Featured Application
The results highlighted the role of mechanical forces in fish embryo osteogenesis. Such a simple in vivo model can be used to elucidate the responsiveness of osteoblasts to environmental mechanical forces and useful in designing new therapeutic approaches in human bone diseases.
Abstract
Skeletal system development and remodelling is regulated by several different factors, including hormones, cytokines, and mechanical forces. It is known that gravity and pressure stimulate mechanosensors on bone cells which transduce mechanical signals to chemical ones. Nevertheless, few data have been provided about the role of mechanical forces on embryo osteogenesis in vivo. Since the zebrafish is an elective model for developmental studies, in particular on bone formation and tissue mineralization, we analyzed in vivo the effects of a static mechanical force generated by a water column on fertilized zebrafish eggs. The results have shown that an increase in the hydrostatic pressure (HP) of up to 5.9% was lethal for 100% of treated embryos at 48 h post fertilization (hpf). A small decrease in length (−2%) and 49% mortality were found in the +4.4% HP embryos compared with the controls. To analyze skeletal development, we evaluated the number of mineralized vertebral bodies in the trunk at five days post fertilization. The embryos grown under +2.4% HP showed a physiological intramembranous mineralization of vertebral bodies whereas the embryos which grew with +3.4% HP showed a significant decrease in mineralization rate (−54%). Morphological analysis of cartilage and bones in embryos at +3.4% HP revealed a delay of both intramembranous and chondrogenic mineralization, respectively, in axial and head bones, whereas the chondrogenesis appeared normal. These data suggested that developing osteoblasts and different mineralization programs are sensitive to mechanical pressure when applied to early embryogenesis.
1. Introduction
Zebrafish embryos are widely used for developmental studies, in particular on bone formation and tissue mineralization, focusing on vertebral and head bone formation []. Zebrafish embryo osteogenesis is characterized by two different types of ossification: the endochondral ossification, that takes place from a cartilaginous scaffold, and the intramembranous ossification, which is a direct ossification operated by mesenchymal stem cell precursors []. In vivo and in vitro studies have demonstrated that mechanical forces, as well as chemical signals, are crucial for the differentiation and behavior of bone cells. For example, osteoblast function and RANKL expression can be modulated by mechanical forces []. The absence of gravity conditions modulates calcium metabolism and induces osteoporosis in astronauts []. In addition, osteoclasts, the bone resorbing cells, have been indicated as responsive to mechanical forces []. It has been suggested that bone cells possess mechanosensors which transduce mechanical signals to chemical ones. Recently, a family of ion-channels named Piezo 1/2 were reported to have a role in bone development and mechano-stimulation of bone metabolism [].
Few data have been provided about the role of mechanical forces on embryo development in vivo, but some evidence indicates that fish eggs and larvae may be susceptible to barotrauma injury, a direct consequence of hydrostatic pressure variation []. Eggs from different fish species have been shown to be prone to genetic damages when exposed to hydrostatic pressure excess, driving developmental block and early death [,].
In addition, during embryonic development, the fragility of the internal organs as well as the early vascular network makes the larva more susceptible to barotrauma injury than juvenile fish [].
Different types of mechanical forces are able to modulate zebrafish embryonic osteogenesis. Previous experiments into increased mechanical pressure on zebrafish embryos have been performed by Aceto et al. [], in which five days post fertilization (dpf) embryos were treated with hypergravity (3 g) using a large diameter centrifuge up to 9 dpf; similar experiments were performed by Lawrence et al. [], which exposed 3 dpf embryos to 3 g and 6 g for 48 h. Lawrence’s study reported that embryo morphology is unchanged after a short hypergravity treatment, but highlighted small but detrimental changes in the extracellular matrix of the cartilaginous tissue with altered chondrocyte maturation [].
