Prospects of Structural Similarity Index for Medical Image Analysis
Abstract
:1. Introduction
2. Historical Review and Basic Principles of SSIM
- Symmetry:
- Boundedness:
- Unique maximum: if and only if .
3. Current Improvement in SSIM
3.1. Gradient-Based SSIM
3.2. Three-Component Weighted SSIM
- Step 1: Compute the SSIM map using Equation (14). Using this SSIM map, we can call up the structure information.
- Step 2: Calculate the gradient magnitude utilizing a Sobel operator over the reference and noised images.
- Step 3: Define the threshold value and , where denotes a maximum grayscale level of gradient magnitude when computed over the original image.
- Step 4: Based on step 3, partition the images into edge, smooth, and texture regions using the following rules:If or , it is an edge region;if and , it is a smooth region; andotherwise, if the pixels belong to a texture region but are not edge pixels, it is a texture region.Here, denotes the gradient coordinate, is the original image pixel, and denotes a degraded image pixel.
3.3. Four-Component Weighted SSIM
- Step 1: Calculate the SSIM map. This SSIM map is called the structure information.
- Step 2: Compute the gradient magnitude applying the Sobel operator for the reference and distorted images.
- Step 3: Define the threshold value and , where denotes a maximum grayscale level of the gradient magnitude when computed over the original image. Here, and have an effect on the component regions under these situations, i.e., the smaller the first value, the more “edgey” the region. Furthermore, the smaller the second value, the less smooth the region is.
- Step 4: Based on step 3, the images are segmented into the changed edge, preserved edge, smooth, and texture regions using the following rules:If and , the edge region is preserved;If ( and ) or ( and ), edge region is changed; andIf and , it is a smooth region.Otherwise, the pixels belong to a texture region if they are not part of the edge pixels.Here, denotes the gradient coordinate, is original image pixel, and denotes a degraded image pixel.
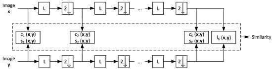
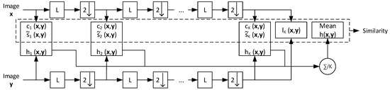
3.4. Complex-Wavelet SSIM
3.5. Improved SSIM with Sharpness Comparison
3.6. Other SSIM Types
4. SSIM in Medical Imaging
4.1. Magnetic Resonance Imaging
4.2. Computed Tomography
4.3. Ultrasonography
4.4. X-ray
4.5. Optical Imaging
4.6. Current Status of SSIM Research in Medical Imaging
4.6.1. Loss Function
4.6.2. Reducing Metal Artifact
| Algorithm 1. MAR with SSIM |
| Input: Reconstructed original CT and tilted CT images Output: Reconstructed image with the smallest SSIM
|
4.6.3. Contour Extractor
4.6.4. Image Quality Assessment
4.7. Limitation
5. Future Potential of SSIM in Medical Image Analyses and Conclusions
Author Contributions
Funding
Data Availability Statement
Conflicts of Interest
References
- Kowalik-Urbaniak, I.A.; Castelli, J.; Hemmati, N.; Koff, D.; Smolarski-Koff, N.; Vrscay, E.R.; Wang, J.; Wang, Z. Modelling of subjective radiological assessments with objective image quality measures of brain and body CT images. In Image Analysis and Recognition; Kamel, M., Campilho, A., Eds.; Springer International Publishing: Cham, Switzerland, 2015; Volume 9164, pp. 3–13. [Google Scholar] [CrossRef]
- Thung, K.-H.; Raveendran, P. A survey of image quality measures. In Proceedings of the 2009 International Conference for Technical Postgraduates (TECHPOS), Kuala Lumpur, Malaysia, 14–15 December 2009. [Google Scholar] [CrossRef]
- Khodaskar, A.; Ladhake, S. Semantic image analysis for intelligent image retrieval. Procedia Comput. Sci. 2015, 48, 192–197. [Google Scholar] [CrossRef] [Green Version]
- Yang, J.; Lin, Y.; Ou, B.; Zhao, X. Image decomposition-based structural similarity index for image quality assessment. EURASIP J. Image Video Process. 2016, 2016, 31. [Google Scholar] [CrossRef] [Green Version]
- Renieblas, G.P.; Nogués, A.T.; González, A.M.; Gómez-Leon, N.; del Castillo, E.G. Structural similarity index family for image quality assessment in radiological images. J. Med. Imaging 2017, 4, 035501. [Google Scholar] [CrossRef]
- Hore, A.; Ziou, D. Image quality metrics: PSNR vs. SSIM. In Proceedings of the 2010 20th International Conference on Pattern Recognition, Istanbul, Turkey, 23–26 August 2010. [Google Scholar] [CrossRef]
- Wang, Z.; Bovik, A.C. Mean squared error: Love it or leave it? A new look at signal fidelity measures. IEEE Signal. Process. Mag. 2009, 26, 98–117. [Google Scholar] [CrossRef]
- Lu, Y. The level weighted structural similarity loss: A step away from MSE. In Proceedings of the AAAI Conference on Artificial Intelligence, Honolulu, HI, USA, 27 January–1 February 2019; pp. 9989–9990. [Google Scholar] [CrossRef] [Green Version]
- Eskicioglu, A.M.; Fisher, P.S. Image quality measures and their performance. IEEE Trans. Commun. 1995, 43, 2959–2965. [Google Scholar] [CrossRef] [Green Version]
- Wang, Z.; Bovik, A.C.; Sheikh, H.R.; Simoncelli, E.P. Image quality assessment: From error visibility to structural similarity. IEEE Trans. Image Process. 2004, 13, 600–612. [Google Scholar] [CrossRef] [Green Version]
- Chen, L.-Y.; Pan, M.-C.; Pan, M.-C. Visualized numerical assessment for near infrared diffuse optical tomography with contrast-and-size detail analysis. Opt. Rev. 2013, 20, 19–25. [Google Scholar] [CrossRef]
- Davis, S.C.; Pogue, B.W.; Dehghani, H.; Paulsen, K.D. Contrast-detail analysis characterizing diffuse optical fluorescence tomography image reconstruction. J. Biomed. Opt. 2005, 10, 050501. [Google Scholar] [CrossRef]
