Theoretical Study of the Efficient Ion Acceleration Driven by Petawatt-Class Lasers via Stable Radiation Pressure Acceleration
Abstract
1. Introduction
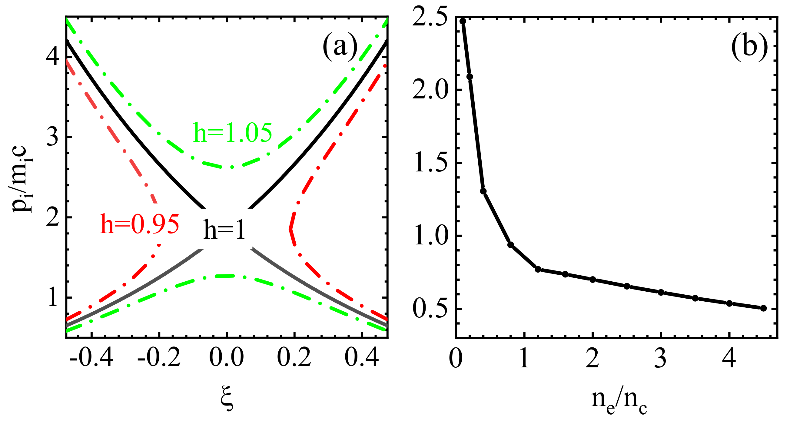
2. Theory and Analysis
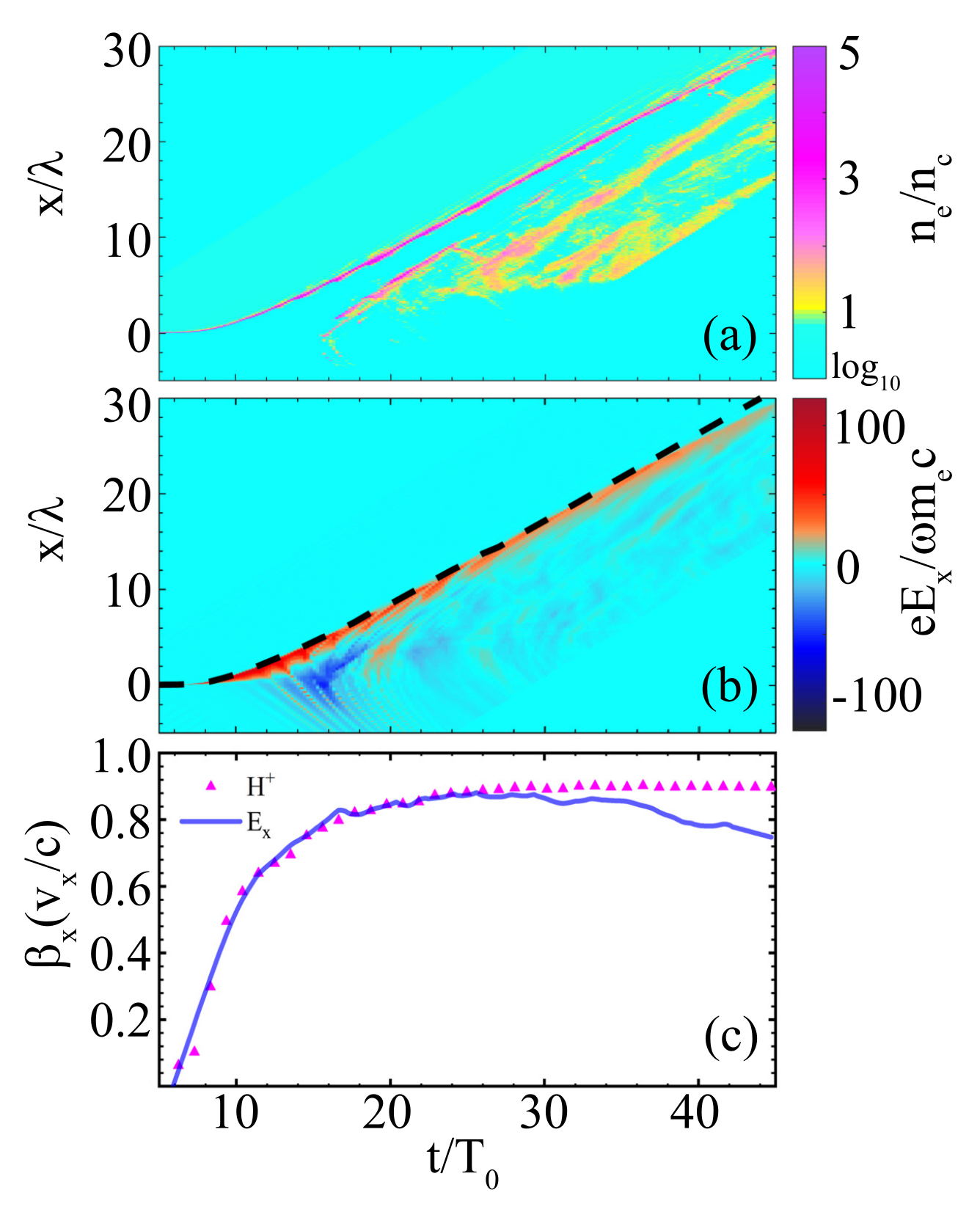
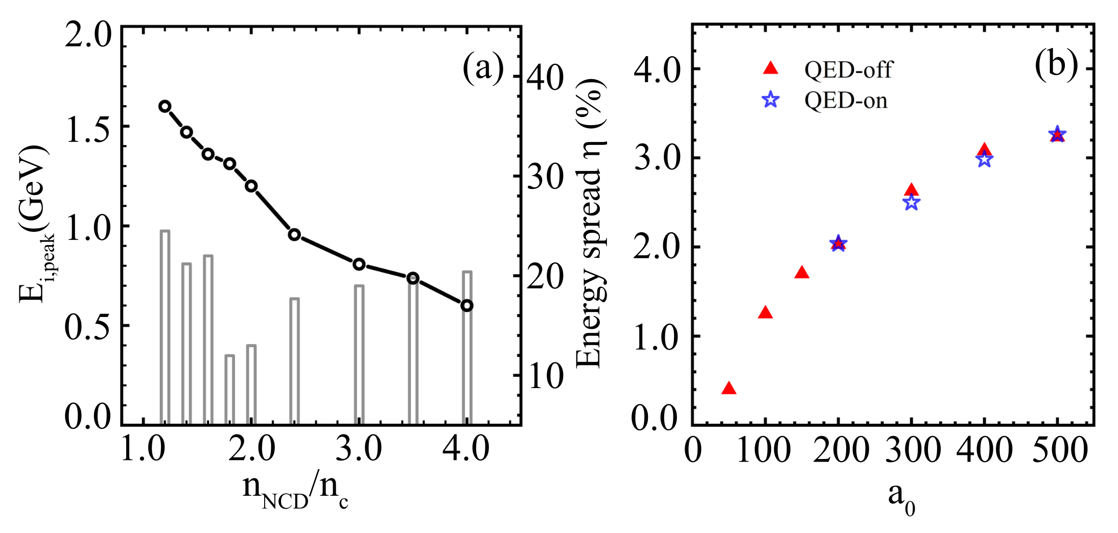
3. Particle-In-Cell Simulation Results
4. Conclusions
Author Contributions
Funding
Institutional Review Board Statement
Informed Consent Statement
Data Availability Statement
Acknowledgments
Conflicts of Interest
References
- Snavely, R.A.; Key, M.H.; Hatchett, S.P.; Cowan, T.E.; Roth, M.; Phillips, T.W.; Stoyer, M.A.; Henry, E.A.; Sangster, T.C.; Singh, M.S.; et al. Intense high-energy proton beams from petawatt-laser irradiation of solids. Phys. Rev. Letts. 2000, 85, 2945. [Google Scholar] [CrossRef] [PubMed]
- Esarey, E.; Schroeder, C.B.; Leemans, W.P. Physics of laser-driven plasma-based electron accelerators. Rev. Mod. Phys. 2009, 81, 1229. [Google Scholar] [CrossRef]
- Daido, H.; Nishiuchi, M.; Pirozhkov, A.S. Review of laser-driven ion sources and their applications. Rep. Prog. Phys. 2012, 75, 056401. [Google Scholar] [CrossRef] [PubMed]
- Macchi, A.; Borghesi, M.; Passoni, M. Ion acceleration by superintense laser-plasma interaction. Rev. Mod. Phys. 2013, 85, 751. [Google Scholar] [CrossRef]
- Fuchs, J.; Antici, P.; d’Humiéres, E.; Lefebvre, E.; Borghesi, M.; Brambrink, E.; Cecchetti, C.A.; Kaluza, M.; Malka, V.; Manclossi, M.; et al. Laser-driven proton scaling laws and new paths towards energy increase. Nat. Phys. 2005, 2, 48–54. [Google Scholar] [CrossRef]
- Bulanov, S.V.; Esirkepov, T.Z.; Khoroshkov, V.S.; Kuznetsov, A.V.; Pegoraro, F. Oncological hadrontherapy with laser ion accelerators. Phys. Lett. A 2002, 299, 240. [Google Scholar] [CrossRef]
- Roth, M.; Cowan, T.E.; Key, M.H.; Hatchett, S.P.; Brown, C.; Fountain, W.; Johnson, J.; Pennington, D.M.; Snavely, R.A.; Wilks, S.C.; et al. Fast ignition by intense laser-accelerated proton beams. Phys. Rev. Letts. 2001, 86, 436. [Google Scholar] [CrossRef]
- Kitagawa, Y.; Mori, Y.; Komeda, O.; Ishii, K.; Hanayama, R.; Fujita, K.; Okihara, S. Direct heating of a laser-imploded core by ultraintense laser-driven ions. Phys. Rev. Letts. 2015, 114, 195002. [Google Scholar] [CrossRef]
