Effects of Temperature and Strain Rate on the Ductility of an API X65 Grade Steel
Abstract
1. Introduction
2. Numerical Models
2.1. Plasticity Models
2.2. Ductile Damage Models
3. Experimental Setup and Testing
3.1. Dynamic Setup for High Strain Rate Tests
3.1.1. Optimization of Samples for Dynamic Tests
- average strain rate of about 2000 s−1 for all three geometries;
- equivalent plastic strain rate at the specimen core that is as constant as possible;
- triaxiality at the specimen core that is as constant as possible;
- much higher triaxiality in the round notch specimen (RN) than in the round bar (RB) and plane strain specimens (PS).
3.2. Setup for Static Temperature Tests
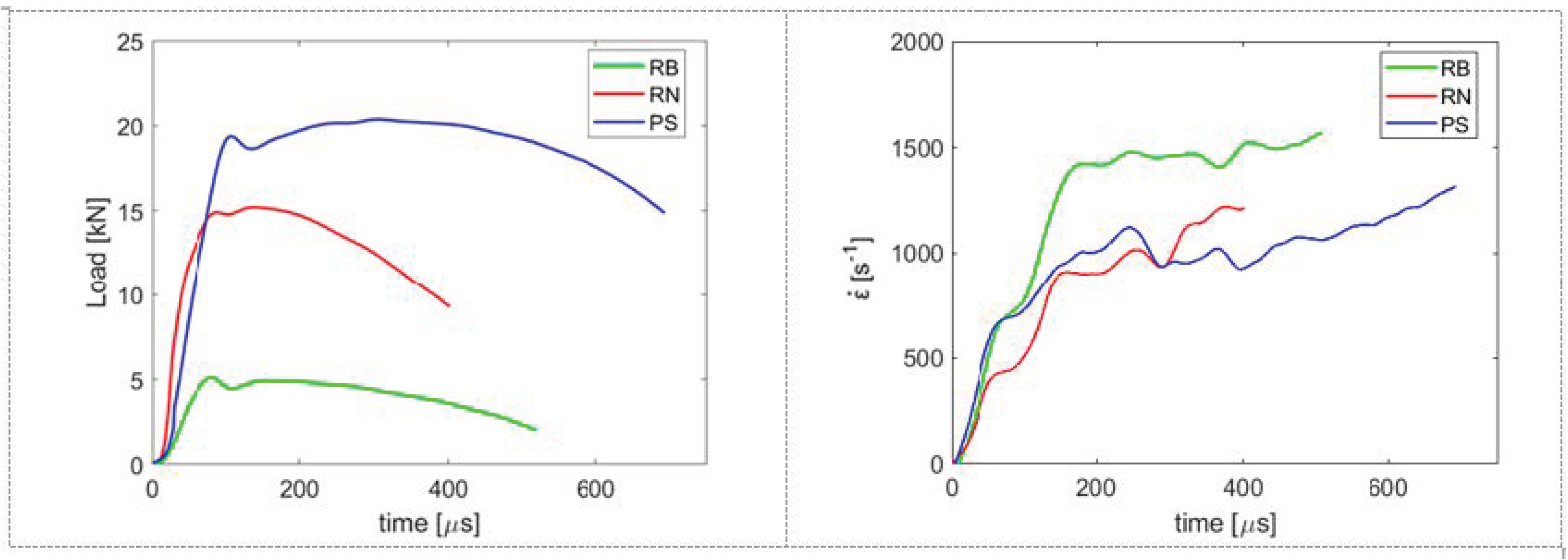
4. Dynamic Tests: Results and Discussion
5. Tests at Different Temperatures: Results and Discussion
6. Conclusions
Author Contributions
Funding
Institutional Review Board Statement
Informed Consent Statement
Data Availability Statement
Conflicts of Interest
References
- Liang, R.Q.; Khan, A.S. A critical review of experimental results and constitutive models for BCC and FCC metals over a wide range of strain rates and temperatures. Int. J. Plast. 1999, 15, 963–980. [Google Scholar] [CrossRef]
- Kocks, U.F.; Argon, A.S.; Ashby, M.F. Thermodynamics and Kinetics of Slip; Pergamon Press: Oxford, UK, 1975. [Google Scholar]
- Balasubramanian, S.; Anand, L. Elasto-viscoplastic constitutive equations for polycrystalline fcc materials at low homologous temperatures. J. Mech. Phys. Solids 2002, 50, 101–126. [Google Scholar] [CrossRef]
- Testa, G.; Bonora, N.; Ruggiero, A.; Iannitti, G. Flow Stress of bcc Metals over a Wide Range of Temperature and Strain Rates. Metals 2020, 10, 120. [Google Scholar] [CrossRef]
- Zerilli, F.J.; Armstrong, R.W. Dislocation-mechanics-based constitutive relations for material dynamics calculations. J. Appl. Phys. 1987, 61, 1816–1825. [Google Scholar] [CrossRef]
- Cowper, G.R.; Symonds, P.S. Strain-Hardening and Strain-Rate Effects in the Impact Loading of Cantilever Beams; Technical Report; Brown University: Providence, RI, USA, 1957. [Google Scholar]
- Bodner, S.R.; Partom, Y. Constitutive equations for elastic-viscoplastic strain-hardening materials. J. Appl. Mech. 1975, 42, 385–389. [Google Scholar] [CrossRef]
- Johnson, G.R.; Cook, W.H. Fracture characteristics of three metals subjected to various strains, strain rates, temperatures and pressures. Eng. Fract. Mech. 1985, 21, 31–48. [Google Scholar] [CrossRef]
- Cao, T.S. Models for ductile damage and fracture prediction in cold bulk metal forming processes: A review. Int. J. Mater. Form. 2017, 10, 139–171. [Google Scholar] [CrossRef]
- Khan, A.S.; Baig, M.; Choi, S.-H.; Yang, H.-S.; Sun, X. Quasi-static and dynamic responses of advanced high strength steels: Experiments and modeling. Int. J. Plast. 2012, 30–31, 1–17. [Google Scholar] [CrossRef]