Both hypergravity and hydrostatic pressure (HP) can be applied to zebrafish embryos to verify their effect on osteogenesis: hypergravity is modeled by centrifugation using centrifugal forces to generate up to 20 g, whereas the hydrostatic pressure is an astatic force which can be easily modulated by varying the height of the water column above animals kept at the bottom.
The aim of this study was to evaluate zebrafish embryo osteogenesis under a gradient of hydrostatic pressure. The evaluation in vivo of whether external physical forces are able to modulate the mineralization process may elucidate the mechanisms of human bone pathological conditions such as osteoporosis.
2. Materials and Methods
2.1. Ethics Statement
This experimentation was performed in the Zebrafish Laboratory (IRCCS R. Galeazzi, GSD Foundation, Milan, Italy) according to Italian and European guidelines on research (EU Directive 2010/63/EU) and following authorization by ASL Varese with Prot. No. 2019/014/DVVS/0078143, Italy.
2.2. Animals
Danio rerio of AB strain were housed in a ZEBTEC© Bench Top System (Tecniplast, Buguggiate, VA, Italy) and maintained under standard conditions [] at 28 °C. Embryos used in this experimentation were obtained from three single pairs of adult zebrafish and were checked for general health conditions, such as unfertilized eggs or for the presence of mold, and for proper cell division stage under a light stereomicroscope as described by Kimmel et al. [].
2.3. Treatments
Treatments were performed while maintaining embryos at 28 °C in a dark incubator in a standard growing medium (E3 medium, 5 mmol/L NaCl, 0.17 mmol/L KCl, 0.33 mmol/L CaCl2, 0.33 mmol/L MgSO4) and under different hydrostatic pressure (HP) values (from +0% to +5.9%). Control embryos were maintained in a small beaker with no additional hydrostatic pressure (CTR, +0% HP) whereas treated embryos were grown in glass cylinders filled with accurate levels of E3 medium to create different HP increases (25 cm generates +2.4% HP, 35 cm generates +3.4% HP, 45 cm generates +4.4% HP, 60 cm generates +5.9% HP). Hydrostatic pressure, first described by Stevino, is produced by a liquid in a static equilibrium in a container because of gravity, and depends on the liquid density and the height of the liquid column. The hydrostatic pressure is given by the formula named Stevin’s principle: p = po + r × g × h, where p is the total pressure value, po is the atmospheric pressure acting on the free surface of the liquid, r is the density of the liquid (water density is 1000 K/m3), g is gravity acceleration (9.81 m/s2) and h is the height of the liquid column. These embryos were maintained in small beaker (5 mL, height 30 mm) covered by a thin net that kept the embryos on the bottom of the glass cylinder in which it was inserted and that guaranteed a correct and constant HP exposure (Figure 1). For five days the embryos were checked with a light stereomicroscope (SZX-ZB7 Olympus, Tokyo, Japan) for general health conditions, and dead embryos were removed.

Figure 1.
Static hydraulic pressure generated by water column. Zebrafish embryos were maintained in a small beaker covered by a thin net on the bottom of the glass cylinder. Water level modulates the applied pressure (arrows).
2.4. Embryo Histochemistry
Osteogenesis and mortality rate were evaluated at five days post fertilization (dpf). Embryos were anaesthetized with 0.01% tricaine methanesulphonate (Sigma, St. Louis, MO, USA) E3 medium solution and fixed in a 3.5% formaldehyde/0.1 M sodium phosphate buffer. A two-color acid-free stain based on Alcian Blue 8GX (Sigma, St. Louis, MO, USA) and Alizarin red S (ARS, Sigma, St. Louis, MO, USA) were performed to stain, respectively, cartilage and bone tissue []. Following this, mineralization rate was evaluated by counting the number of mineralized vertebral bodies (N.V.) normalized for the length (L.) for every single embryo (N.V./L.). Embryos were examined under a light stereomicroscope (SZX-ZB7 Olympus, Tokyo, Japan) and images acquired using a Discovery CH30 camera (Tiesselab, Milan, Italy).