- Beg, F.N.; Krushelnick, K.; Gower, C.; Torn, S.; Dangor, A.E. Table-top neutron source for characterization and calibration of dark matter detectors. Appl. Phys. Lett. 2002, 80, 3009. [Google Scholar] [CrossRef]
- Ledingham, K.W.D.; Bolton, P.R.; Shikazono, N.; Ma, C.M.C. Towards laser driven hadron cancer radiotherapy: A review of progress. Appl. Sci. 2014, 4, 402–443. [Google Scholar] [CrossRef]
- Wagner, F.; Deppert, O.; Brabetz, C.; Fiala, P.; Kleinschmidt, A.; Poth, P.; Schanz, V.A.; Tebartz, A.; Zielbauer, B.; Roth, M.; et al. Maximum Proton Energy above 85 MeV from the Relativistic Interaction of Laser Pulses with Micrometer Thick CH2 Targets. Phys. Rev. Letts. 2016, 116, 205002. [Google Scholar] [CrossRef] [PubMed]
- Kim, I.J.; Pae, K.H.; Choi, I.I.W.; Lee, C.L.; Kim, H.T.; Singhal, H.; Sung, J.H.; Lee, S.K.; Lee, H.W.; Nickles, P.V.; et al. Radiation pressure acceleration of protons to 93 MeV with circularly polarized petawatt laser pulses. Phys. Plasmas 2016, 23, 070701. [Google Scholar] [CrossRef]
- Ma, W.J.; Kim, I.J.; Yu, J.Q.; Choi, I.W.; Singh, P.K.; Lee, H.W.; Sung, J.H.; Lee, S.K.; Lin, C.; Liao, Q.; et al. Laser acceleration of highly energetic carbon ions using a double-layer target composed of slightly underdense plasma and ultrathin foil. Phys. Rev. Letts. 2019, 122, 014803. [Google Scholar] [CrossRef] [PubMed]
- Dover, N.P.; Nishiuchi, M.; Sakaki, H.; Kondo, K.; Alkhimova, M.A.; Faenov, A.Y.; Hata, M.; Iwata, N.; Kiriyama, H.; Koga, J.K.; et al. Effect of small focus on electron heating and proton acceleration in ultrarelativistic laser-solid interactions. Phys. Rev. Lett. 2020, 124, 084802. [Google Scholar] [CrossRef]
- Higginson, A.; Gray, R.J.; King, M.; Dance, R.J.; Williamson, S.D.R.; Butler, N.M.H.; Wilson, R.; Capdessus, R.; Armstrong, C.; Green, J.S.; et al. Near-100 MeV protons via a laser-driven transparency-enhanced hybrid acceleration scheme. Nat. Commun. 2018, 9, 724. [Google Scholar] [CrossRef]
- Haberberger, D.; Tochitsky, S.; Fiuza, F.; Gong, C.; Fonseca, R.A.; Silva, L.O.; Mori, W.B.; Joshi, C. Collisionless shocks in laser-produced plasma generate monoenergetic high-energy proton beams. Nat. Phys. 2012, 8, 95–99. [Google Scholar] [CrossRef]