- Roth, C.C.; Mohr, D. Effect of strain rate on ductile fracture initiation in advanced high strength steel sheets: Experiments and modeling. Int. J. Plast. 2014, 56, 19–44. [Google Scholar] [CrossRef]
- Oliver, S.; Jones, T.B.; Fourlaris, G. Dual phase versus TRIP strip steels: Microstructural changes as a consequence of quasi-static and dynamic tensile testing. Mater. Charact. 2007, 58, 390–400. [Google Scholar] [CrossRef]
- Huh, H.; Kim, S.B.; Song, J.H.; Lim, J.H. Dynamic tensile characteristics of TRIP-type and DP-type steel sheets for an auto-body. Int. J. Mech. Sci. 2008, 50, 918–931. [Google Scholar] [CrossRef]
- Huh, J.; Huh, H.; Lee, C.S. Effect of strain rate on plastic anisotropy of advanced high strength steel sheets. Int. J. Plast. 2013, 44, 23–46. [Google Scholar] [CrossRef]
- Depraetere, R.; Cauwels, M.; De Waele, W.; Depover, T.; Verbeken, K.; Hertelé, S. Calibrating a ductile damage model for two pipeline steels: Method and challenges. Procedia Struct. Integr. 2020, 28, 2267–2276. [Google Scholar] [CrossRef]
- Wu, Y.; Zhang, Y.; Li, L. Analysis of ductile damage changes of pipelines with unconstrained dents in rebound process. Eng. Fail. Anal. 2021, 120, 105071. [Google Scholar] [CrossRef]
- Dong, X.X.; Shen, Y.F.; Xue, W.Y.; Jia, N. Improved work hardening of a medium carbon-TRIP steel by partial decomposition of retained austenite. Mater. Sci. Eng. A 2021, 803, 140504. [Google Scholar] [CrossRef]
- Rice, J.R.; Tracey, D.M. On the ductile enlargement of voids in triaxial stress fields. J. Mech. Phys. Solids 1969, 17, 201–217. [Google Scholar] [CrossRef]
- Gurson, A.L. Continuum theory of ductile rupture by void nucleation and growth. Part I. Yield criteria and flow rules for porous ductile media. J. Eng. Mater. Technol. 1977, 99, 2–15. [Google Scholar] [CrossRef]
- Tvergaard, V.; Needleman, A. Analysis of the cup-cone fracture in a round tensile bar. Acta Mater. 1984, 32, 157–169. [Google Scholar] [CrossRef]
- Nahshon, K.; Hutchinson, J.W. Modification of the Gurson model for shear failure. Eur. J. Mech. A Solids 2008, 27, 1–17. [Google Scholar] [CrossRef]
- Bonora, N. A nonlinear CDM model for ductile failure. Eng. Fract. Mech. 1997, 58, 11–28. [Google Scholar] [CrossRef]
- Bonora, N.; Milella, P.P. Constitutive modeling for ductile metals behavior incorporating strain rate, temperature and damage mechanics. Int. J. Impact Eng. 2001, 26, 53–64. [Google Scholar] [CrossRef]
- Cockcroft, M.G.; Latham, D.J. Ductility and the workability of metals. J. Inst. Met. 1968, 96, 33–39. [Google Scholar]
- Bao, Y.; Wierzbicki, T. On fracture locus in the equivalent strain and stress triaxiality space. Int. J. Mech. Sci. 2004, 46, 81–98. [Google Scholar] [CrossRef]