- Brunet, D.; Vrscay, E.R.; Wang, Z. On the mathematical properties of the structural similarity index. IEEE Trans. Image Process. 2012, 21, 1488–1499. [Google Scholar] [CrossRef]
- Wang, Z.; Bovik, A.C. A universal image quality index. IEEE Signal. Process. Lett. 2002, 9, 81–84. [Google Scholar] [CrossRef]
- Jin, C.; Nara, A.; Yang, J.; Tsou, M. Similarity measurement on human mobility data with spatially weighted structural similarity index (SpSSIM). Trans. GIS 2020, 24, 104–122. [Google Scholar] [CrossRef]
- Chen, G.; Yang, C.; Xie, S. Gradient-based structural similarity for image quality assessment. In Proceedings of the 2006 International Conference on Image Processing, Atlanta, GA, USA, 8–11 October 2006. [Google Scholar] [CrossRef]
- Lee, D.; Lim, S. Improved structural similarity metric for the visible quality measurement of images. J. Electron. Imaging 2016, 25, 063015. [Google Scholar] [CrossRef] [Green Version]
- Li, C.; Bovik, A.C. Content-partitioned structural similarity index for image quality assessment. Signal. Process. Image Commun. 2010, 25, 517–526. [Google Scholar] [CrossRef]
- Li, C.; Bovik, A.C. Three-component weighted structural similarity index. In Proceedings of the SPIE 7242, Image Quality and System Performance VI, San Jose, CA, USA, 19 January 2009. [Google Scholar] [CrossRef] [Green Version]
- Rouse, D.M.; Hemami, S.S. Analyzing the role of visual structure in the recognition of natural image content with multi-scale SSIM. In Proceedings of the SPIE 6806, Human Vision and Electronic Imaging XIII, San Jose, CA, USA, 14 February 2008. [Google Scholar] [CrossRef]
- Sampat, M.P.; Wang, Z.; Gupta, S.; Bovik, A.C.; Markey, M.K. Complex wavelet structural similarity: A new image similarity index. IEEE Trans. Image Process. 2009, 18, 2385–2401. [Google Scholar] [CrossRef]
- Wang, Z.; Simoncelli, E.P.; Bovik, A.C. Multiscale structural similarity for image quality assessment. In Proceedings of the Thrity-Seventh Asilomar Conference on Signals, Systems & Computers, Pacific Grove, CA, USA, 9–12 November 2003. [Google Scholar] [CrossRef] [Green Version]
- Aljanabi, M.A.; Hussain, Z.M.; Shnain, N.A.A.; Lu, S.F. Design of a hybrid measure for image similarity: A statistical, algebraic, and information-theoretic approach. Eur. J. Remote Sens. 2019, 52, 2–15. [Google Scholar] [CrossRef] [Green Version]
- Jiao, Y.; He, Y.R.; Kandel, M.E.; Liu, X.; Lu, W.; Popescu, G. Computational interference microscopy enabled by deep learning. APL Photonics 2021, 6, 046103. [Google Scholar] [CrossRef]
- Kumar, B.; Kumar, S.B.; Kumar, C. Development of improved SSIM quality index for compressed medical images. In Proceedings of the 2013 IEEE Second International Conference on Image Information Processing (ICIIP-2013), Shimla, India, 9–11 December 2013. [Google Scholar] [CrossRef]
- Li, J.; Yang, L.Z.; Ding, W.J.; Zhan, M.X.; Fan, L.L.; Wang, J.F.; Shang, H.F.; Ti, G. Image reconstruction with the chaotic fiber laser in scattering media. Appl. Opt. 2021, 60, 400. [Google Scholar] [CrossRef]
- Uddin, K.M.S.; Zhu, Q. Reducing image artifact in diffuse optical tomography by iterative perturbation correction based on multiwavelength measurements. J. Biomed. Opt. 2019, 24, 1. [Google Scholar] [CrossRef]
- Zhang, L.; Zhang, G. Brief review on learning-based methods for optical tomography. J. Innov. Opt. Health Sci. 2019, 12, 1930011. [Google Scholar] [CrossRef] [Green Version]
- Li, Y.; Mou, X. Joint optimization for SSIM-based CTU-level bit allocation and rate distortion optimization. IEEE Trans. Broadcast. 2021, 67, 500–511. [Google Scholar] [CrossRef]
- Zeng, K.; Wang, Z. 3D-SSIM for video quality assessment. In Proceedings of the 2012 19th IEEE International Conference on Image Processing, Orlando, FL, USA, 30 September–3 October 2012. [Google Scholar] [CrossRef]
- Dowling, J.A.; Planitz, B.M.; Maeder, A.J.; Du, J.; Pham, B.; Boyd, C.; Chen, S.; Bradley, A.P.; Crozier, S. Visual quality assessment of watermarked medical images. In Proceedings of the SPIE 6515, Medical Imaging 2007: Image Perception, Observer Performance, and Technology Assessment, San Diego, CA, USA, 8 March 2007. [Google Scholar] [CrossRef] [Green Version]
- Wang, Z.; Lu, L.; Bovik, A.C. Video quality assessment based on structural distortion measurement. Signal. Process. Image Commun. 2004, 19, 121–132. [Google Scholar] [CrossRef] [Green Version]
- Chen, S.; Zhang, Y.; Li, Y.; Chen, Z.; Wang, Z. Spherical structural similarity index for objective omnidirectional video quality assessment. In Proceedings of the 2018 IEEE International Conference on Multimedia and Expo (ICME), San Diego, CA, USA, 23–27 July 2018. [Google Scholar] [CrossRef]
- Danilo de Miranda Regis, C.; de Pontes Oliveira, I.; Vinicius de Miranda Cardoso, J.; Sampaio de Alencar, M. Design of objective video quality metrics using spatial and temporal informations. IEEE Lat. Am. Trans. 2015, 13, 790–795. [Google Scholar] [CrossRef]
- Chikkerur, S.; Sundaram, V.; Reisslein, M.; Karam, L.J. Objective video quality assessment methods: A classification, review, and performance comparison. IEEE Trans. Broadcast. 2011, 57, 165–182. [Google Scholar] [CrossRef]
- Mason, A.; Rioux, J.; Clarke, S.E.; Costa, A.; Schmidt, M.; Keough, V.; Huynh, T.; Beyea, S. Comparison of Objective image quality metrics to expert radiologists’ scoring of diagnostic quality of MR images. IEEE Trans. Med. Imaging 2020, 39, 1064–1072. [Google Scholar] [CrossRef]