2.5. Statistical Analysis
Data from embryo histochemical analysis was derived from 10 embryos grown under each different HP, with three independent experiments performed, obtaining comparable results. For each experiment we used embryos from the same batch, derived from a single pair of fish. Mineralization rate data have been used to calculate the mean value expressed as the mean of the means of the three independent experiments ± standard deviation versus control. Data were plotted on SigmaStat3.5 software (San Jose, CA, USA) and subjected to one-way analysis of variance (ANOVA) followed by Dunn’s test for multiple comparisons. The software Sigmastat3.5 indicated that the normality test and equal variance test were passed. All the significance values were set at p < 0.05 (*), p < 0.01 (**) and p < 0.001 (***).
3. Results
3.1. Embryo Mortality
Embryos were grown under different increases in HP (from +0% to +5.9%) from 0 h post fertilization up to 5 dpf in order to verify the effects of this additional pressure on the osteogenesis. The increase in the HP is indicated to be safe for embryos up to 3.4%, whereas an increase of 4.4% induces a mortality rate of 49%. Moreover, +5.9% HP was found to be lethal for 100% of embryos (Figure 2). All embryos died before 48 h post fertilization (hpf).

Figure 2.
Mortality rate of embryos grown under different increases in hydrostatic pressure (HP) from 0% (CTR) up to 5.9% evaluated at five days post fertilization. Hydrostatic pressure increase is indicated to be safe for embryos up to 3.4%, whereas a 4.4% HP increase enhances the mortality at 49%. Further, a 5.9% HP increase is lethal for all embryos (CTR vs. +4.4% HP, *** p < 0.001; CTR vs. 5.9% HP, *** p < 0.001).
3.2. General Development
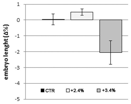
The length of vital embryos in +0%, +2.4% and +3.4% have been measured to verify the effect of hydrostatic pressure on general body growth. No macroscopic alterations were detectable in the developing anatomical structures but a small decrease in length (−2%) was found in the +3.4% HP embryos relative to the controls (Figure 3). Due to the high mortality of the 4.4% group we did not conduct in-depth analysis of the data of this group.

Figure 3.
Difference of length (Δ%) in 5 dpf embryos grown under different increases in HP from 0% (CTR) up to 3.4%. Embryos grown under +3.4% HP show a statistically non-significant reduction in body length (CTR vs. +3.4%, −2%).
3.3. Skeletal Development
Morphological analysis of cartilage and bones in embryos at +3.4% HP revealed a significant delay of intramembranous (vertebral bodies) and chondrogenic (lower jawbone) mineralization whereas the cartilage development appeared normal (Figure 4a). The mineralization rate in the trunk was evaluated in embryos at five days post fertilization as a ratio of the of the number of vertebral bodies positive for ARS staining and the length of the fish body (N.V./L.). Embryos grown under +2.4% HP showed a physiological mineralization of vertebral bodies whereas the embryos grown under +3.4% HP shown a significant decrease in mineralization rate (Figure 4b).

Figure 4.
(a) Alcian Blue/ARS staining highlights a decreased number of mineralized vertebral bodies (black arrow) and a delayed chondrogenic mineralization of lower jawbone (red arrow) in +3.4% HP embryos. Scale bar: 200 μm. (b) Vertebral mineralization rate of five days post fertilization embryos grown under different increased HP from 0% (CTR) up to 3.4%, evaluated as a ratio of the number of vertebral bodies positive for ARS staining along the length of the fish body (N.V./L.). Embryos grown under +3.4% HP showed a statistically significant variation in N.V./L. (CTR vs. +3.4%, *** p < 0.001, −54%).
