Investigation on Aerodynamic Noise Characteristics of Coaxial Rotor in Hover
Abstract
:1. Introduction
2. Methodology
2.1. CFD Method and Trim Model
2.2. Acoustic Prediction Model
2.3. Validation Cases
3. Results and Discussion
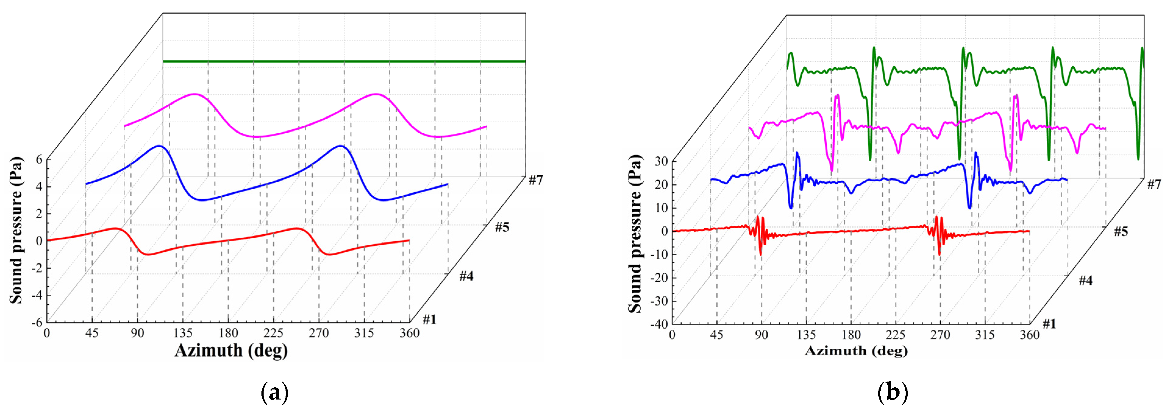
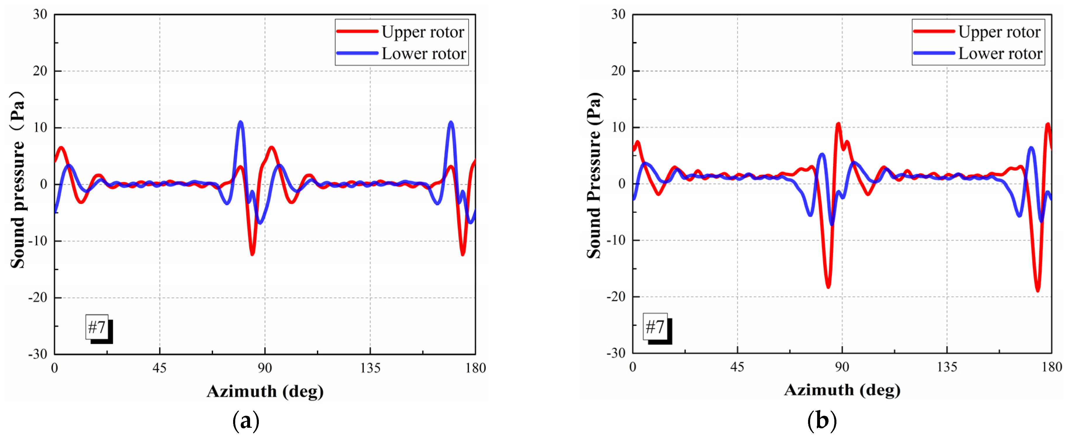
3.1. Noise at Different Observation Points
3.2. Noise Radiation Characteristics
3.3. Comparison of Different CT Levels
4. Conclusions
Author Contributions
Funding
Institutional Review Board Statement
Informed Consent Statement
Data Availability Statement
Conflicts of Interest
Nomenclature
| A | , rotor disk area (m2) |
| c | chord (m) |
| CT | , rotor thrust coefficient |
| CQ | , rotor torque coefficient |
| f0 | fundamental frequency |
| Ma | Mach number |
| Matip | rotor tip Mach number |
| R | rotor radius (m) |
| density | |
| SPL | sound pressure level |
| ψ | azimuth angle (deg) |
| θ0 | collective pitch angle (deg) |
| rotor angular velocity (rad/s) | |
| Subscripts | |
| L | lower rotor in coaxial system |
| U | upper rotor in coaxial system |
References
- Ho, J.C.; Yeo, H. Analytical study of an isolated coaxial rotor system with lift offset. Aerosp. Sci. Technol. 2020, 100, 105818. [Google Scholar] [CrossRef]
- Burgess, R.K. The ABC™ Rotor—A historical perspective. In Proceedings of the 60th American Helicopter Society Annual Forum, Baltimore, MD, USA, 7–10 June 2004. [Google Scholar]
- Bagai, A. Aerodynamic design of the X2 technology demonstrator main rotor blade. In Proceedings of the 64th American Helicopter Society Annual Forum, Montréal, QC, Canada, 29 April—1 May 2008; pp. 29–44. [Google Scholar]
- Lakshminarayan, V.K.; Baeder, J.D. Computational investigation of microscale coaxial-rotor aerodynamics in hover. J. Aircr. 2010, 47, 940–955. [Google Scholar] [CrossRef] [Green Version]
- Hayami, K.; Sugawara, H.; Tanabe, Y.; Kameda, M. Numerical investigation of aerodynamic interference on coaxial rotor. In Proceedings of the AIAA Scitech 2020 Forum, Orlando, FL, USA, 6–10 January 2020. [Google Scholar]
- Shirey, J.; Brentner, K.; Chen, H.-n. A validation study of the PSU-WOPWOP rotor noise prediction code. In Proceedings of the 45th AIAA Aerospace Sciences Meeting and Exhibit, Reno, NV, USA, 8–11 January 2007. [Google Scholar]
- Wachspress, D.A.; Quackenbush, T.R. Impact of rotor design on coaxial rotor performance, wake geometry and noise. In Proceedings of the 62th American Helicopter Society Annual Forum, Phoenix, AZ, USA, 9–11 May 2006; pp. 41–63. [Google Scholar]