- Zhu, Z.; Wahid, K.; Babyn, P.; Yang, R. Compressed sensing-based MRI reconstruction using complex double-density dual-tree DWT. Int. J. Biomed. Imaging 2013, 2013, 10. [Google Scholar] [CrossRef] [PubMed] [Green Version]
- Jaubert, O.; Steeden, J.; Montalt-Tordera, J.; Arridge, S.; Kowalik, G.T.; Muthurangu, V. Deep artifact suppression for spiral real-time phase contrast cardiac magnetic resonance imaging in congenital heart disease. Magn. Reson. Imaging 2021, 83, 125–132. [Google Scholar] [CrossRef]
- Duan, C.; Deng, H.; Xiao, S.; Xie, J.; Li, H.; Sun, X.; Ma, L.; Lou, X.; Ye, C.; Zhou, X. Fast and accurate reconstruction of human lung gas MRI with deep learning. Magn. Reson. Med. 2019, 82, 2273–2285. [Google Scholar] [CrossRef]
- Saladi, S.; Prabha, N.A. Analysis of denoising filters on MRI brain images. Int. J. Imaging Syst. Technol. 2017, 27, 201–208. [Google Scholar] [CrossRef]
- Kuanar, S.; Athitsos, V.; Mahapatra, D.; Rao, K.R.; Akhtar, Z.; Dasgupta, D. Low dose abdominal CT image reconstruction: An unsupervised learning based approach. In Proceedings of the 2019 IEEE International Conference on Image Processing (ICIP), Taipei, Taiwan, 22–25 September 2019. [Google Scholar] [CrossRef]
- Elaiyaraja, G.; Kumaratharan, N.; Rao, T.C.S. Fast and efficient filter using wavelet threshold for removal of Gaussian noise from MRI/CT scanned medical images/color video sequence. IETE J. Res. 2019, 1–13. [Google Scholar] [CrossRef]
- Kim, W.; Byun, B.H. Contrast CT image generation model using CT image of PET/CT. In Proceedings of the 2018 IEEE Nuclear Science Symposium and Medical Imaging Conference Proceedings (NSS/MIC), Sydney, NSW, Australia, 10–17 November 2018. [Google Scholar] [CrossRef]
- Pourasad, Y.; Cavallaro, F. A novel image processing approach to enhancement and compression of X-ray images. Int. J. Environ. Res. Public. Health 2021, 18, 6724. [Google Scholar] [CrossRef]
- Dey, P.; Neumann, A.; Brueck, S. Image quality improvement for optical imaging interferometric microscopy. Opt. Express 2021, 29, 38415–38428. [Google Scholar] [CrossRef] [PubMed]
- Park, H.J.; Kim, S.M.; Yun, B.L.; Jang, M.; Kim, B.; Jang, J.Y.; Lee, J.Y.; Lee, S.H. A computer-aided diagnosis system using artificial intelligence for the diagnosis and characterization of breast masses on ultrasound: Added value for the inexperienced breast radiologist. Medicine 2019, 98, e14146. [Google Scholar] [CrossRef] [PubMed]
- Doi, K. Computer-aided diagnosis in medical imaging: Historical review, current status and future potential. Comput. Med. Imaging Graph. 2007, 31, 198–211. [Google Scholar] [CrossRef] [PubMed] [Green Version]
- Summers, S.M.; Chin, E.J.; Long, B.J.; Grisell, R.D.; Knight, J.G.; Grathwohl, K.W.; Ritter, J.L.; Morgan, J.D.; Salinas, J.; Blackbourne, L.H. Computerized Diagnostic Assistant for the Automatic Detection of Pneumothorax on Ultrasound: A Pilot Study. West. J. Emerg. Med. 2016, 17, 209–215. [Google Scholar] [CrossRef]
- Chan, H.; Hadjiiski, L.M.; Samala, R.K. Computer-aided diagnosis in the era of deep learning. Med. Phys. 2020, 47, e218–e227. [Google Scholar] [CrossRef]
- Wang, Z.; Sheikh, H.R.; Bovik, A.C. Objective video quality assessment. In The Handbook of Video Databases: Design and Applications; Furht, B., Marqure, O., Eds.; CRC Press: Boca Raton, FL, USA, 2003; pp. 1041–1078. [Google Scholar]
- Lu, L.; Wang, Z.; Bovik, A.C.; Kouloheris, J. Full-reference video quality assessment considering structural distortion and no-reference quality evaluation of MPEG video. In Proceedings of the IEEE International Conference on Multimedia and Expo, Lausanne, Switzerland, 26–29 August 2002. [Google Scholar] [CrossRef] [Green Version]
- Khan, M.H.-M.; Boodoo-Jahangeer, N.; Dullull, W.; Nathire, S.; Gao, X.; Sinha, G.R.; Nagwanshi, K.K. Multi- class classification of breast cancer abnormalities using Deep Convolutional Neural Network (CNN). PLoS ONE 2021, 16, e0256500. [Google Scholar] [CrossRef]
- Singh, V.K.; Abdel-Nasser, M.; Akram, F.; Rashwan, H.A.; Sarker, M.M.K.; Pandey, N.; Romani, S.; Puig, D. Breast tumor segmentation in ultrasound images using contextual-information-aware deep adversarial learning framework. Expert Syst. Appl. 2020, 162, 113870. [Google Scholar] [CrossRef]
- Uddin, K.M.S. Ultrasound Guided Diffuse Optical Tomography for Breast Cancer Diagnosis: Algorithm Development. Ph.D. Thesis, Washington University, St. Louis, MO, USA, 15 May 2020. [Google Scholar]
- Mostavi, M.; Chiu, Y.-C.; Huang, Y.; Chen, Y. Convolutional neural network models for cancer type prediction based on gene expression. BMC Med. Genom. 2020, 13, 44. [Google Scholar] [CrossRef]
- Shahidi, F.; Daud, S.M.; Abas, H.; Ahmad, N.A.; Maarop, N. Breast cancer classification using deep learning approaches and histopathology image: A comparison study. IEEE Access 2020, 8, 187531–187552. [Google Scholar] [CrossRef]
- Chandler, D.M. Most apparent distortion: Full-reference image quality assessment and the role of strategy. J. Electron. Imaging 2010, 19, 011006. [Google Scholar] [CrossRef] [Green Version]
- Ahmed, L.J. Discrete shearlet transform based speckle noise removal in ultrasound images. Natl. Acad. Sci. Lett. 2018, 41, 91–95. [Google Scholar] [CrossRef]
- Sagheer, S.V.M.; George, S.N. Ultrasound image despeckling using low rank matrix approximation approach. Biomed. Signal. Process. Control. 2017, 38, 236–249. [Google Scholar] [CrossRef]