- Liu, M.; Weng, S.M.; Li, Y.T.; Yuan, D.W.; Chen, M.; Mulser, P.; Sheng, Z.M.; Murakami, M.; Yu, L.L.; Zheng, X.L.; et al. Collisionless electrostatic shock formation and ion acceleration in intense laser interactions with near critical density plasmas. Phys. Plasmas 2016, 23, 113103. [Google Scholar] [CrossRef]
- Chen, M.; Sheng, Z.M.; Dong, Q.L.; He, M.Q.; Li, Y.T.; Bari, M.A.; Zhang, J. Collisionless electrostatic shock generation and ion acceleration by ultraintense laser pulses in overdense plasmas. Phys. Plasmas 2007, 14, 053102. [Google Scholar] [CrossRef]
- Chen, M.; Sheng, Z.M.; Dong, Q.L.; He, M.Q.; Weng, S.M.; Li, Y.T.; Zhang, J. Ion acceleration by colliding electrostatic shock waves in laser-solid interaction. Phys. Plasmas 2007, 14, 113106. [Google Scholar] [CrossRef]
- Ji, L.L.; Shen, B.F.; Zhang, X.M.; Wang, F.C.; Jin, Z.Y.; Li, X.M.; Wen, M.; Cary, J.R. Generation monoenergetic heavy-ion bunches with laser-induced electrostatic shocks. Phys. Rev. Lett. 2008, 101, 164802. [Google Scholar] [CrossRef]
- Yan, X.Q.; Lin, C.; Sheng, Z.M.; Guo, Z.Y.; Liu, B.C.; Lu, Y.R.; Fang, J.X.; Chen, J.E. Generating High-Current Monoenergetic Proton Beams by a CircularlyPolarized Laser Pulse in the Phase-Stable Acceleration Regime. Phys. Rev. Lett. 2008, 100, 135003. [Google Scholar] [CrossRef] [PubMed]
- Qiao, B.; Zepf, M.; Borghesi, M.; Geissler, M. Stable GeV Ion-Beam Acceleration from Thin Foils by Circularly Polarized Laser Pulses. Phys. Rev. Lett. 2009, 102, 145002. [Google Scholar] [CrossRef] [PubMed]
- Chen, M.; pukhov, A.; Yu, T.P. Enhanced collimated GeV monoenergetic ion acceleration from a shaped foil target irradiated by a circularly polarized laser pulse. Phys. Rev. Lett. 2009, 103, 024801. [Google Scholar] [CrossRef] [PubMed]
- Yu, T.P.; Pukhov, A.; Shvets, G.; Chen, M. Stable laser-driven proton beam acceleration from a two-ion-species ultrathin foil. Phys. Rev. Lett. 2010, 105, 065002. [Google Scholar] [CrossRef] [PubMed]
- Wang, W.P.; Shen, B.F.; Xu, Z.Z. Accelerating gradient improvement from hole-boring to light-sail stage using shape-tailored laser front. Phys. Plasmas 2017, 24, 013104. [Google Scholar] [CrossRef]