4. Discussion
Mechanical forces shape living embryos starting from the fertilization of the egg and later, modulating cell division, differentiation processes, and structural remodeling []. We analyzed in vivo the effect of a static mechanical force, generated by a water column, on fertilized zebrafish eggs. Embryos grown in more than +4.4% HP were seriously damaged in the developmental processes whereas at +5.9% they died before 48 hpf. Zebrafish embryos remained in the chorion membranes up to 48 hpf []. The embryos that died because of the treatment with 4.4% and 3.4% HP died during the first 48 h; this fact indicates that the increased hydrostatic pressure affects embryo health even in the presence of the chorion. Some evidence indicated that eggs and larvae may be susceptible to barotrauma injury, a direct consequence of hydrostatic pressure variation []. Eggs from other fish species have been shown to be prone to genetic damage when exposed to hydrostatic pressure excess, driving developmental block and early death [,]. In addition, during embryonic development, the fragility of the internal organs, as well as the early vascular network, makes the larva more susceptible to barotrauma injury than juvenile fish []. The literature is consistent with our data where embryos died before 48 hpf. The mechanosensitivity of embryonic structures have also been reported for mammalian development, where hydraulic forces in the blastocoel regulate embryo size and cell fate [,].
When we analyzed the mineralization rate, the vital embryos grown at +3.4% HP showed a significant delay in the mineralization of vertebral bodies and, less pronounced, head bones. It is well know that mechanical forces are necessary for normal bone maintenance and remodeling [] so that in vivo bone tissue can be created and modeled basing on the mechanical stimuli that act on skeletal structures, but it is also widely accepted that mechanical stimulation is very influential on embryonic osteogenesis []. Nowlan et al. demonstrated in embryonic chicks that the mechanical stimuli interact with cells thanks to “mechanosensitive genes” in order to generate a spatiotemporal regulation of the bone tissue []. Literature data give evidence that adult mesenchymal stem cells can be stimulated in vitro to bone differentiation and regeneration by intermittent pulses of hydrostatic pressure []. Nevertheless, during embryo development, the cells are proliferating and remodeling and the mechanical and biochemical crosstalk is much more complicated and delicate. Functions such as exocytosis, proliferation, apoptosis, ion fluxes, and cell shape can be modulated by hydraulic pressure []. High hydrostatic pressure (HHP) negatively interferes with cell membrane behavior, cellular shape, and protein synthesis in yeast [] and in mammalian cells [,] At +3.4%, HP did not induce embryo mortality but negatively regulated development, as suggested by reduced embryo length (−2%), even if not significant, and by the delayed bone mineralization.
The neurocranium and the pharyngeal arches are ossified by an endochondral process, whereas vertebral bodies are formed by intramembranous ossification in a progressive cranio-caudal direction through notochord direct mineralization []. In our results, both types of mineralization seem to be affected by the increase in hydrostatic pressure.
The mineralization process takes place after mesenchymal differentiation as well as after cartilage establishment. Mesenchymal stem cells are known to be sensitive to hydrostatic pressure in vitro since they fail to differentiate into osteoblast cells when it increases []. Endochondral mineralization can also be modulated by hydrostatic pressure in vitro [,].
Experiments on hypergravity indicated that the stage at which the embryos are exposed to abnormal mechanical stimulation is crucial. Embryos exposed to hypergravity from 5 to 9 dpf resulted in increased bone head mineralization [], whereas Lawrence et al. [] found altered and abnormal chondrocyte maturation with impaired mineralization exposing embryos to hypergravity from 3 to 5 dpf. In addition, studies on zebrafish larvae subjected to swim-training from 5 to 15 dpf demonstrated that skeletal tissue in the cranial, axial, and appendicular skeleton responds to increased water velocity, which represents a mechanical force [].
Taken together, these data suggested that early mechanical static pressure causes fatal damage or osteogenesis delay, depending on the intensity, when applied at early stages to embryos (0–5 dpf). The timing of physical stimulation, over the intensity, is crucial to generate bone effects. It has been demonstrated in chick foetal femurs that intermittent hydrostatic pressure may stimulate in vitro bone regeneration []. The role of timing has been demonstrated in mesenchymal differentiation in vitro, where chondrogenic stimulation before, and hydrostatic pressure later, accelerated the osteogenic potential of stem cells [].