- Nagaraj, Y.; Asha, C.S.; Narasimhadhan, A.V. Assessment of speckle denoising in ultrasound carotid images using least square Bayesian estimation approach. In Proceedings of the 2016 IEEE Region 10 Conference (TENCON), Singapore, 22–25 November 2016. [Google Scholar] [CrossRef]
- Xu, K.; Yang, Y.; Stone, M.; Jaumard-Hakoun, A.; Leboullenger, C.; Dreyfus, G.; Roussel, P.; Denby, B. Robust contour tracking in ultrasound tongue image sequences. Clin. Linguist. Phon. 2016, 30, 313–327. [Google Scholar] [CrossRef] [PubMed]
- Diwakar, M.; Kumar, M. Edge preservation based CT image denoising using Wiener filtering and thresholding in wavelet domain. In Proceedings of the 2016 Fourth International Conference on Parallel, Distributed and Grid Computing (PDGC), Waknaghat, India, 22–24 December 2016. [Google Scholar] [CrossRef]
- Green, M.; Marom, E.M.; Kiryati, N.; Konen, E.; Mayer, A. Efficient low-dose CT denoising by locally-consistent non-local means (LC-NLM). In Medical Image Computing and Computer-Assisted Intervention—MICCAI 2016; Ourselin, S., Joskowicz, L., Sabuncu, M.R., Unal, G., Wells, W., Eds.; Springer International Publishing: Cham, Switzerland, 2016; Volume 9902, pp. 423–431. [Google Scholar] [CrossRef]
- Sun, Y.; Zhang, L.; Li, Y.; Meng, J. A novel blind restoration and reconstruction approach for CT images based on sparse representation and hierarchical Bayesian-MAP. Algorithms 2019, 12, 174. [Google Scholar] [CrossRef] [Green Version]
- Wang, C.; Chen, Z.; Wang, Y.; Wang, Z. Denoising and 3D reconstruction of CT images in extracted tooth via wavelet and bilateral filtering. Int. J. Pattern Recognit. Artif. Intell. 2018, 32, 1854010. [Google Scholar] [CrossRef]
- Singh, P.; Mukundan, R.; Ryke, R.D. Feature enhancement in medical ultrasound videos using contrast-limited adaptive histogram equalization. J. Digit. Imaging 2020, 33, 273–285. [Google Scholar] [CrossRef]
- Martinez-Girones, P.M.; Vera-Olmos, J.; Gil-Correa, M.; Ramos, A.; Garcia-Cañamaque, L.; Izquierdo-Garcia, D.; Malpica, N.; Torrado-Carvajal, A. Franken-CT: Head and neck MR-Based Pseudo-CT synthesis using diverse anatomical overlapping MR-CT scans. Appl. Sci. 2021, 11, 3508. [Google Scholar] [CrossRef]
- Ravivarma, G.; Gavaskar, K.; Malathi, D.; Asha, K.G.; Ashok, B.; Aarthi, S. Implementation of Sobel operator based image edge detection on FPGA. Mater. Today Proc. 2021, 45, 2401–2407. [Google Scholar] [CrossRef]
- Portilla, J.; Simoncelli, E.P. A parametric texture model based on joint statistics of complex wavelet coefficients. Int. J. Comput. Vis. 2000, 40, 49–70. [Google Scholar] [CrossRef]
- Dosselmann, R.; Yang, X.D. A comprehensive assessment of the structural similarity index. Signal. Image Video Process. 2011, 5, 81–91. [Google Scholar] [CrossRef]
- Mudeng, V.; Kim, M.; Choe, S. Objective numerical evaluation of diffuse, optically reconstructed images using structural similarity index. Biosensors 2021, 11, 504. [Google Scholar] [CrossRef] [PubMed]
- Wang, Z.; Li, Q. Information content weighting for perceptual image quality assessment. IEEE Trans. Image Process. 2011, 20, 1185–1198. [Google Scholar] [CrossRef] [PubMed]
- Zhou, F.; Lu, Z.; Wang, C.; Sun, W.; Xia, S.-T.; Liao, Q. Image quality assessment based on inter-patch and intra-patch similarity. PLoS ONE 2015, 10, e0116312. [Google Scholar] [CrossRef] [PubMed] [Green Version]
- Harshalatha, Y.; Biswas, P.K. SSIM-based joint-bit allocation for 3D video coding. Multimed. Tools Appl. 2018, 77, 19051–19069. [Google Scholar] [CrossRef]
- Zhang, H.; Yuan, B.; Dong, B.; Jiang, Z. No-reference blurred image quality assessment by structural similarity index. Appl. Sci. 2018, 8, 2003. [Google Scholar] [CrossRef] [Green Version]
- Yao, J.; Liu, G. Improved SSIM IQA of contrast distortion based on the contrast sensitivity characteristics of HVS. IET Image Process. 2018, 12, 872–879. [Google Scholar] [CrossRef]
- Zhou, Y.; Yu, M.; Ma, H.; Shao, H.; Jiang, G. Weighted-to-spherically-uniform ssim objective quality evaluation for panoramic video. In Proceedings of the 2018 14th IEEE International Conference on Signal Processing (ICSP), Beijing, China, 12–16 August 2018. [Google Scholar] [CrossRef]
- Ma, K.; Duanmu, Z.; Yeganeh, H.; Wang, Z. Multi-exposure image fusion by optimizing a structural similarity index. IEEE Trans. Comput. Imaging 2018, 4, 60–72. [Google Scholar] [CrossRef]
- Wentzel, A.; Hanula, P.; Luciani, T.; Elgohari, B.; Elhalawani, H.; Canahuate, G.; Vock, D.; Fuller, C.D.; Marai, G.E. Cohort-based T-SSIM visual computing for radiation therapy prediction and exploration. IEEE Trans. Vis. Comput. Graph. 2019, 26, 949–959. [Google Scholar] [CrossRef] [Green Version]
- Gentles, S.J.; Charles, C.; Nicholas, D.B.; Ploeg, J.; McKibbon, K.A. Reviewing the research methods literature: Principles and strategies illustrated by a systematic overview of sampling in qualitative research. Syst. Rev. 2016, 5, 172. [Google Scholar] [CrossRef] [Green Version]
- Heath, M.; Bowyer, K.; Kopans, D.; Moore, R.; Kegelmeyer, W.P. The digital database for screening mammography. In Proceedings of the Fifth International Workshop on Digital Mammography, Toronto, ON, Canada, 11–14 June 2000. [Google Scholar] [CrossRef]
- Rajagopalan, S.; Robb, R. Phase-based image quality assessment. In Proceedings of the SPIE 5749, Medical Imaging 2005: Image Perception, Observer Performance, and Technology Assessment, San Diego, CA, USA, 6 April 2005. [Google Scholar] [CrossRef]
