System-Level Assessment of Low Complexity Hybrid Precoding Designs for Massive MIMO Downlink Transmissions in Beyond 5G Networks
Abstract
:1. Introduction
- Thorough system-level assessment of a virtualized C-RAN with two clusters sizes, namely, size 1 and 3, where the APs operate in the mmWave/THz bands with massive/ultra-massive antenna arrays combined with low-complexity hybrid precoding architectures. The system-level simulations were performed based on link-level results between the APs and multiple terminals, where it is considered that the ADMM algorithm from [15] is applied for hybrid precoding design at the transmitter side.
- System-level evaluation of the proposed C-RAN in two 5G NR three-dimension (3D) scenarios, namely, the indoor-mixed office (InD-MO) and indoor-open office (InD-OO).
- System-level evaluation demonstrates that low-complexity hybrid precoding-based C-RAN deployments in an indoor scenario can enable the practical implementation of those schemes, which rely on massive/ultra-massive antenna arrays to combat distance limitation and minimize the MUI. While these hybrid designs sacrifice some performance, significant throughput performance and coverage improvements can still be achieved over typical cellular networks.
- System-level assessment of the proposed based C-RAN with the fifth numerology of 5G NR in the 3D indoor-mixed office scenario with different parameters, such as the number of transmitting antennas per user and the number of subcarriers, with the results benchmarked against two alternative MU-MIMO schemes.
2. System Model
2.1. Transmitter and Receiver Model
2.2. Channel Model
2.3. System-Level Scenario
3. Numerical Results
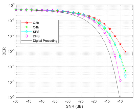
3.1. Link-Level Simulations
3.2. System-Level Simulations
4. Conclusions
Author Contributions
Funding
Institutional Review Board Statement
Informed Consent Statement
Data Availability Statement
Conflicts of Interest
References
- Dang, S.; Amin, O.; Shihada, B.; Alouini, M.S. What should 6G be? Nat. Electron. 2020, 3, 20–29. [Google Scholar] [CrossRef] [Green Version]
- Saad, W.; Bennis, M.; Chen, M. A Vision of 6G Wireless Systems: Applications, Trends, Technologies, and Open Research Problems. IEEE Netw. 2020, 34, 134–142. [Google Scholar] [CrossRef] [Green Version]
- Akyildiz, I.F.; Kak, A.; Nie, S. 6G and Beyond: The Future of Wireless Communications Systems. IEEE Access 2020, 8, 133995–134030. [Google Scholar] [CrossRef]
- Sarieddeen, H.; Alouini, M.-S.; Al-Naffouri, T.Y. An Overview of Signal Processing Techniques for Terahertz Communications. Proc. IEEE 2021, 109, 1628–1665. [Google Scholar] [CrossRef]
- Lin, C.; Li, G.Y.L. Terahertz Communications: An Array-of-Subarrays Solution. IEEE Commun. Mag. 2016, 54, 124–131. [Google Scholar] [CrossRef]
- Faisal, A.; Sarieddeen, H.; Dahrouj, H.; Al-Naffouri, T.; Alouini, M. Ultramassive MIMO Systems at Terahertz Bands: Prospects and Challenges. IEEE Veh. Technol. Mag. 2020, 15, 33–42. [Google Scholar] [CrossRef]
- Castaneda, E.; Silva, A.; Gameiro, A.; Kountouris, M. An Overview on Resource Allocation Techniques for Multi-User MIMO Systems. IEEE Commun. Surv. Tutor. 2017, 19, 239–284. [Google Scholar] [CrossRef] [Green Version]