- Kim, H.W.; Duraisamy, K.; Brown, R.E. Effect of rotor stiffness and lift offset on the aeroacoustics of a coaxial rotor in level flight. In Proceedings of the 65th American Helicopter Society Annual Forum, Grapevine, TX, USA, 27–29 May 2009; pp. 1–21. [Google Scholar]
- Kim, H.W.; Kenyon, A.R.; Duraisamy, K.; Brown, R.E. Interactional aerodynamics and acoustics of a hingeless coaxial helicopter with an auxiliary propeller in forward flight. Aeronaut. J. 2009, 113, 65–78. [Google Scholar] [CrossRef] [Green Version]
- Klimchenko, V.; Sridharan, A.; Baeder, J.D. CFD/CSD study of the aerodynamic interactions of a coaxial rotor in high-speed forward flight. In Proceedings of the 35th AIAA Applied Aerodynamics Conference, Denver, CO, USA, 5–9 June 2017; pp. 1–22. [Google Scholar]
- Passe, B.J.; Sridharan, A.; Baeder, J.D. Computational investigation of coaxial rotor interactional aerodynamics in steady forward flight. In Proceedings of the 33rd AIAA Applied Aerodynamics Conference, Dallas, TX, USA, 22–26 June 2015; pp. 1–29. [Google Scholar]
- Walsh, G.; Brentner, K.; Jacobellis, G.; Gandhi, F. An acoustic investigation of a coaxial helicopter in high-speed flight. In Proceedings of the 72nd American Helicopter Society Annual Forum, Fairfax, VA, USA, 17 May 2016. [Google Scholar]
- Zhu, Z.; Zhao, Q.; Chen, S.; Wang, B. Analyses on aeroacoustic characteristics of coaxial rotors in hover. Acta Acust. 2016, 41, 833–842. [Google Scholar] [CrossRef]
- Wang, B.; Cao, C.; Zhao, Q.; Yuan, X.; Zhu, Z. Aeroacoustic Characteristic Analyses of Coaxial Rotors in Hover and Forward Flight. Int. J. Aeronaut. Space Sci. 2021, 22, 1278–1292. [Google Scholar] [CrossRef]
- Jia, Z.; Lee, S.; Sharma, K.; Brentner, K.S. Aeroacoustic analysis of a lift-offset coaxial rotor using high-fidelity CFD-CSD loose coupling simulation. In Proceedings of the 74th American Helicopter Society Annual Forum, Phoenix, AZ, USA, 14–17 May 2018; pp. 1–21. [Google Scholar]
- Jia, Z.; Lee, S. Impulsive Loading Noise of a Lift-Offset Coaxial Rotor in High-Speed Forward Flight. AIAA J. 2020, 58, 687–701. [Google Scholar] [CrossRef]
- Jia, Z.; Lee, S. Aerodynamically induced noise of a lift-offset coaxial rotor with pitch attitude in high-speed forward flight. J. Sound Vib. 2021, 491, 115737. [Google Scholar] [CrossRef]
