Ultra-Broadband Bending Beam and Bottle Beam Based on Acoustic Metamaterials
Abstract
:1. Introduction
2. Materials and Methods
3. Results
3.1. Bending Beams
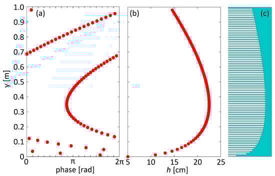
3.2. Bottle Beam and Particle Manipulations
4. Discussion
Author Contributions
Funding
Institutional Review Board Statement
Informed Consent Statement
Data Availability Statement
Acknowledgments
Conflicts of Interest
References
- Liu, Z.; Zhang, X.; Mao, Y.; Zhu, Y.Y.; Yang, Z.; Chan, C.T.; Sheng, P. Locally Resonant Sonic Materials. Science 2000, 289, 1734–1736. [Google Scholar] [CrossRef] [PubMed]
- Zhang, P.; Li, T.; Zhu, J.; Zhu, X.; Yang, S.; Wang, Y.; Yin, X.; Zhang, X. Generation of acoustic self-bending and bottle beams by phase engineering. Nat. Commun. 2014, 5, 4316. [Google Scholar] [CrossRef]
- Li, Y.; Jiang, X.; Li, R.Q.; Liang, B.; Zou, X.Y.; Yin, L.L.; Cheng, J.C. Experimental realization of full control of reflected waves with subwavelength acoustic metasurfaces. Phys. Rev. Appl. 2014, 2, 064002. [Google Scholar] [CrossRef]
- Tang, K.; Qiu, C.; Ke, M.; Lu, J.; Ye, Y.; Liu, Z. Anomalous refraction of airborne sound through ultrathin metasurfaces. Sci. Rep. 2014, 4, 6517. [Google Scholar] [CrossRef] [Green Version]
- Xie, Y.; Wang, W.; Chen, H.; Konneker, A.; Popa, B.I.; Cummer, S.A. Wavefront modulation and subwavelength diffractive acoustics with an acoustic metasurface. Nat. Commun. 2014, 5, 5553. [Google Scholar] [CrossRef] [PubMed]
- Zhu, Y.F.; Zou, X.Y.; Li, R.Q.; Jiang, X.; Tu, J.; Liang, B.; Cheng, J.C. Dispersionless manipulation of reflected acoustic wavefront by subwavelength corrugated surface. Sci. Rep. 2015, 5, 10966. [Google Scholar] [CrossRef] [PubMed] [Green Version]
- Li, Y.; Jiang, X.; Liang, B.; Cheng, J.C.; Zhang, L. Metascreen-based acoustic passive phased array. Phys. Rev. Appl. 2015, 4, 024003. [Google Scholar] [CrossRef]
- Ma, G.; Sheng, P. Acoustic metamaterials: From local resonances to broad horizons. Sci. Adv. 2016, 2, e1501595. [Google Scholar] [CrossRef] [PubMed] [Green Version]
- Cummer, S.A.; Christensen, J.; Alù, A. Controlling sound with acoustic metamaterials. Nat. Rev. Mater. 2016, 1, 1–13. [Google Scholar] [CrossRef] [Green Version]
- Zhu, X.; Li, K.; Zhang, P.; Zhu, J.; Zhang, J.; Tian, C.; Liu, S. Implementation of dispersion-free slow acoustic wave propagation and phase engineering with helical-structured metamaterials. Nat. Commun. 2016, 7, 11731. [Google Scholar] [CrossRef] [PubMed]
- Fan, X.D.; Zhu, Y.F.; Liang, B.; Yang, J.; Cheng, J.C. Broadband convergence of acoustic energy with binary reflected phases on planar surface. Appl. Phys. Lett. 2016, 109, 243501. [Google Scholar] [CrossRef]
- Zhu, Y.; Fan, X.; Liang, B.; Cheng, J.; Jing, Y. Ultrathin acoustic metasurface-based Schroeder diffuser. Phys. Rev. X 2017, 7, 021034. [Google Scholar] [CrossRef]
- Assouar, B.; Liang, B.; Wu, Y.; Li, Y.; Cheng, J.C.; Jing, Y. Acoustic metasurfaces. Nat. Rev. Mater. 2018, 3, 460–472. [Google Scholar] [CrossRef] [Green Version]
- Fan, X.D.; Liang, B.; Yang, J.; Cheng, J.C. Illusion for airborne sound source by a closed layer with subwavelength thickness. Sci. Rep. 2019, 9, 1750. [Google Scholar] [CrossRef]
- Fan, X.D.; Zhang, L. Acoustic orbital angular momentum Hall effect and realization using a metasurface. Phys. Rev. Res. 2021, 3, 013251. [Google Scholar] [CrossRef]