- Zu, K.; de Lamare, R.; Haardt, M. Generalized Design of Low-Complexity Block Diagonalization Type Precoding Algorithms for Multiuser MIMO Systems. IEEE Trans. Commun. 2013, 61, 4232–4242. [Google Scholar] [CrossRef] [Green Version]
- Lopes, P.; Gerald, J. Leakage-based precoding algorithms for multiple streams per terminal MU-MIMO systems. Digit. Signal Process. 2018, 75, 38–44. [Google Scholar] [CrossRef]
- Guerreiro, J.; Dinis, R.; Montezuma, P.; Marques da Silva, M. On the Achievable Performance of Nonlinear MIMO Systems. IEEE Commun. Lett. 2019, 23, 1725–1729. [Google Scholar] [CrossRef]
- Chataut, R.; Akl, R. Massive MIMO Systems for 5G and beyond Networks—Overview, Recent Trends, Challenges, and Future Research Direction. Sensors 2020, 20, 2753. [Google Scholar] [CrossRef] [PubMed]
- Yuan, H.; An, J.; Yang, N.; Yang, K.; Duong, T.Q. Low Complexity Hybrid Precoding for Multiuser Millimeter Wave Systems Over Frequency Selective Channels. IEEE Trans. Veh. Technol. 2018, 68, 983–987. [Google Scholar] [CrossRef]
- Liu, F.; Kan, X.; Bai, X.; Du, R.; Liu, H.; Zhang, Y. Hybrid precoding based on adaptive RF-chain-to-antenna connection for millimeter wave MIMO systems. Phys. Commun. 2020, 39, 100997. [Google Scholar] [CrossRef]
- Xu, K.; Cai, Y.; Zhao, M.; Niu, Y.; Hanzo, L. MIMO-Aided Nonlinear Hybrid Transceiver Design for Multiuser Mmwave Systems Relying on Tomlinson-Harashima Precoding. IEEE Trans. Veh. Technol. 2021, 70, 6943–6957. [Google Scholar] [CrossRef]
- Pavia, J.; Velez, V.; Ferreira, R.; Souto, N.; Ribeiro, M.; Silva, J.; Dinis, R. Low Complexity Hybrid Precoding Designs for Multiuser mmWave/THz Ultra Massive MIMO Systems. Sensors 2021, 21, 6054. [Google Scholar] [CrossRef]
- Payami, S.; Khalily, M.; Araghi, A.; Loh, T.; Cheadle, D.; Nikitopoulos, K.; Tafazolli, R. Developing the First mmWave Fully-Connected Hybrid Beamformer With a Large Antenna Array. IEEE Access 2020, 8, 141282–141291. [Google Scholar] [CrossRef]
- Loh, T.; Cheadle, D.; Payami, S.; Khalily, M.; Nikitopoulos, K.; Tafazolli, R. Experimental Evaluation of a Millimeter-wave Fully-Connected Hybrid Beamformer with a Large Antenna Array. In Proceedings of the 2021 15th European Conference on Antennas and Propagation (EuCAP), Dusseldorf, Germany, 22–26 March 2021. [Google Scholar]
- Li, X.; Yu, J.; Wang, K.; Kong, M.; Zhou, W.; Zhu, Z.; Wang, C.; Zhao, M.; Chang, G. 120 Gb/s Wireless Terahertz-Wave Signal Delivery by 375 GHz-500 GHz Multi-Carrier in a 2 × 2 MIMO System. J. Lightwave Technol. 2019, 37, 606–611. [Google Scholar] [CrossRef]
- Jia, S.; Zhang, L.; Wang, S.; Li, W.; Qiao, M.; Lu, Z.; Idrees, N.; Pang, X.; Hu, H.; Zhang, X.; et al. 2 × 300 Gbit/s Line Rate PS-64QAM-OFDM THz Photonic-Wireless Transmission. J. Lightwave Technol. 2020, 38, 4715–4721. [Google Scholar] [CrossRef]
- Busari, S.; Huq, K.; Mumtaz, S.; Rodriguez, J. Terahertz Massive MIMO for Beyond-5G Wireless Communication. In Proceedings of the ICC 2019-2019 IEEE International Conference on Communications (ICC), Shanghai, China, 11–22 March 2019. [Google Scholar]
- Akyildiz, I.F.; Han, C.; Hu, Z.; Nie, S.; Jornet, J.M. TeraHertz Band Communication: An Old Problem Revisited and Research Directions for the Next Decade. arXiv 2021, arXiv:2112.13187v1. Available online: https://arxiv.org/abs/2112.13187v1 (accessed on 2 July 2021).