- Castellanos, J.; Rohr, K.; Tolxdorff, T.; Wagenknecht, G. De-noising MRI Data—An iterative method for filter parameter optimization. In Bildverarbeitung für die Medizin 2005; Meinzer, H.-P., Handels, H., Horsch, A., Tolxdorff, T., Eds.; Springer: Berlin/Heidelberg, Germany, 2005; pp. 40–44. [Google Scholar] [CrossRef]
- Aja-Fernández, S.; Alberola-López, C.; Westin, C.-F. Signal LMMSE estimation from multiple samples in MRI and DT-MRI. In Medical Image Computing and Computer-Assisted Intervention—MICCAI 2007; Ayache, N., Ourselin, S., Maeder, A., Eds.; Springer: Berlin/Heidelberg, Germany, 2007; Volume 4792, pp. 368–375. [Google Scholar] [CrossRef] [Green Version]
- Kumar, B.; Singh, S.P.; Mohan, A.; Singh, H.V. MOS prediction of SPIHT medical images using objective quality parameters. In Proceedings of the 2009 International Conference on Signal Processing Systems, Singapore, 15–17 May 2009. [Google Scholar] [CrossRef]
- Xiao, Z.-S.; Zheng, C.-X. Medical image fusion based on the structure similarity match measure. In Proceedings of the 2009 International Conference on Measuring Technology and Mechatronics Automation, Zhangjiajie, China, 11–12 April 2009. [Google Scholar] [CrossRef]
- Varghees, V.N.; Manikandan, M.S.; Gini, R. Adaptive MRI image denoising using total-variation and local noise estimation. In Proceedings of the IEEE International Conference on Advances in Engineering, Science and Management (ICAESM-2012), Nagapattinam, India, 30–31 March 2012. [Google Scholar]
- Srivastava, A.; Bhateja, V.; Tiwari, H.; Satapathy, S.C. Restoration algorithm for gaussian corrupted MRI using non-local averaging. In Information Systems Design and Intelligent Applications; Mandal, J.K., Satapathy, S.C., Sanyal, M.K., Sarkar, P.P., Mukhopadhyay, A., Eds.; Springer: New Delhi, India, 2015; Volume 340, pp. 831–840. [Google Scholar] [CrossRef]
- Srivastava, A.; Bhateja, V.; Tiwari, H. Modified anisotropic diffusion filtering algorithm for MRI. In Proceedings of the 2015 2nd International Conference on Computing for Sustainable Global Development (INDIACom), New Delhi, India, 11–13 March 2015. [Google Scholar]
- Chandrashekar, L.; Sreedevi, A. Assessment of non-linear filters for MRI images. In Proceedings of the 2017 Second International Conference on Electrical, Computer and Communication Technologies (ICECCT), Coimbatore, India, 22–24 February 2017. [Google Scholar] [CrossRef]
- Nirmalraj, S.; Nagarajan, G. Biomedical image compression using fuzzy transform and deterministic binary compressive sensing matrix. J. Ambient Intell. Humaniz. Comput. 2021, 12, 5733–5741. [Google Scholar] [CrossRef]
- Mostafa, A.; Hassanien, A.E.; Houseni, M.; Hefny, H. Liver segmentation in MRI images based on whale optimization algorithm. Multimed. Tools Appl. 2017, 76, 24931–24954. [Google Scholar] [CrossRef]
- Pawar, K.; Chen, Z.; Shah, N.J.; Egan, G.F. Suppressing motion artefacts in MRI using an Inception-ResNet network with motion simulation augmentation. NMR Biomed. 2019, e4225. [Google Scholar] [CrossRef] [PubMed]
- Wang, J.; Chen, Y.; Wu, Y.; Shi, J.; Gee, J. Enhanced generative adversarial network for 3D brain MRI super-resolution. In Proceedings of the 2020 IEEE Winter Conference on Applications of Computer Vision (WACV), Snowmass Village, CO, USA, 1–5 March 2020. [Google Scholar] [CrossRef]
- Krohn, S.; Froeling, M.; Leemans, A.; Ostwald, D.; Villoslada, P.; Finke, C.; Esteban, F.J. Evaluation of the 3D fractal dimension as a marker of structural brain complexity in multiple-acquisition MRI. Hum. Brain Mapp. 2019, 40, 3299–3320. [Google Scholar] [CrossRef] [PubMed] [Green Version]
- Senthilkumar, S.; Muttan, S. Effective multiresolute computation to remote sensed data fusion. In Proceedings of the International Conference on Computational Intelligence and Multimedia Applications (ICCIMA 2007), Sivakasi, India, 13–15 December 2007. [Google Scholar] [CrossRef]
- Singh, S.; Kumar, V.; Verma, H.K. Optimization of block size for DCT-based medical image compression. J. Med. Eng. Technol. 2007, 31, 129–143. [Google Scholar] [CrossRef] [PubMed]
- Mahmoud, A.; Taher, F.; Al-Ahmad, H. Two dimensional filters for enhancing the resolution of interpolated CT scan images. In Proceedings of the 2016 12th International Conference on Innovations in Information Technology (IIT), Al-Ain, United Arab Emirates, 28–30 November 2016. [Google Scholar] [CrossRef]
- Himanshi; Bhateja, V.; Krishn, A.; Sahu, A. Medical image fusion in curvelet domain employing PCA and maximum selection rule. In Proceedings of the Second International Conference on Computer and Communication Technologies; Satapathy, S.C., Raju, K.S., Mandal, J.K., Bhateja, V., Eds.; Springer: New Delhi, India, 2016; Volume 379, pp. 1–9. [Google Scholar] [CrossRef]
- Joemai, R.M.S.; Geleijns, J. Assessment of structural similarity in CT using filtered backprojection and iterative reconstruction: A phantom study with 3D printed lung vessels. Br. J. Radiol. 2017, 90, 20160519. [Google Scholar] [CrossRef]
- Kim, C.; Pua, R.; Lee, C.-H.; Choi, D.-I.; Cho, B.; Lee, S.-W.; Cho, S.; Kwak, J. An additional tilted-scan-based CT metal-artifact-reduction method for radiation therapy planning. J. Appl. Clin. Med. Phys. 2019, 20, 237–249. [Google Scholar] [CrossRef]
- Zhang, Z.; Liang, X.; Dong, X.; Xie, Y.; Cao, G. A sparse-Vvew CT reconstruction method based on combination of DenseNet and deconvolution. IEEE Trans. Med. Imaging 2018, 37, 1407–1417. [Google Scholar] [CrossRef]