Regarding the mechanisms, it is known that stretch-responsive genes are regulated in vitro in mesenchymal stem cells by mechanical forces applied to the extracellular matrix [].
These pathways include detection of mechanical forces by receptors. The mechanosensors, located as receptors, are activated by mechanical forces and stimulate osteogenic genes such as osteopontin (OPN) and osteoprotegerin (OPG) []. Zebrafish embryos represent a powerful model to use in further studies on molecular mechanoregulation of osteogenesis.
In conclusion, the data suggested that a fine balance of physical stimulation and its timing were necessary to regulate bone tissue development.
Author Contributions
M.C. and M.M. contributed to the ideas, data analysis, data generation, and manuscript preparation. G.B. contributed to supervision and funding. All authors have read and agreed to the published version of the manuscript.
Funding
This research was funded by Gruppo San Donato Foundation, grant “SOYFISH” and by the Italian Ministry of Health, grant RICERCA CORRENTE. The APC was funded by IRCCS Orthopedic Institute Galeazzi.
Institutional Review Board Statement
This experimentation was performed in the Zebrafish Laboratory (IRCCS R. Galeazzi, GSD Foundation, Milan, Italy) according to Italian and European guidelines on research (EU Directive 2010/63/EU) and following authorization by ASL Varese with Prot. No. 2019/014/DVVS/0078143, Italy.
Informed Consent Statement
No applicable.
Data Availability Statement
The data presented in this study are available on request from the corresponding author.
Conflicts of Interest
The authors declare no conflict of interest.
References
- Bird, N.C.; Mabee, P.M. Developmental morphology of the axial skeleton of the zebrafish, Danio rerio (Ostariophysi: Cyprinidae). Dev. Dyn. 2003, 228, 337–357. [Google Scholar] [CrossRef] [PubMed]
- Sasaki, F.; Hayashi, M.; Ono, T.; Nakashima, T. The regulation of RANKL by mechanical force. J. Bone Miner. Metab. 2021, 39, 34–44. [Google Scholar] [CrossRef]
- Smith, S.M.; McCoy, T.; Gazda, D.; Morgan, J.L.L.; Heer, M.; Zwart, S.R. Space flight calcium: Implications for astronaut health, spaceflight operations, and Earth. Nutrients 2012, 4, 2047–2068. [Google Scholar] [CrossRef] [PubMed] [Green Version]
- Wang, Q.; Duan, M.; Liao, J.; Xie, J.; Zhou, C. Are Osteoclasts Mechanosensitive Cells? J. Biomed. Nanotechnol. 2021, 17, 1917–1938. [Google Scholar] [CrossRef] [PubMed]
- Qin, L.; He, T.; Chen, S.; Yang, D.; Yi, W.; Cao, H.; Xiao, G. Roles of mechanosensitive channel Piezo1/2 proteins in skeleton and other tissues. Bone Res. 2021, 9, 44. [Google Scholar] [CrossRef] [PubMed]
- Boys, C.A.; Robinson, W.; Miller, B.; Pflugrath, B.; Baumgartner, L.J.; Navarro, A.; Brown, R.; Deng, Z. How low can they go when going with the flow? Tolerance of egg and larval fishes to rapid decompression. Biol. Open 2016, 5, 786–793. [Google Scholar] [CrossRef] [PubMed] [Green Version]
- Chourrout, D. Pressure-induced retention of second polar body and suppression of first cleavage in rainbow trout: Production of all-triploids, all-tetraploids, and heterozygous and homozygous diploid gynogenetics. Aquaculture 1984, 36, 111–126. [Google Scholar] [CrossRef] [Green Version]
