Eng. 2011, 35, 1–24. [Google Scholar] [CrossRef]
- Wei, D.; Han, T.; Chu, F.; Zuo, M.J. Weighted domain adaptation networks for machinery fault diagnosis. Mech. Syst. Signal Process. 2021, 158, 107744. [Google Scholar] [CrossRef]
- Massey, F.J. The Kolmogorov-Smirnov test for goodness of fit. J. Am. Stat. Assoc. 1951, 46, 68–78. [Google Scholar] [CrossRef]
- Anderson, T.W.; Darling, D.A. Asymptotic theory of certain “goodness-of-fit” criteria based on stochastic processes. Ann. Math. Stat. 1952, 23, 193–212. [Google Scholar] [CrossRef]
- Lilliefors, H.W. On the Kolmogorov-Smirnov test for normality with mean and variance unknown. J. Am. Stat. Assoc. 1967, 62, 399–402. [Google Scholar] [CrossRef]
- Jarque, C.M.; Bera, A.K. A test for normality observations and regression residuals. Int. Stat. Rev. 1987, 55, 163–172. [Google Scholar] [CrossRef]
- Shapiro, S.S.; Wilk, M.B. An analysis of variance test for normality (complete samples). Biometrika 1965, 52, 591–611. [Google Scholar] [CrossRef]
- Dufour, J.-M.; Farhat, A.; Gardiol, L.; Khalaf, L. Simulation-based finite sample normality tests in linear regressions. Econom. J. 1998, 1, C154–C173. [Google Scholar] [CrossRef] [Green Version]
- BenSaïda, A.; MATLAB Central File Exchange. Shapiro-Wilk and Shapiro-Francia Normality Tests. Available online: https://www.mathworks.com/matlabcentral/fileexchange/13964-shapiro-wilk-and-shapiro-francia-normality-tests (accessed on 22 September 2021).
- Adefisoye, J.; Golam Kibria, B.; George, F. Performances of several univariate tests of normality: An empirical study. J. Biom. Biostat. 2016, 7, 1–8. [Google Scholar]
- Saculinggan, M.; Balase, E.A. Empirical power comparison of goodness of fit tests for normality in the presence of outliers. J. Phys. Conf. Ser. 2013, 435, 012041. [Google Scholar] [CrossRef] [Green Version]
- Mishra, C.; Samantaray, A.K.; Chakraborty, G. Rolling element bearing fault diagnosis under slow speed operation using wavelet de-noising. Measurement 2017, 103, 77–86. [Google Scholar] [CrossRef]













| No. | Feature | Details |
|---|---|---|
| 1 | Generalized norm (l10) | Order of norm, p = 10 |
| 2 | Ratio of norms (l20/l2) | Ratio of high-order norm (p = 20) to low-order norm (p = 2) |
| 3 | Kurtosis | Indicator for the tails of probability distribution |
| 4 | BPFI feature | Median amplitude of 1–10 BPFI harmonics |
| 5 | BPFO feature | Median amplitude of 1–10 BPFO harmonics |
| 6 | BSF feature | Median amplitude of {1, 2, 4, 6} BSF harmonics |
| 7 | BPFI sideband feature | Median amplitude of the nearest sidebands on both sides of BPFI harmonics (20 sidebands altogether, spaced at shaft rotational frequency) |
| 8 | BSF sideband feature | Median amplitude of the nearest sidebands on both sides of BSF harmonics (8 sidebands altogether, spaced at FTF) |
| 9 | GMF feature 1 | Median amplitude of 1–4 GMF harmonics and two nearest sidebands on both sides (20 frequency components altogether) |
| 10 | GMF feature 2 | Median amplitude of 1 × GMF and two nearest sidebands on both sides (5 frequency components altogether) |
| 11 | GMF feature 3 | Median amplitude of 2 × GMF and two nearest sidebands on both sides (5 frequency components altogether) |
| Parameter | Basic Training Subsets | Adaptive Training Subsets |
|---|---|---|
| Number of subsets | 55 | ≤4851 |
| Distribution range in use (in percentiles) | 0–100 | 1–99 |
| Minimum range width (pp) | 10 | 1 |
| Minimum range width (rpm) | - | 5 |
| Minimum number of samples | 0.1 × N (rounded to integer) | 40 |
Publisher’s Note: MDPI stays neutral with regard to jurisdictional claims in published maps and institutional affiliations. |
© 2022 by the authors. Licensee MDPI, Basel, Switzerland. This article is an open access article distributed under the terms and conditions of the Creative Commons Attribution (CC BY) license (https://creativecommons.org/licenses/by/4.0/).
Share and Cite
Nikula, R.-P.; Ruusunen, M.; Böhme, S.A. On Training Data Selection in Condition Monitoring Applications—Case Azimuth Thrusters. Appl. Sci. 2022, 12, 4024. https://doi.org/10.3390/app12084024
Nikula R-P, Ruusunen M, Böhme SA. On Training Data Selection in Condition Monitoring Applications—Case Azimuth Thrusters. Applied Sciences. 2022; 12(8):4024. https://doi.org/10.3390/app12084024
Chicago/Turabian StyleNikula, Riku-Pekka, Mika Ruusunen, and Stephan André Böhme. 2022. "On Training Data Selection in Condition Monitoring Applications—Case Azimuth Thrusters" Applied Sciences 12, no. 8: 4024. https://doi.org/10.3390/app12084024
APA StyleNikula, R.-P., Ruusunen, M., & Böhme, S. A. (2022). On Training Data Selection in Condition Monitoring Applications—Case Azimuth Thrusters. Applied Sciences, 12(8), 4024. https://doi.org/10.3390/app12084024