- Hu, Y.; Zhang, L. Pseudo CT generation based on 3D group feature extraction and alternative regression forest for MRI-only radiotherapy. Int. J. Pattern Recognit. Artif. Intell. 2018, 32, 855009. [Google Scholar] [CrossRef]
- Urase, Y.; Nishio, M.; Ueno, Y.; Kono, A.K.; Sofue, K.; Kanda, T.; Maeda, T.; Nogami, M.; Hori, M.; Murakam, T. Simulation study of low-dose sparse-sampling CT with deep learning-based reconstruction: Usefulness for evaluation of ovarian cancer metastasis. Appl. Sci. 2020, 10, 4446. [Google Scholar] [CrossRef]
- Gajera, B.V.; Kapil, S.R.; Ziaei, D.; Mangalagiri, J.; Siegel, E.; Chapman, D. CT-scan denoising using a charbonnier loss generative adversarial network. IEEE Access 2021, 9, 84093–84109. [Google Scholar] [CrossRef]
- Gupta, S.; Kaur, L.; Chauhan, R.C.; Saxena, S.C. A versatile technique for visual enhancement of medical ultrasound images. Digit. Signal. Process. 2007, 17, 542–560. [Google Scholar] [CrossRef]
- Singh, S.; Kumar, V.; Verma, H.K. Adaptive threshold-based block classification in medical image compression for teleradiology. Comput. Biol. Med. 2007, 37, 811–819. [Google Scholar] [CrossRef] [PubMed]
- Munteanu, C.; Morales, F.C.; Ruiz-Alzola, J. Speckle reduction through interactive evolution of a general order statistics filter for clinical ultrasound imaging. IEEE Trans. Biomed. Eng. 2008, 55, 365–369. [Google Scholar] [CrossRef]
- Ai, L.; Ding, M.; Zhang, X. Adaptive non-local means method for speckle reduction in ultrasound images. In Proceedings of the SPIE 9784, Medical Imaging 2016: Image Processing, San Diego, CA, USA, 21 March 2016. [Google Scholar] [CrossRef]
- Yang, J.; Fan, J.; Ai, D.; Wang, X.; Zheng, Y.; Tang, S.; Wang, Y. Local statistics and non-local mean filter for speckle noise reduction in medical ultrasound image. Neurocomputing 2016, 195, 88–95. [Google Scholar] [CrossRef] [Green Version]
- Xu, K.; Csapó, T.G.; Roussel, P.; Denby, B. A comparative study on the contour tracking algorithms in ultrasound tongue images with automatic re-initialization. J. Acoust. Soc. Am. 2016, 139, EL154–EL160. [Google Scholar] [CrossRef] [PubMed] [Green Version]
- Javed, S.G.; Majid, A.; Lee, Y.S. Developing a bio-inspired multi-gene genetic programming based intelligent estimator to reduce speckle noise from ultrasound images. Multimed. Tools Appl. 2018, 77, 15657–15675. [Google Scholar] [CrossRef]
- Gupta, P.K.; Lal, S.; Kiran, M.S.; Husain, F. Two dimensional cuckoo search optimization algorithm based despeckling filter for the real ultrasound images. J. Ambient Intell. Humaniz. Comput. 2018. [Google Scholar] [CrossRef]
- Gupta, A.; Bhateja, V.; Srivastava, A.; Gupta, A.; Satapathy, S.C. Speckle noise suppression in ultrasound images by using an improved non-local mean filter. In Soft Computing and Signal Processing; Wang, J., Reddy, G.R.M., Prasad, V.K., Reddy, V.S., Eds.; Springer: Singapore, 2019; Volume 898, pp. 13–19. [Google Scholar] [CrossRef]
- Nadeem, M.; Hussain, A.; Munir, A. Fuzzy logic based computational model for speckle noise removal in ultrasound images. Multimed. Tools Appl. 2019, 78, 18531–18548. [Google Scholar] [CrossRef]
- Lan, Y.; Zhang, X. Real-time ultrasound image despeckling using mixed-attention mechanism based residual UNet. IEEE Access 2020, 8, 195327–195340. [Google Scholar] [CrossRef]
- Bharadwaj, S. Anisotropic diffusion technique to eliminate speckle noise in continuous-wave Doppler ultrasound spectrogram. J. Med. Eng. Technol. 2021, 45, 35–40. [Google Scholar] [CrossRef]
- Balamurugan, M.; Chung, K.; Kuppoor, V.; Mahapatra, S.; Pustavoitau, A.; Manbachi, A. USDL: Inexpensive medical imaging using deep learning techniques and ultrasound technology. In Proceedings of the 2020 Design of Medical Devices Conference, Minneapolis, MN, USA, 6–9 April 2020. [Google Scholar] [CrossRef]
- Strohm, H.; Rothlübbers, S.; Eickel, K.; Günther, M. Deep learning-based reconstruction of ultrasound images from raw channel data. Int. J. Comput. Assist. Radiol. Surg. 2020, 15, 1487–1490. [Google Scholar] [CrossRef]
- Cerciello, T.; Bifulco, P.; Cesarelli, M.; Fratini, A. A comparison of denoising methods for X-ray fluoroscopic images. Biomed. Signal. Process. Control. 2012, 7, 550–559. [Google Scholar] [CrossRef]
- Rajith, B.; Srivastava, M.; Agarwal, S. Edge preserved de-noising method for medical X-ray images using wavelet packet transformation. In Emerging Research in Computing, Information, Communication and Applications; Shetty, N.R., Prasad, N.H., Nalini, N., Eds.; Springer: New Delhi, India, 2016; pp. 449–467. [Google Scholar] [CrossRef]
- Jeon, G. Denoising in Contrast-Enhanced X-ray Images. Sens. Imaging 2016, 17, 14. [Google Scholar] [CrossRef]
- Kunhu, A.; Al-Ahmad, H.; Taher, F. Medical images protection and authentication using hybrid DWT-DCT and SHA256-MD5 hash functions. In Proceedings of the 2017 24th IEEE International Conference on Electronics, Circuits and Systems (ICECS), Batumi, Georgia, 5–8 December 2017. [Google Scholar] [CrossRef]
- Zhang, Y.; Yu, H. Convolutional neural network based metal artifact reduction in X-ray computed tomography. IEEE Trans. Med. Imaging 2018, 37, 1370–1381. [Google Scholar] [CrossRef] [PubMed]
- Sushmit, A.S.; Zaman, S.U.; Humayun, A.I.; Hasan, T.; Bhuiyan, M.I.H. X-ray image compression using convolutional recurrent neural networks. In Proceedings of the 2019 IEEE EMBS International Conference on Biomedical & Health Informatics (BHI), Chicago, IL, USA, 19–22 May 2019. [Google Scholar] [CrossRef] [Green Version]