- Wierzbicki, T.; Xue, L. On the Effect of the Third Invariant of the Stress Deviator on Ductile Fracture; Technical Report; Impact and Crashworthiness Laboratory, Massachusetts Institute of Technology: Cambridge, MA, USA, 2005. [Google Scholar]
- Bai, Y.; Wierzbicki, T. A new model of metal plasticity and fracture with pressure and lode dependence. Int. J. Plast. 2008, 24, 1071–1096. [Google Scholar] [CrossRef]
- Bai, Y.; Wierzbicki, T. Application of extended Mohr–Coulomb criterion to ductile fracture. Int. J. Fract. 2010, 161, 1. [Google Scholar] [CrossRef]
- Fossum, A.; Brannon, R. On a viscoplastic model for rocks with mechanism-dependent characteristic times. Acta Geotech. 2006, 1, 89–106. [Google Scholar] [CrossRef]
- Coppola, T.; Cortese, L.; Folgarait, P. The effect of stress invariants on ductile fracture limit in steels. Eng. Fract. Mech. 2009, 76, 1288–1302. [Google Scholar] [CrossRef]
- Cortese, L.; Coppola, T.; Campanelli, F.; Campana, F.; Sasso, M. Prediction of ductile failure materials for onshore and offshore pipeline applications. Int. J. Damage Mech. 2014, 23, 104–123. [Google Scholar] [CrossRef]
- Johnson, G.R.; Cook, W.H. A constitutive model and data for metals subjected to large strains, high strain rates, and high temperatures. In Proceedings of the Seventh International Symposium on Ballistics, International Ballistics Committee, Hague, The Netherlands, 19–21 April 1983; pp. 541–547. [Google Scholar]
- Mancini, E.; Sasso, M.; Rossi, M.; Chiappini, G.; Newaz, G.; Amodio, D. Design of an Innovative System for Wave Generation in Direct Tension–Compression Split Hopkinson Bar. J. Dyn. Behav. Mater. 2015, 1, 201–213. [Google Scholar] [CrossRef]
- Martarelli, M.; Mancini, E.; Lonzi, B.; Sasso, M. Sensor calibration of polymeric Hopkinson bars for dynamic testing of soft materials. Meas. Sci. Technol. 2018, 17, 761–775. [Google Scholar] [CrossRef]
- Yanagimoto, J.; Oyamada, K. Mechanism of springback-free bending of high-strength steel sheets under warm forming conditions. CIRP Ann. 2007, 56, 265–268. [Google Scholar] [CrossRef]
- Neugebauer, R.; Altan, T.; Geiger, M.; Kleiner, M.; Sterzing, A. Sheet metal forming at elevated temperatures. CIRP Ann. 2006, 55, 793–816. [Google Scholar] [CrossRef]
- Rusin, A.; Stolecka-Antczak, K.; Kapusta, K.; Rogozinski, K.; Rusin, K. Analysis of the Effects of Failure of a Gas Pipeline Caused by a Mechanical Damage. Energies 2021, 14, 7686. [Google Scholar] [CrossRef]
- Kristoffersen, M.; Børvik, T.; Westermann, I.; Langseth, M.; Hopperstad, O.S. Impact against X65 steel pipes—An experimental investigation. Int. J. Solids. Struct. 2013, 50, 3430–3445. [Google Scholar] [CrossRef]
- Mirone, G.; Barbagallo, R. Coupling of temperature and strain in thermal softening of a stainless steel at low and high strain rates. Procedia Struct. Integr. 2019, 24, 259–266. [Google Scholar] [CrossRef]