- Chen, Z.; Peng, Y.; Li, H.; Liu, J.; Ding, Y.; Liang, B.; Zhu, X.F.; Lu, Y.; Cheng, J.; Alù, A. Efficient nonreciprocal mode transitions in spatiotemporally modulated acoustic metamaterials. Sci. Adv. 2021, 7, eabj1198. [Google Scholar] [CrossRef]
- Li, J.; Wen, X.; Sheng, P. Acoustic metamaterials. J. Appl. Phys. 2021, 129, 171103. [Google Scholar] [CrossRef]
- Zhang, C.; Cao, W.K.; Wu, L.T.; Ke, J.C.; Jing, Y.; Cui, T.J.; Cheng, Q. A reconfigurable active acoustic metalens. Appl. Phys. Lett. 2021, 118, 133502. [Google Scholar] [CrossRef]
- Gu, Z.; Fang, X.; Liu, T.; Gao, H.; Liang, S.; Li, Y.; Liang, B.; Cheng, J.; Zhu, J. Tunable asymmetric acoustic transmission via binary metasurface and zero-index metamaterials. Appl. Phys. Lett. 2021, 118, 113501. [Google Scholar] [CrossRef]
- Fakheri, M.H.; Rajabalipanah, H.; Abdolali, A. Spatiotemporal Binary Acoustic Metasurfaces. Phys. Rev. Appl. 2021, 16, 024062. [Google Scholar] [CrossRef]
- Cao, W.K.; Zhang, C.; Wu, L.T.; Guo, K.Q.; Ke, J.C.; Cui, T.J.; Cheng, Q. Tunable acoustic metasurface for three-dimensional wave manipulations. Phys. Rev. Appl. 2021, 15, 024026. [Google Scholar] [CrossRef]
- Zhu, Y.; Merkel, A.; Donda, K.; Fan, S.; Cao, L.; Assouar, B. Nonlocal acoustic metasurface for ultrabroadband sound absorption. Phys. Rev. B 2021, 103, 064102. [Google Scholar] [CrossRef]
- Ji, J.; Li, D.; Li, Y.; Jing, Y. Low-frequency broadband acoustic metasurface absorbing panels. Front. Mech. Eng. 2020, 6, 94. [Google Scholar] [CrossRef]
- Shen, C.; Xie, Y.; Sui, N.; Wang, W.; Cummer, S.A.; Jing, Y. Broadband acoustic hyperbolic metamaterial. Phys. Rev. Lett. 2015, 115, 254301. [Google Scholar] [CrossRef] [PubMed] [Green Version]
- Shen, C.; Xie, Y.; Li, J.; Cummer, S.A.; Jing, Y. Asymmetric acoustic transmission through near-zero-index and gradient-index metasurfaces. Appl. Phys. Lett. 2016, 108, 223502. [Google Scholar] [CrossRef]
- Gao, H.; Xue, H.; Gu, Z.; Liu, T.; Zhu, J.; Zhang, B. Non-Hermitian route to higher-order topology in an acoustic crystal. Nat. Commun. 2021, 12, 1888. [Google Scholar] [CrossRef]
- Gu, Z.; Gao, H.; Cao, P.C.; Liu, T.; Zhu, X.F.; Zhu, J. Controlling sound in non-hermitian acoustic systems. Phys. Rev. Appl. 2021, 16, 057001. [Google Scholar] [CrossRef]
- Zheng, Y.; Liang, S.; Fan, H.; An, S.; Gu, Z.; Gao, H.; Liu, T.; Zhu, J. Acoustic Luneburg lens based on a gradient metasurface for spoof surface acoustic waves. JASA Express Lett. 2022, 2, 024004. [Google Scholar] [CrossRef]
- Li, Y.; Liang, B.; Gu, Z.M.; Zou, X.Y.; Cheng, J.C. Reflected wavefront manipulation based on ultrathin planar acoustic metasurfaces. Sci. Rep. 2013, 3, 2546. [Google Scholar] [CrossRef] [Green Version]
- Zhao, J.; Li, B.; Chen, Z.; Qiu, C.W. Manipulating acoustic wavefront by inhomogeneous impedance and steerable extraordinary reflection. Sci. Rep. 2013, 3, 2537. [Google Scholar] [CrossRef]
- Zhang, J.; Su, X.; Liu, Y.; Zhao, Y.; Jing, Y.; Hu, N. Metasurface constituted by thin composite beams to steer flexural waves in thin plates. Int. J. Solids Struct. 2019, 162, 14–20. [Google Scholar] [CrossRef]
- Li, Y.; Shen, C.; Xie, Y.; Li, J.; Wang, W.; Cummer, S.A.; Jing, Y. Tunable asymmetric transmission via lossy acoustic metasurfaces. Phys. Rev. Lett. 2017, 119, 035501. [Google Scholar] [CrossRef] [PubMed] [Green Version]