- Qi, H.; Xu, G.; Lu, C.; Shi, Y. A study of coaxial rotor aerodynamic interaction mechanism in hover with high-efficient trim model. Aerosp. Sci. Technol. 2019, 84, 1116–1130. [Google Scholar] [CrossRef]
- Qi, H.; Xu, G.; Lu, C.; Shi, Y. Computational investigation on unsteady loads of high-speed rigid coaxial rotor with high-efficient trim model. Int. J. Aeronaut. Space Sci. 2019, 20, 16–30. [Google Scholar] [CrossRef]
- Farassat, F. Linear acoustic formulas for calculation of rotating blade noise. AIAA J. 1981, 19, 1122–1130. [Google Scholar] [CrossRef]
- Pomin, H.; Wagner, S. Navier-Stokes analysis of helicopter rotor aerodynamics in hover and forward flight. J. Aircr. 2002, 39, 813–821. [Google Scholar] [CrossRef]
- Van Leer, B. Towards the ultimate conservative difference scheme. V. A second-order sequel to Godunov’s method. J. Comput. Phys. 1979, 32, 101–136. [Google Scholar] [CrossRef]
- Spalart, P.; Allmaras, S. A one-equation turbulence model for aerodynamic flows. In Proceedings of the 30th Aerospace Sciences Meeting and Exhibit, Reno, NV, USA, 6–9 January 1992; pp. 1–22. [Google Scholar]
- Yoon, S.; Jameson, A. Lower-upper Symmetric-Gauss-Seidel method for the Euler and Navier-Stokes equations. AIAA J. 1988, 26, 1025–1026. [Google Scholar] [CrossRef] [Green Version]
- Ye, Z.; Xu, G.; Shi, Y.; Xia, R. A high-efficiency trim method for CFD numerical calculation of helicopter rotors. Int. J. Aeronaut. Space Sci. 2017, 18, 186–196. [Google Scholar] [CrossRef]
- Lyu, W.; Wang, S.; Yang, A. Some improvements of hybrid trim method for a helicopter rotor in forward flight. Aerosp. Sci. Technol. 2021, 113, 106709. [Google Scholar] [CrossRef]
- Zhao, Y.; Shi, Y.; Xu, G. Helicopter Blade-Vortex Interaction Airload and Noise Prediction Using Coupling CFD/VWM Method. Appl. Sci. 2017, 7, 381. [Google Scholar] [CrossRef] [Green Version]
- Shi, Y.; Li, T.; He, X.; Dong, L.; Xu, G. Helicopter Rotor Thickness Noise Control Using Unsteady Force Excitation. Appl. Sci. 2019, 9, 1351. [Google Scholar] [CrossRef] [Green Version]
- Feil, R.; Rauleder, J.; Cameron, C.G.; Sirohi, J. Aeromechanics analysis of a high-advance-ratio lift-offset coaxial rotor system. J. Aircr. 2019, 56, 166–178. [Google Scholar] [CrossRef]
- Silwal, L.; Raghav, V. Preliminary study of the near wake vortex interactions of a coaxial rotor in hover. In Proceedings of the AIAA Scitech 2020 Forum, Orlando, FL, USA, 6–10 January 2020. [Google Scholar]