- Goudie, C.A.; Simco, B.A.; Davis, K.B.; Liu, Q. Production of gynogenetic and polyploid catfish by pressure-induced chromosome set manipulation. Aquaculture 1995, 133, 185–198. [Google Scholar] [CrossRef]
- Brown, R.S.; Colotelo, A.H.; Pflugrath, B.D.; Boys, C.A.; Baumgartner, L.J.; Deng, Z.D.; Silva, L.G.M.; Brauner, C.J.; Mallen-Cooper, M.; Phonekhampeng, O.; et al. Understanding barotrauma in fish passing hydro structures: A global strategy for sustainable development of water resources. Fisheries 2014, 39, 108–122. [Google Scholar] [CrossRef]
- Aceto, J.; Nourizadeh-Lillabadi, R.; Marée, R.; Dardenne, N.; Jeanray, N.; Wehenkel, L.; Aleström, P.; van Loon, J.J.; Muller, M. Zebrafish Bone and General Physiology Are Differently Affected by Hormones or Changes in Gravity. PLoS ONE 2015, 10, e0126928. [Google Scholar] [CrossRef] [Green Version]
- Lawrence, E.A.; Aggleton, J.A.; van Loon, J.J.W.A.; Godivier, J.; Harniman, R.L.; Pei, J.; Nowlan, N.C.; Hammond, C.L. Exposure to hypergravity during zebrafish development alters cartilage material properties and strain distribution. Bone Joint. Res. 2021, 10, 137–148. [Google Scholar] [CrossRef]
- Westerfield, M. The Zebrafish Book. In A Guide for the Laboratory Use of Zebrafish (Danio Rerio), 5th ed.; University of Oregon Press: Eugene, OR, USA, 2007. [Google Scholar]
- Kimmel, C.B.; Ballard, W.W.; Kimmel, S.R.; Ullmann, B.; Schilling, T.F. Stages of Embryonic Development of the Zebrafish. Dev. Dyn. 1995, 203, 253–310. [Google Scholar] [CrossRef]
- Walker, M.B.; Kimmel, C.B. A two-color acid-free cartilage and bone stain for zebrafish larvae. Biotech. Histochem. 2007, 82, 23–28. [Google Scholar] [CrossRef]
- Mammoto, T.; Mammoto, A.; Ingber, D.E. Mechanobiology and developmental control. Annu. Rev. Cell Dev. Biol. 2013, 29, 27–61. [Google Scholar] [CrossRef] [Green Version]
- Chan, C.J.; Costanzo, M.; Ruiz-Herrero, T.; Mönke, G.; Petrie, R.J.; Bergert, M.; Diz-Muñoz, A.; Mahadevan, L.; Hiiragi, T. Hydraulic control of mammalian embryo size and cell fate. Nature 2019, 571, 112–116. [Google Scholar] [CrossRef]
- Chan, C.J.; Hiiragi, T. Integration of luminal pressure and signaling in tissue self-organization. Development 2020, 147, dev181297. [Google Scholar] [CrossRef] [PubMed]
- Rubin, J.; Rubin, C.; Jacobs, C.R. Molecular pathways mediating mechanical signaling in bone. Gene 2006, 367, 1–16. [Google Scholar] [CrossRef] [Green Version]
- Nowlan, N.C.; Prendergast, P.J.; Murphy, P. Identification of mechanosensitive genes during embryonic bone formation. PLoS Comput. Biol. 2008, 4, e1000250. [Google Scholar] [CrossRef] [PubMed] [Green Version]
- Ru, J.; Guo, L.; Ji, Y.; Niu, Y. Hydrostatic pressure induces osteogenic differentiation of adipose-derived mesenchymal stem cells through increasing lncRNA-PAGBC. Aging (Albany NY) 2020, 12, 13477–13487. [Google Scholar] [CrossRef] [PubMed]
- Zonia, L.; Munnik, T. Life under pressure: Hydrostatic pressure in cell growth and function. Trends Plant Sci. 2007, 12, 90–97. [Google Scholar] [CrossRef] [PubMed]