- Zhang, S.; Xia, C.; Fang, N. Broadband acoustic cloak for ultrasound waves. Phys. Rev. Lett. 2011, 106, 024301. [Google Scholar] [CrossRef] [PubMed]
- Zhu, X.; Liang, B.; Kan, W.; Zou, X.; Cheng, J. Acoustic cloaking by a superlens with single-negative materials. Phys. Rev. Lett. 2011, 106, 014301. [Google Scholar] [CrossRef] [PubMed]
- Jiang, X.; Liang, B.; Zou, X.Y.; Yin, L.L.; Cheng, J.C. Broadband field rotator based on acoustic metamaterials. Appl. Phys. Lett. 2014, 104, 083510. [Google Scholar] [CrossRef]
- Kan, W.; Liang, B.; Li, R.; Jiang, X.; Zou, X.Y.; Yin, L.L.; Cheng, J. Three-dimensional broadband acoustic illusion cloak for sound-hard boundaries of curved geometry. Sci. Rep. 2016, 6, 36936. [Google Scholar] [CrossRef] [PubMed] [Green Version]
- Gao, H.; Zhu, Y.F.; Fan, X.D.; Liang, B.; Yang, J.; Cheng, J.C. Non-blind acoustic invisibility by dual layers of homogeneous single-negative media. Sci. Rep. 2017, 7, 42533. [Google Scholar] [CrossRef] [Green Version]
- Jin, Y.; Fang, X.; Li, Y.; Torrent, D. Engineered diffraction gratings for acoustic cloaking. Phys. Rev. Appl. 2019, 11, 011004. [Google Scholar] [CrossRef] [Green Version]
- Zhu, Y.; Hu, J.; Fan, X.; Yang, J.; Liang, B.; Zhu, X.; Cheng, J. Fine manipulation of sound via lossy metamaterials with independent and arbitrary reflection amplitude and phase. Nat. Commun. 2018, 9, 1632. [Google Scholar] [CrossRef] [PubMed] [Green Version]
- Melde, K.; Mark, A.G.; Qiu, T.; Fischer, P. Holograms for acoustics. Nature 2016, 537, 518–522. [Google Scholar] [CrossRef]
- Jiang, X.; Li, Y.; Liang, B.; Cheng, J.C.; Zhang, L. Convert acoustic resonances to orbital angular momentum. Phys. Rev. Lett. 2016, 117, 034301. [Google Scholar] [CrossRef]
- Torrent, D. Acoustic anomalous reflectors based on diffraction grating engineering. Phys. Rev. B 2018, 98, 060101. [Google Scholar] [CrossRef] [Green Version]
- Packo, P.; Norris, A.N.; Torrent, D. Inverse grating problem: Efficient design of anomalous flexural wave reflectors and refractors. Phys. Rev. Appl. 2019, 11, 014023. [Google Scholar] [CrossRef] [Green Version]
- Fu, Y.; Cao, Y.; Xu, Y. Multifunctional reflection in acoustic metagratings with simplified design. Appl. Phys. Lett. 2019, 114, 053502. [Google Scholar] [CrossRef]
- Fu, Y.; Shen, C.; Cao, Y.; Gao, L.; Chen, H.; Chan, C.T.; Cummer, S.A.; Xu, Y. Reversal of transmission and reflection based on acoustic metagratings with integer parity design. Nat. Commun. 2019, 10, 2326. [Google Scholar] [CrossRef]
- Hou, Z.; Fang, X.; Li, Y.; Assouar, B. Highly efficient acoustic metagrating with strongly coupled surface grooves. Phys. Rev. Appl. 2019, 12, 034021. [Google Scholar] [CrossRef] [Green Version]
- Chiang, Y.K.; Oberst, S.; Melnikov, A.; Quan, L.; Marburg, S.; Alù, A.; Powell, D.A. Reconfigurable acoustic metagrating for high-efficiency anomalous reflection. Phys. Rev. Appl. 2020, 13, 064067. [Google Scholar] [CrossRef]
- Fang, X.; Gerard, N.J.; Zhou, Z.; Ding, H.; Wang, N.; Jia, B.; Deng, Y.; Wang, X.; Jing, Y.; Li, Y. Observation of higher-order exceptional points in a non-local acoustic metagrating. Commun. Phys. 2021, 4, 271. [Google Scholar] [CrossRef]
- Packo, P.; Norris, A.N.; Torrent, D. Metaclusters for the full control of mechanical waves. Phys. Rev. Appl. 2021, 15, 014051. [Google Scholar] [CrossRef]