- Islam, S.R.; Maity, S.P.; Ray, A.K.; Mandal, M. Automatic detection of pneumonia on compressed sensing images using deep learning. In Proceedings of the 2019 IEEE Canadian Conference of Electrical and Computer Engineering (CCECE), Edmonton, AB, Canada, 5–8 May 2019. [Google Scholar] [CrossRef]
- Haiderbhai, M.; Ledesma, S.; Navab, N.; Fallavollita, P. Generating X-ray images from point clouds using conditional generative adversarial networks. In Proceedings of the 2020 42nd Annual International Conference of the IEEE Engineering in Medicine & Biology Society (EMBC), Montreal, QC, Canada, 20–24 July 2020. [Google Scholar] [CrossRef]
- Roy, A.; Maity, P. A comparative analysis of various filters to denoise medical X-ray images. In Proceedings of the 2020 4th International Conference on Electronics, Materials Engineering & Nano-Technology (IEMENTech), Kolkata, India, 2–4 October 2020. [Google Scholar] [CrossRef]
- Saeed, K.; Datta, S.; Chaki, N. A granular level feature extraction approach to construct HR image for forensic biometrics using small training dataset. IEEE Access 2020, 8, 123556–123570. [Google Scholar] [CrossRef]
- Villarraga-Gómez, H.; Smith, S.T. Effect of the number of projections on dimensional measurements with X-ray computed tomography. Precis. Eng. 2020, 66, 445–456. [Google Scholar] [CrossRef]
- Aguénounon, E.; Smith, J.T.; Al-Taher, M.; Diana, M.; Intes, X.; Gioux, S. Real-time, wide-field and high-quality single snapshot imaging of optical properties with profile correction using deep learning. Biomed. Opt. Express 2020, 11, 5701. [Google Scholar] [CrossRef]
- Ren, S.; Luo, Y.; Yan, T.; Wang, L.; Chen, D.; Chen, X. Machine learning-based automatic segmentation of region of interest in dynamic optical imaging. AIP Adv. 2021, 11, 015029. [Google Scholar] [CrossRef]
- van Eijnatten, M.; Rundo, L.; Batenburg, K.J.; Lucka, F.; Beddowes, E.; Caldas, C.; Gallagher, F.A.; Sala, E.; Schönlieb, C.-B.; Woitek, R. 3D deformable registration of longitudinal abdominopelvic CT images using unsupervised deep learning. Comput. Methods Programs Biomed. 2021, 208, 106261. [Google Scholar] [CrossRef]
- Xie, H.; Zhang, T.; Song, W.; Wang, S.; Zhu, H.; Zhang, R.; Zhang, W.; Yu, Y.; Zhao, Y. Super-resolution of Pneumocystis carinii pneumonia CT via self-attention GAN. Comput. Methods Programs Biomed. 2021, 212, 106467. [Google Scholar] [CrossRef]
- Phung, V.H.; Rhee, E.J. A deep learning approach for classification of cloud image patches on small datasets. J. lnf. Commun. Converg. Eng. 2018, 16, 173–178. [Google Scholar] [CrossRef]















| Study | Year | Modality | SSIM Implementation | Compared Matrix | Results |
|---|---|---|---|---|---|
| Castellanos et al. [83] | 2005 | MRI | IQA | MAE, RMSE, SNR, and PSNR | SSIM is suitable for this task |
| Rajagopalan and Robb [82] | 2005 | MRI | IQA | Subjective measure | The subjective measure is superior |
| Dowling et al. [31] | 2007 | MRI and CT | IQA | PSNR and SVDP | SVDP is suitable for this research |
| Aja-Fernández et al. [84] | 2007 | MRI | IQA | MSE, QILV, and LN | SSIM has competitive results compared to QILV |
| Kumar et al. [85] | 2009 | MRI and CT | IQA | PSNR | SSIM is suitable for this task |
| Xiao and Zheng [86] | 2009 | MRI and CT | Images fusion | LP, GP, CP, StrP, and DWT | |
| Varghess et al. [87] | 2012 | MRI | IQA | MSE and MOS | SSIM is suitable with MOS |
| Zhu et al. [37] | 2013 | MRI | IQA | PSNR | SSIM is suitable for this task |
| Srivastava et al. [88] | 2015 | MRI | IQA | PSNR | SSIM is suitable for this task |
| Srivastava et al. [89] | 2015 | MRI | IQA | PSNR | SSIM is suitable for this task |
| Saladi and Prabha [40] | 2017 | MRI | IQA | SNR, PSNR, MSE, RMSE | SSIM is suitable for this task |
| Chandrashekar and Sreedevi [90] | 2017 | MRI | IQA | PSNR, entropy, and MSE | SSIM is suitable for this task |
| Mostafa et al. [92] | 2017 | MRI | Segmentation | SI | |
| Duan et al. [39] | 2019 | MRI | IQA | MAE | SSIM is suitable for this task |
| Pawar et al. [93] | 2019 | MRI | IQA | NRMSE | SSIM is suitable for this task |
| Krohn et al. [95] | 2019 | MRI | Clustering | - | |
| Wang et al. [94] | 2020 | MRI | IQA | PSNR and NRMSE | SSIM and NRMSE performances are decent |
| Mason et al. [36] | 2020 | MRI | IQA | MOS, VIF, FSIM, NQM, GMSD, HDRVDP, PSNR, and RMSE | VIF shows the decent results |
| Nirmalraj and Nagarajan [91] | 2020 | MRI | IQA | PSNR, MSE, and entropy | SSIM is suitable for this task |
| Jaubert et al. [38] * | 2021 | MRI | Loss function | MAE |
| Study | Year | Modality | SSIM Implementation | Compared Matrix | Results |
|---|---|---|---|---|---|
| Senthilkumar and Muttan [96] | 2007 | CT and MRI | IQA | RMSE | SSIM is suitable for this task |
| Singh et al. [97] | 2007 | CT, US, and X-ray | IQA | MSE, PSNR, PRD, and CC | SSIM has the highest score |
| Diwakar and Kumar [62] | 2016 | CT | IQA | PSNR | SSIM is suitable for this task |
| Mahmoud et al. [98] | 2016 | CT | IQA | PSNR | SSIM is suitable for this task |
| Green [63] | 2016 | CT | IQA | - | SSIM is suitable for this task |
| Himanshi et al. [99] | 2016 | CT and MRI | IQA | FF | SSIM is suitable for this task |
| Joemai and Geleijns [100] | 2017 | CT | IQA | - | SSIM is suitable for this task |
| Zhang et al. [102] | 2018 | CT | IQA | RMSE | SSIM is suitable for this task |
| Kim and Byun [43] | 2018 | CT | IQA | - | SSIM is suitable for this task |