- Godinho, A.; Fernandes, D.; Soares, G.; Pina, P.; Sebastião, P.; Correia, A.; Ferreira, L.S. A Novel Way to Automatically Plan Cellular Networks Supported by Linear Programming and Cloud Computing. Appl. Sci. 2020, 10, 3072. [Google Scholar] [CrossRef]
- Jao, C.; Wang, C.-Y.; Yeh, T.-Y.; Tsai, C.-C.; Lo, L.-C.; Chen, J.-H.; Pao, W.-C.; Sheen, W. WiSE: A System-Level Simulator for 5G Mobile Networks. IEEE Wirel. Commun. 2018, 25, 4–7. [Google Scholar] [CrossRef]
- Riviello, D.G.; Di Stasio, F.; Tuninato, R. Performance Analysis of Multi-User MIMO Schemes under Realistic 3GPP 3-D Channel Model for 5G mmWave Cellular Networks. Electronics 2022, 11, 330. [Google Scholar] [CrossRef]
- 3rd Generation Partnership Project (3GPP). TR 38.901 v14.1.1, Study on Channel Model for Frequencies from 0.5 to 100 GHz, Release 14. 2017. Available online: www.3gpp.org/ftp/Specs/archive/38_series/38.901/38901-g10.zip (accessed on 1 November 2021).
- Bechta, K.; Kelner, J.; Ziółkowski, C.; Nowosielski, L. Inter-Beam Co-Channel Downlink and Uplink Interference for 5G New Radio in mm-Wave Bands. Sensors 2021, 21, 793. [Google Scholar] [CrossRef] [PubMed]
- Zaidi, S.; Ben Smida, O.; Affes, S.; Vilaipornsawai, U.; Zhang, L.; Zhu, P. User-Centric Base-Station Wireless Access Virtualization for Future 5G Networks. IEEE Trans. Commun. 2019, 67, 5190–5202. [Google Scholar] [CrossRef]
- Yuan, H.; Yang, N.; Yang, K.; Han, C.; An, J. Hybrid Beamforming for Terahertz Multi-Carrier Systems Over Frequency Selective Fading. IEEE Trans. Commun. 2020, 68, 6186–6199. [Google Scholar] [CrossRef]
- Yan, L.; Han, C.; Yuan, J. A Dynamic Array-of-Subarrays Architecture and Hybrid Precoding Algorithms for Terahertz Wireless Communications. IEEE J. Sel. Areas Commun. 2020, 38, 2041–2056. [Google Scholar] [CrossRef]
- Han, C.; Yan, L.; Yuan, J. Hybrid Beamforming for Terahertz Wireless Communications: Challenges, Architectures, and Open Problems. IEEE Wirel. Commun. 2021, 28, 198–204. [Google Scholar] [CrossRef]
- Ning, B.; Zhongbao, T.; Chen, Z.; Han, C.; Yuan, J.; Li, S. TeraMIMO Prospective Beamforming Technologies for Ultra-Massive MIMO in Terahertz Communications: A Tutorial. arXiv 2021, arXiv:2107.03032v2. Available online: https://arxiv.org/abs/2107.03032v2 (accessed on 2 January 2022).
- Basar, E.; Yildirim, I. SimRIS Channel Simulator for Reconfigurable Intelligent Surface-Empowered Communication Systems. In Proceedings of the 2020 IEEE Latin-American Conference on Communications (LATINCOM), Online, 18–20 November 2020; pp. 1–6. [Google Scholar]
- Ju, S.; Xing, Y.; Kanhere, O.; Rappaport, T.S. Millimeter Wave and Sub-Terahertz Spatial Statistical Channel Model for an Indoor Office Building. arXiv 2021, arXiv:2103.17127v1. [Google Scholar] [CrossRef]
- Yu, X.; Zhang, J.; Letaief, K. Alternating minimization for hybrid precoding in multiuser OFDM mmWave systems. In Proceedings of the 2016 50th Asilomar Conference on Signals, Systems and Computers, Pacific Grove, CA, USA, 6–9 November 2016. [Google Scholar]
- Yu, X.; Zhang, J.; Letaief, K.B. Doubling Phase Shifters for Efficient Hybrid Precoder Design in Millimeter-Wave Communication Systems. J. Commun. Inf. Netw. 2019, 4, 51–67. [Google Scholar]














| Acronym | Designation |
|---|---|
| 3D | Three-dimensional |
| 3GPP | The 3rd Generation Partnership Project |
| 5G | The fifth generation of wireless communications |
| 5GNR | 5G New radio |