- Liu, M.; Weng, S.M.; Wang, H.C.; Chen, M.; Zhao, Q.; Sheng, Z.M.; He, M.Q.; Li, Y.T.; Zhang, J. Efficient injection of radiation-pressure-accelerated sub-relativistic protons into laser wakefield acceleration based on 10 PW lasers. Phys. Plasmas 2018, 25, 063103. [Google Scholar] [CrossRef]
- Qiao, B.; Zepf, M.; Borghesi, M.; Dromey, B.; Geissler, M.; Karmakar, A.; Gibbon, P. Radiation-Pressure Acceleration of Ion Beams from Nanofoil Targets: The Leaky Light-Sail Regime. Phys. Rev. Lett. 2010, 105, 155002. [Google Scholar] [CrossRef]
- Yu, T.P.; Ma, Y.Y.; Chen, M.; Shao, F.Q.; Yu, M.Y.; Gu, Y.Q.; Yin, Y. Quasimonoenergetic proton beam from ultraintense-laser irradiation of a target with holed backside. Phys. Plasmas 2009, 16, 033112. [Google Scholar] [CrossRef]
- Pegoraro, F.; Bulanov, S.V. Photon Bubbles and Ion Acceleration in a Plasma Dominated by the Radiation Pressure of an Electromagnetic Pulse. Phys. Rev. Lett. 2007, 99, 065002. [Google Scholar] [CrossRef]
- Palmer, C.A.J.; Schreiber, J.; Nagel, S.R.; Dover, N.P.; Bellei, C.; Beg, F.N.; Bott, S.; Clarke, R.J.; Dangor, A.E.; Hassan, S.M.; et al. Rayleigh-Taylor Instability of an Ultrathin Foil Accelerated by the Radiation Pressure of an Intense Laser. Phys. Rev. Lett. 2012, 108, 225002. [Google Scholar] [CrossRef]
- Wan, Y.; Andriyash, I.A.; Lu, W.; Mori, W.B.; Malks, V. Effects of the Transverse Instability and Wave Breaking on the Laser-Driven Thin Foil Acceleration. Phys. Rev. Lett. 2020, 125, 104801. [Google Scholar] [CrossRef] [PubMed]
- Dollar, F.; Zulick, C.; Thomas, A.G.R.; Chvykov, V.; Davis, J.; Kalinchenko, G.; Matsuoka, T.; McGuffey, C.; Petrov, G.M.; Willingale, L.; et al. Finite spot effects on radiation pressure acceleration from intense high-contrast laser interactions with thin targets. Phys. Rev. Lett. 2012, 108, 175005. [Google Scholar] [CrossRef] [PubMed]
- Yu, T.P.; Pukhov, A.; Sheng, Z.M. Bright Betatronlike X Rays from Radiation Pressure Acceleration of a Mass-Limited Foil Target. Phys. Rev. Lett. 2013, 110, 045001. [Google Scholar] [CrossRef] [PubMed]