| Hu and Zhang [103] | 2018 | CT and MRI | IQA | PSNR | SSIM is suitable for this task |
| Wang et al. [65] | 2018 | CT | IQA | PSNR | SSIM is suitable for this task |
| Kuanar et al. [41] | 2019 | CT | IQA | PSNR | SSIM is suitable for this task |
| Kim et al. [99] * | 2019 | CT | Reducing metal artifact | LI-MAR, NMAR, and RMAR | |
| Elaiyaraja et al. [42] | 2019 | CT and MRI | IQA | PNSR, IQI, and VIF | SSIM is suitable for this task |
| Sun et al. [64] | 2019 | CT | IQA | PSNR | SSIM is suitable for this task |
| Urase et al. [104] | 2020 | CT | IQA | PSNR | SSIM is suitable for this task |
| Gajera et al. [105] | 2021 | CT | IQA | PSNR | SSIM is suitable for this task |
| Martinez-Girones et al. [67] | 2021 | CT and MRI | IQA | ZNCC, MAE, and Dice coefficient for bone class | SSIM is suitable for this task |
| Study | Year | Modality | SSIM Implementation | Compared Matrix | Results |
|---|---|---|---|---|---|
| Gupta et al. [106] | 2007 | US | IQA | CoC, EPI, and QI | SSIM is suitable for this task |
| Singh et al. [107] | 2007 | US and X-ray | IQA | MSE, PSNR, CC, and PRD | SSIM is suitable for this task |
| Munteanu et al. [108] | 2008 | US | IQA | CM, CBN, and PSNR | SSIM is suitable for this task |
| Nagaraj et al. [60] | 2016 | US | IQA | SNR, PSNR, CoC, and IQI | SSIM is suitable for this task |
| Ai et al. [109] | 2016 | US | IQA | PSNR | SSIM is suitable for this task |
| Yang et al. [110] | 2016 | US | IQA | SNR, MSE, and SV | SSIM is suitable for this task |
| Xu et al. [61] * | 2016 | US | Tongue contour extractor | No similarity constraint and similarity constraint | |
| Xu et al. [111] | 2016 | US | Tongue contour extractor | NPSNR | CW-SSIM has the best performance |
| Sagheer and George [59] | 2017 | US | IQA | PSNR and EPI | SSIM is suitable for this task |
| Javed et al. [112] | 2018 | US | IQA | PSNR | SSIM is suitable for this task |
| Gupta et al. [113] | 2018 | US | IQA | PSNR, MSE, and MAE | SSIM is suitable for this task |
| Ahmed [58] | 2018 | US | IQA | MSE, SNR, and PNSR | SSIM is suitable for this task |
| Gupta et al. [114] | 2019 | US | IQA | PSNR | SSIM is suitable for this task |
| Nadeem et al. [115] | 2019 | US | IQA | SNR | SSIM is suitable for this task |
| Balamurugan et al. [118] | 2020 | US | IQA | PSNR | SSIM is suitable for this task |
| Lan and Zhang [116] | 2020 | US | IQA | PSNR, ENL, and CNR | SSIM is suitable for this task |
| Singh et al. [66] | 2020 | US | IQA | EPI and UQI | SSIM is suitable for this task |
| Singh et al. [53] | 2020 | US | Loss function | - | |
| Strohm et al. [119] | 2020 | US | Loss function | MAE | |
| Bharadwaj [117] | 2021 | US | IQA | C, SNR, PSNR, MSE, and RMSE | SSIM is suitable for this task |
| Study | Year | Modality | SSIM Implementation | Compared Matrix | Results |
|---|---|---|---|---|---|
| Cerciello et al. [120] | 2012 | X-ray | IQA | PSNR, SNR, and MSE | SSIM is suitable for this task |
| Rajith et al. [121] | 2016 | X-ray | IQA | MSE, RMSE, SNR, PSNR, recall, accuracy, precision, and error rate | SSIM is suitable for this task |
| Jeon [122] | 2016 | X-Ray | IQA | PSNR | SSIM is suitable for this task |
| Kunhu et al. [123] | 2017 | Xray and MRI | IQA | PSNR and WSNR | SSIM is suitable for this task |
| Zhang and Yu [124] | 2018 | X-ray CT | IQA | RMSE | SSIM is suitable for this task |
| Sushmit et al. [125] | 2019 | X-ray | IQA | PSNR | SSIM is suitable for this task |
| Islam et al. [126] | 2019 | X-ray | IQA | PSNR | SSIM is suitable for this task |
| Haiderbhai et al. [127] | 2020 | X-ray | IQA | RMSE and PSNR | SSIM is suitable for this task |
| Roy and Maity [128] | 2020 | X-ray | IQA | MSE, PSNR, and SNR | SSIM is suitable for this task |
| Saeed et al. [129] | 2020 | X-ray | IQA | RMSE, PSNR, and FSIM | SSIM is suitable for this task |
| Villarraga-Gómez and Smith [130] | 2020 | X-ray CT | IQA | RMSE and PSNR | SSIM is suitable for this task |
| Pourasad and Cavallaro [44] * | 2021 | X-ray | IQA | PSNR and MSE | SSIM is suitable for this task |
| Study | Year | Modality | SSIM Implementation | Compared Matrix | Results |
|---|---|---|---|---|---|
| Aguénounon et al. [131] | 2020 | Optical imaging | IQA | MAE | SSIM is suitable for this task |
| Ren et al. [132] | 2021 | Optical imaging | IQA | Dice coefficient | SSIM is suitable for this task |
Publisher’s Note: MDPI stays neutral with regard to jurisdictional claims in published maps and institutional affiliations. |
© 2022 by the authors. Licensee MDPI, Basel, Switzerland. This article is an open access article distributed under the terms and conditions of the Creative Commons Attribution (CC BY) license (https://creativecommons.org/licenses/by/4.0/).
Share and Cite
Mudeng, V.; Kim, M.; Choe, S.-w. Prospects of Structural Similarity Index for Medical Image Analysis. Appl. Sci. 2022, 12, 3754. https://doi.org/10.3390/app12083754
Mudeng V, Kim M, Choe S-w. Prospects of Structural Similarity Index for Medical Image Analysis. Applied Sciences. 2022; 12(8):3754. https://doi.org/10.3390/app12083754
Chicago/Turabian StyleMudeng, Vicky, Minseok Kim, and Se-woon Choe. 2022. "Prospects of Structural Similarity Index for Medical Image Analysis" Applied Sciences 12, no. 8: 3754. https://doi.org/10.3390/app12083754
APA StyleMudeng, V., Kim, M., & Choe, S.-w. (2022). Prospects of Structural Similarity Index for Medical Image Analysis. Applied Sciences, 12(8), 3754. https://doi.org/10.3390/app12083754