| 6G | The sixth generation of wireless communications |
| ADMM | Alternating direction method of multipliers |
| AM | Alternating minimization |
| AOA | Average angle of arrival |
| AOD | Average angle of departure |
| AoSA | Array of subarrays |
| AP | Access point |
| B5G | Beyond 5G |
| BER | Bit error rate |
| BLER | Block error rate |
| CDL | Cluster delay line |
| C-RAN | Cloud radio access network |
| CSI | Channel state information |
| DAoSA | Dynamic array of subarrays |
| DPS | Double phase shifters |
| EC | Energy consumption |
| EE | Energy efficiency |
| FC | Fully-connected |
| InD-MO | Indoor-mixed office |
| InD-OO | Indoor-open office |
| LASSO | Least absolute shrinkage and selection operator |
| LOS | Line-of-sight |
| MIMO | Multiple Input Multiple Output |
| MU | Multi-user |
| MUI | Multi-user interference |
| MU-MIMO | Multi-user MIMO |
| mmWave | Millimeter wave |
| NLOS | Non-line of sight |
| PC | Partially-connected |
| QPS | Quantized phase shifters |
| UM-MIMO | Ultra-massive MIMO |
| SE | Spectral efficiency |
| SNR | Signal-to-noise ratio |
| SPS | Single phase shifters |
| SU | Single-user |
| TDL | Tapped delay line |
| TRP | Transmission and reception point |
| THz | Terahertz |
| UE | User equipment |
| UPA | Uniform planar array |
| Parameters | Indoor-Office | |
|---|---|---|
| Layout | Room size (WxLxH) | 120 m × 50 m × 3 m |
| ISD | 20 m | |
| AP antenna height | 3 m (ceiling) | |
| UE location | LOS/NLOS | LOS and NLOS |
| Height | 1.5 m | |
| UE mobility (horizontal plane only) | 3 km/h | |
| Min. AP-UE distance (2D) | 0 | |
| UE distribution (horizontal) | Uniform | |
| Transmitted Power (mW) | Cluster Size | Average Throughput (Mbps) | |
|---|---|---|---|
| MO | OO | ||
| 10 | 1C | 542.6 | 388.3 |
| 10 | 3C | 725.6 | 648.2 |
| 100 | 1C | 551.6 | 411.6 |
| 100 | 3C | 733.4 | 662.8 |
| 1000 | 1C | 526.3 | 376.3 |
| 1000 | 3C | 722.3 | 665.8 |
Publisher’s Note: MDPI stays neutral with regard to jurisdictional claims in published maps and institutional affiliations. |
© 2022 by the authors. Licensee MDPI, Basel, Switzerland. This article is an open access article distributed under the terms and conditions of the Creative Commons Attribution (CC BY) license (https://creativecommons.org/licenses/by/4.0/).
Share and Cite
Pavia, J.P.; Velez, V.; Souto, N.; Ribeiro, M.; Sebastião, P.; Correia, A. System-Level Assessment of Low Complexity Hybrid Precoding Designs for Massive MIMO Downlink Transmissions in Beyond 5G Networks. Appl. Sci. 2022, 12, 2812. https://doi.org/10.3390/app12062812
Pavia JP, Velez V, Souto N, Ribeiro M, Sebastião P, Correia A. System-Level Assessment of Low Complexity Hybrid Precoding Designs for Massive MIMO Downlink Transmissions in Beyond 5G Networks. Applied Sciences. 2022; 12(6):2812. https://doi.org/10.3390/app12062812
Chicago/Turabian StylePavia, João Pedro, Vasco Velez, Nuno Souto, Marco Ribeiro, Pedro Sebastião, and Américo Correia. 2022. "System-Level Assessment of Low Complexity Hybrid Precoding Designs for Massive MIMO Downlink Transmissions in Beyond 5G Networks" Applied Sciences 12, no. 6: 2812. https://doi.org/10.3390/app12062812
APA StylePavia, J. P., Velez, V., Souto, N., Ribeiro, M., Sebastião, P., & Correia, A. (2022). System-Level Assessment of Low Complexity Hybrid Precoding Designs for Massive MIMO Downlink Transmissions in Beyond 5G Networks. Applied Sciences, 12(6), 2812. https://doi.org/10.3390/app12062812