- Baeder, J.D.; Gallman, J.M.; Yu, Y.H. A computational study of the aeroacoustics of rotors in hover. J. Am. Helicopter Soc. 1993, 42, 39–53. [Google Scholar] [CrossRef]
- Yu, Y.H.; Tung, C.; Gallman, J.; Schultz, K.J.; Wall, B.v.d.; Spiegel, P.; Michea, B. Aerodynamics and acoustics of rotor blade-vortex interactions. J. Aircr. 1995, 32, 970–977. [Google Scholar] [CrossRef]
- Strawn, R.C.; Duque, E.P.N.; Ahmad, J. Rotorcraft aeroacoustics computations with overset-grid CFD methods. J. Am. Helicopter Soc. 1999, 44, 132–140. [Google Scholar] [CrossRef]
- Brentner, K.S.; Farassat, F. Modeling aerodynamically generated sound of helicopter rotors. Prog. Aerosp. Sci. 2003, 39, 83–120. [Google Scholar] [CrossRef] [Green Version]
















| Parameter | Values |
|---|---|
| Rotor radius | 2.0 m |
| Rotor cutout | 0.212 R |
| Chord | 0.22 m |
| Number of blades | 2 + 2 |
| Twist | None |
| Blade tip Mach number | 0.5878 |
| Rotor vertical distance | 0.15 R |
| Case | CT | θ0U (°) | θ0L (°) |
|---|---|---|---|
| A0 | 0.0 | 0 | 0 |
| A1 | 0.004 | 6.03 | 6.42 |
| A2 | 0.010 | 9.92 | 10.21 |
| Observation Point | X (m) | Y (m) | Z (m) |
|---|---|---|---|
| #1 | −10 | 0 | 0 |
| #2 | −9.238 | −3.827 | 0 |
| #3 | −7.071 | −7.071 | 0 |
| #4 | −9.238 | 0 | −3.827 |
| #5 | −7.071 | 0 | −7.071 |
| #6 | −3.827 | 0 | −9.239 |
| #7 | 0 | 0 | −10 |
Publisher’s Note: MDPI stays neutral with regard to jurisdictional claims in published maps and institutional affiliations. |
© 2022 by the authors. Licensee MDPI, Basel, Switzerland. This article is an open access article distributed under the terms and conditions of the Creative Commons Attribution (CC BY) license (https://creativecommons.org/licenses/by/4.0/).
Share and Cite
Qi, H.; Wang, P.; Jiang, L.; Zhang, Y. Investigation on Aerodynamic Noise Characteristics of Coaxial Rotor in Hover. Appl. Sci. 2022, 12, 2813. https://doi.org/10.3390/app12062813
Qi H, Wang P, Jiang L, Zhang Y. Investigation on Aerodynamic Noise Characteristics of Coaxial Rotor in Hover. Applied Sciences. 2022; 12(6):2813. https://doi.org/10.3390/app12062813
Chicago/Turabian StyleQi, Haotian, Ping Wang, Linsong Jiang, and Yang Zhang. 2022. "Investigation on Aerodynamic Noise Characteristics of Coaxial Rotor in Hover" Applied Sciences 12, no. 6: 2813. https://doi.org/10.3390/app12062813
APA StyleQi, H., Wang, P., Jiang, L., & Zhang, Y. (2022). Investigation on Aerodynamic Noise Characteristics of Coaxial Rotor in Hover. Applied Sciences, 12(6), 2813. https://doi.org/10.3390/app12062813