- Bravim, F.; de Freitas, J.M.; Fernandes, A.A.; Fernandes, P.M. High hydrostatic pressure and the cell membrane: Stress response of Saccharomyces cerevisiae. Ann. NY Acad. Sci. 2010, 1189, 127–132. [Google Scholar] [CrossRef] [PubMed]
- Frey, B.; Franz, S.; Sheriff, A.; Korn, A.; Bluemelhuber, G.; Gaipl, U.S.; Voll, R.E.; Meyer-Pittroff, R.; Herrmann, M. Hydrostatic pressure induced death of mammalian cells engages pathways related to apoptosis or necrosis. Cell Mol. Biol. 2004, 50, 459–467. [Google Scholar] [PubMed]
- Aziz, A.H.; Eckstein, K.; Ferguson, V.L.; Bryant, S.J. The effects of dynamic compressive loading on human mesenchymal stem cell osteogenesis in the stiff layer of a bilayer hydrogel. J. Tissue Eng. Regen. Med. 2019, 13, 946–959. [Google Scholar] [CrossRef] [PubMed]
- Bensimon-Brito, A.; Cardeira, J.; Cancela, M.L.; Huysseune, A.; Witten, P.E. Distinct patterns of notochord mineralization in zebrafish coincide with the localization of Osteocalcin isoform 1 during early vertebral centra formation. BMC Dev. Biol. 2012, 12, 28. [Google Scholar] [CrossRef] [PubMed] [Green Version]
- Freeman, F.E.; Schiavi, J.; Brennan, M.A.; Owens, P.; Layrolle, P.; McNamara, L.M. Mimicking the Biochemical and Mechanical Extracellular Environment of the Endochondral Ossification Process to Enhance the In Vitro Mineralization Potential of Human Mesenchymal Stem Cells. Tissue Eng. Part A 2017, 23, 1466–1478. [Google Scholar] [CrossRef]
- van’t Veen, S.J.; Hagen, J.W.; van Ginkel, F.C.; Prahl-Andersen, B.; Burger, E.H. Intermittent compression stimulates cartilage mineralization. Bone 1995, 17, 461–465. [Google Scholar] [CrossRef]
- Fiaz, A.W.; Léon-Kloosterziel, K.M.; Gort, G.; Schulte-Merker, S.; van Leeuwen, J.L.; Kranenbarg, S. Swim-training changes the spatio-temporal dynamics of skeletogenesis in zebrafish larvae (Danio rerio). PLoS ONE 2012, 7, e34072. [Google Scholar] [CrossRef] [PubMed] [Green Version]
- Henstock, J.R.; Rotherham, M.; Rose, J.B.; El Haj, A.J. Cyclic hydrostatic pressure stimulates enhanced bone development in the foetal chick femur in vitro. Bone 2013, 53, 468–477. [Google Scholar] [CrossRef] [PubMed]
- Stewart, S.; Darwood, A.; Masouros, S.; Higgins, C.; Ramasamy, A. Mechanotransduction in osteogenesis. Bone Jt. Res. 2020, 9, 1–14. [Google Scholar] [CrossRef] [PubMed]
- Ward, D.F., Jr.; Salasznyk, R.M.; Klees, R.F.; Backiel, J.; Agius, P.; Bennett, K.; Boskey, A.; Plopper, G.E. Mechanical strain enhances extracellular matrix-induced gene focusing and promotes osteogenic differentiation of human mesenchymal stem cells through an extracellular-related kinase-dependent pathway. Stem. Cells Dev. 2007, 16, 467–480. [Google Scholar] [CrossRef] [PubMed]
Publisher’s Note: MDPI stays neutral with regard to jurisdictional claims in published maps and institutional affiliations. |
© 2022 by the authors. Licensee MDPI, Basel, Switzerland. This article is an open access article distributed under the terms and conditions of the Creative Commons Attribution (CC BY) license (https://creativecommons.org/licenses/by/4.0/).