- Bacigalupo, A.; Gnecco, G.; Lepidi, M.; Gambarotta, L. Machine-learning techniques for the optimal design of acoustic metamaterials. J. Optim. Theory Appl. 2020, 187, 630–653. [Google Scholar] [CrossRef] [Green Version]
- Zheng, B.; Yang, J.; Liang, B.; Cheng, J.C. Inverse design of acoustic metamaterials based on machine learning using a Gauss–Bayesian model. J. Appl. Phys. 2020, 128, 134902. [Google Scholar] [CrossRef]
- Wu, R.T.; Liu, T.W.; Jahanshahi, M.R.; Semperlotti, F. Design of one-dimensional acoustic metamaterials using machine learning and cell concatenation. Struct. Multidiscip. Optim. 2021, 63, 2399–2423. [Google Scholar] [CrossRef]
- Gurbuz, C.; Kronowetter, F.; Dietz, C.; Eser, M.; Schmid, J.; Marburg, S. Generative adversarial networks for the design of acoustic metamaterials. J. Acoust. Soc. Am. 2021, 149, 1162–1174. [Google Scholar] [CrossRef] [PubMed]
- Ding, H.; Fang, X.; Jia, B.; Wang, N.; Cheng, Q.; Li, Y. Deep learning enables accurate sound redistribution via nonlocal metasurfaces. Phys. Rev. Appl. 2021, 16, 064035. [Google Scholar] [CrossRef]
- Donda, K.; Zhu, Y.; Merkel, A.; Fan, S.W.; Cao, L.; Wan, S.; Assouar, B. Ultrathin acoustic absorbing metasurface based on deep learning approach. Smart Mater. Struct. 2021, 30, 085003. [Google Scholar] [CrossRef]
- Ahmed, W.W.; Farhat, M.; Zhang, X.; Wu, Y. Deterministic and probabilistic deep learning models for inverse design of broadband acoustic cloak. Phys. Rev. Res. 2021, 3, 013142. [Google Scholar] [CrossRef]
- Wu, R.T.; Jokar, M.; Jahanshahi, M.R.; Semperlotti, F. A physics-constrained deep learning based approach for acoustic inverse scattering problems. Mech. Syst. Signal Process. 2022, 164, 108190. [Google Scholar] [CrossRef]
- Gor’kov, L.P. On the forces acting on a small particle in an acoustical field in an ideal fluid. Sov. Phys. Dokl. 1962, 6, 773–775. [Google Scholar]
- Fan, X.D.; Zhang, L.K. Trapping Force of Acoustical Bessel Beams on a Sphere and Stable Tractor Beams. Phys. Rev. Appl. 2019, 11, 014055. [Google Scholar] [CrossRef]
- Fan, X.D.; Zhang, L. Phase shift approach for engineering desired radiation force: Acoustic pulling force example. J. Acoust. Soc. Am. 2021, 150, 102–110. [Google Scholar] [CrossRef]





Publisher’s Note: MDPI stays neutral with regard to jurisdictional claims in published maps and institutional affiliations. |
© 2022 by the authors. Licensee MDPI, Basel, Switzerland. This article is an open access article distributed under the terms and conditions of the Creative Commons Attribution (CC BY) license (https://creativecommons.org/licenses/by/4.0/).
Share and Cite
Fan, X.; Huang, X.; Kang, Y.; Li, C.; Li, N.; Weng, C. Ultra-Broadband Bending Beam and Bottle Beam Based on Acoustic Metamaterials. Appl. Sci. 2022, 12, 3025. https://doi.org/10.3390/app12063025
Fan X, Huang X, Kang Y, Li C, Li N, Weng C. Ultra-Broadband Bending Beam and Bottle Beam Based on Acoustic Metamaterials. Applied Sciences. 2022; 12(6):3025. https://doi.org/10.3390/app12063025
Chicago/Turabian StyleFan, Xudong, Xiaolong Huang, Yang Kang, Can Li, Ning Li, and Chunsheng Weng. 2022. "Ultra-Broadband Bending Beam and Bottle Beam Based on Acoustic Metamaterials" Applied Sciences 12, no. 6: 3025. https://doi.org/10.3390/app12063025
APA StyleFan, X., Huang, X., Kang, Y., Li, C., Li, N., & Weng, C. (2022). Ultra-Broadband Bending Beam and Bottle Beam Based on Acoustic Metamaterials. Applied Sciences, 12(6), 3025. https://doi.org/10.3390/app12063025