- Shen, X.F.; Qiao, B.; Zhang, H.; Kar, S.; Zhou, C.T.; Chang, H.X.; Borghesi, M.; He, X.T. Achieving stable radiation pressure acceleration of heavy ions via successive electron replenishment from ionization of a high-Z material coating. Phys. Rev. Lett. 2017, 118, 204802. [Google Scholar] [CrossRef]
- Wang, W.P.; Shen, B.F.; Zhang, X.M.; Ji, L.L.; Wen, M.; Xu, J.C.; Yu, Y.H.; Li, Y.L.; Xu, Z.Z. Efficient acceleration of monoenergetic proton beam by sharp front laser pulse. Phys. Plasmas 2011, 18, 013103. [Google Scholar]
- Wang, T.H.; Khudik, V.; Shvets, G. Laser-Ion Lens and Accelerator. Phys. Rev. Lett. 2021, 126, 024801. [Google Scholar] [CrossRef]
- Zhang, B.L.; Ma, Z.Z.; Ma, J.L.; Wu, X.J.; Ouyang, C.; Kong, D.Y.; Hong, T.S.; Wang, X.; Yang, P.D.; Chen, L.M.; et al. 1.4-mJ High Energy Terahertz Radiation from Lithium Niobates. Laser Photonics Rev. 2021, 15, 2000295. [Google Scholar] [CrossRef]
- Macchi, A.; Veghini, S.; Liseykina, T.V.; Pegoraro, F. Radiation pressure acceleration of ultrathin foils. New J. Phys. 2010, 12, 045013. [Google Scholar] [CrossRef]
- Paradkar, B.S.; Krishnagopal, S. Electron heating in radiation-pressure-driven proton acceleration with a circularly polarized laser. Phys. Rev. E 2016, 93, 023203. [Google Scholar] [CrossRef]
- Lv, C.; Meng, X.H.; Wang, Z.; Cao, L.H.; Wan, F.; Liu, Q.S.; Zhang, X.H.; Zhao, B.Z. Enhanced proton acceleration via the leaky light-sail regime by laser interaction with nanofoils in strongly magnetized plasmas. Phys. Plasmas 2020, 27, 063107. [Google Scholar] [CrossRef]
- Zhou, W.J.; Wang, W.M.; Chen, L.M. Enhanced ion acceleration in the relativistic transparent regime due to the laser rising edge. Plasma Phys. Control. Fusion 2021, 63, 035016. [Google Scholar] [CrossRef]
- Arber, T.D.; Bennett, K.; Brady, C.S.; Lawrence-Douglas, A.; Ramsay, M.G.; Sircombe, N.J.; Gillies, P.; Evans, R.G.; Schmitz, H.; Bell, A.R.; et al. Contemporary particle-in-cell approach to laser-plasma modelling. Plasma Phys. Control. Fusion 2015, 57, 113001. [Google Scholar] [CrossRef]
- Shorokhov, O.; Pukhov, A. Ion acceleration in overdense plasma by short laser pulse. Laser Part. Beams 2004, 22, 175–181. [Google Scholar] [CrossRef]
- Weng, S.M.; Murakami, M.; Mulser, P.; Sheng, Z.M. Ultra-intense laser pulse propagation in plasmas: From classic hole-boring to incomplete hole-boring with relativistic transparency. New J. Phys. 2012, 14, 063026. [Google Scholar] [CrossRef]
- Weng, S.M.; Mulser, P.; Sheng, Z.M. Relativistic critical density increase and relaxation and high-power pulse propagation. Phys. Plasmas 2012, 19, 022705. [Google Scholar] [CrossRef]
- Weng, S.M.; Liu, M.; Sheng, Z.M.; Murakami, M.; Chen, M.; Yu, L.L.; Zhang, J. Dense blocks of energetic ions driven by multi-petawatt lasers. Sci. Rep. 2016, 6, 22150. [Google Scholar] [CrossRef]
- Chao, Y.; Cao, L.H.; Zheng, C.Y.; Liu, Z.J.; He, X.T. Enhanced Proton Acceleration from Laser Interaction with a Tailored Nanowire Target. Appl. Sci. 2022, 12, 1153. [Google Scholar] [CrossRef]
- Wilks, S.C.; Langdon, A.B.; Cowan, T.E.; Roth, M.; Singh, M.; Hatchett, S.; Key, M.H.; Pennington, D.; MacKinnon, A.; Snavely, R.A. Energetic proton generation in ultra-intense laser-soild interactions. Phys. Plasmas. 2001, 8, 542. [Google Scholar] [CrossRef]
- Nishihara, K.; Amitani, H.; Murakami, M.; Bulanov, S.V.; Esirkepov, T.Z. High energy ions generated by laser driven coulomb explosion of cluster. Nucl. Instr. Meth. A 2001, 464, 98–102. [Google Scholar] [CrossRef]
- Shen, B.; Li, Y.; Yu, M.Y.; Cary, J. Bubble regime for ion acceleration in a laser-driven plasma. Phys. Rev. E 2007, 76, 055402. [Google Scholar] [CrossRef]
- Ji, L.L.; Pukhov, A.; Shen, B.F. Ion acceleration in the ‘dragging field’ of a light-pressure-driven piston. New J. Phys. 2014, 16, 063047. [Google Scholar] [CrossRef][Green Version]
- Schwinger, J. On Gauge Invariance and Vacuum Polarization. Phys. Rev. 1951, 82, 664. [Google Scholar] [CrossRef]
- Gu, Y.J.; Klimo, O.; Bulanov, S.V.; Weber, S. Brilliant gamma-ray beam and electron–positron pair production by enhanced attosecond pulses. Commun. Phys. 2018, 1, 93. [Google Scholar] [CrossRef]
- Danson, C.; Haefner, C.; Bromage, J.; Butcher, T.; Chanteloup, J.C.F.; Chowdhury, E.A.; Galvanauskas, A.; Gizzi, L.A.; Hein, J.; Hillier, D.I. Petawatt and exawatt class lasers worldwide. High Power Laser Sci. Eng. 2019, 7, e54. [Google Scholar] [CrossRef]
- Barba, S.M.; Schillaci, F.; Catalano, R.; Petringa, G.; Margarone, D.; Cirrone, G.A.P. Dosimetric Optimization of a Laser-Driven Irradiation Facility Using the G4-ELIMED Application. Appl. Sci. 2021, 11, 9823. [Google Scholar] [CrossRef]
- Chen, S.N.; Iwawaki, T.; Morita, K.; Antici, P.; Baton, S.D.; Filippi, F.; Habara, H.; Nakatsutsumi, M.; Nicolaï, P.; Nazarov, W.; et al. Density and temperature characterization of long-scale length, near-critical density controlled plasma produced from ultra-low density plastic foam. Sci. Rep. 2016, 6, 21495. [Google Scholar] [CrossRef]
- d’Humiéres, E.; Antici, P.; Glesser, M.; Boeker, J.; Cardelli, F.; Chen, S.; Feugeas, J.L.; Filippi, F.; Gauthier, M.; Levy, A.; et al. Investigation of laser ion acceleration in low-density targets using exploded foils. Plasma Phys. Control. Fusion 2013, 55, 124025. [Google Scholar] [CrossRef]







Publisher’s Note: MDPI stays neutral with regard to jurisdictional claims in published maps and institutional affiliations. |
© 2022 by the authors. Licensee MDPI, Basel, Switzerland. This article is an open access article distributed under the terms and conditions of the Creative Commons Attribution (CC BY) license (https://creativecommons.org/licenses/by/4.0/).
Share and Cite
Liu, M.; Gao, J.-X.; Wang, W.-M.; Li, Y.-T. Theoretical Study of the Efficient Ion Acceleration Driven by Petawatt-Class Lasers via Stable Radiation Pressure Acceleration. Appl. Sci. 2022, 12, 2924. https://doi.org/10.3390/app12062924
Liu M, Gao J-X, Wang W-M, Li Y-T. Theoretical Study of the Efficient Ion Acceleration Driven by Petawatt-Class Lasers via Stable Radiation Pressure Acceleration. Applied Sciences. 2022; 12(6):2924. https://doi.org/10.3390/app12062924
Chicago/Turabian StyleLiu, Meng, Jia-Xiang Gao, Wei-Min Wang, and Yu-Tong Li. 2022. "Theoretical Study of the Efficient Ion Acceleration Driven by Petawatt-Class Lasers via Stable Radiation Pressure Acceleration" Applied Sciences 12, no. 6: 2924. https://doi.org/10.3390/app12062924
APA StyleLiu, M., Gao, J.-X., Wang, W.-M., & Li, Y.-T. (2022). Theoretical Study of the Efficient Ion Acceleration Driven by Petawatt-Class Lasers via Stable Radiation Pressure Acceleration. Applied Sciences, 12(6), 2924. https://doi.org/10.3390/app12062924