- Hopkinson, B. A Method of Measuring the Pressure Produced in the Detonation of Explosives or by the Impact of Bullets. Proc. R. Soc. Lond. A 1914, 89, 411–413. [Google Scholar] [CrossRef]
- Kolsky, H. An Investigation of the Mechanical Properties of Materials at Very High Rates of Loading. Proc. Phys. Soc. B 1949, 62, 676–700. [Google Scholar] [CrossRef]
- Song, B.; Chen, W. Split Hopkinson Kolsky Bar: Design Testing and Applications; Springer: New York, NY, USA, 2010. [Google Scholar]
- Sasso, M.; Mancini, E.; Cortese, L.; Nalli, F. Design and Optimization of Dynamic Test Samples for Ductile Damage Assessment. In Proceedings of the DYMAT 2018—12th International Conference on the Mechanical and Physical Behaviour of Materials under Dynamic Loading, Arcachon, France, 9–14 September 2018. [Google Scholar] [CrossRef][Green Version]
- Mori, K.; Saito, S.; Maki, S. Warm and hot punching of ultra high strength steel sheet. CIRP Ann. 2008, 57, 321–324. [Google Scholar] [CrossRef]
- Peroni, L.; Scapin, M.; Fichera, C. An advanced identification procedure for material model parameters based on image analysis. In Proceedings of the 10th European LS-DYNA Conference, Würzburg, Germany, 15–17 June 2015. [Google Scholar]
- Sasso, M.; Fardmoshiri, M.; Mancini, E.; Rossi, M.; Cortese, L. High speed imaging for material parameters calibration at high strain rate. Eur. Phys. J. Spec. Top. 2016, 225, 295–309. [Google Scholar] [CrossRef]

















| Material | Delivery State | Density (kg/m3) | Specific Heat (J/(kg °C) | Yield Stress (MPa) | Ultimate Stress (MPa) | Elongation at Fracture (%) |
|---|---|---|---|---|---|---|
| API X65 | Quenched and tempered | 7800 | 486 | 464 | 530 | 18 |
| Geom. Type | D/t | L | R | Wave Amp. | Plastic Strain Rate | Triaxiality | Max Equiv. Plastic Strain | ||
|---|---|---|---|---|---|---|---|---|---|
| Avg. | ±SD | Avg. | ±SD | ||||||
| (mm) | (mm) | (mm) | (MPa) | (1/s) | (1/s) | (−) | (−) | (mm/mm) | |
| RB | 3 | 3 | 3 | 75 | 2200 | 700 | 0.59 | 0.15 | 1.52 |
| RN | 4.5 | - | 1.5 | 110 | 2000 | 440 | 1.16 | 0.02 | 0.94 |
| PS | 2.5 | 3 | 3 | 140 | 2100 | 740 | 0.67 | 0.08 | 0.89 |
| Johnson–Cook | ||||
|---|---|---|---|---|
| A (MPa) | B (MPa) | n (−) | C (−) | m (−) |
| 464 | 401 | 0.439 | 0.047 | 0.464 |
| Zerilli-Armstrong | |||||
|---|---|---|---|---|---|
(MPa) | (MPa) | (−) | (−) | (MPa) | n (−) |
| 363 | 668 | 0.004 | 0.001 | 401 | 0.439 |
| Johnson–Cook | ||||||||
|---|---|---|---|---|---|---|---|---|
| CCF | BW | |||||||
| Test | (−) | (−) | (m/m) | (m/m) | RE (%) | (m/m) | RE (%) | |
| RB | 2570 | 0.61 | 1.00 | 1.31 | 1.32 | −0.76 | 1.68 | −28.24 |
| RN | 1960 | 1.24 | 1.00 | 0.75 | 0.75 | 0.00 | 0.88 | −17.33 |
| PS | 2250 | 0.69 | 0.24 | 1.56 | 1.55 | +0.64 | 1.47 | +5.77 |
| Zerilli–Armstrong | ||||||||
|---|---|---|---|---|---|---|---|---|
| CCF | BW | |||||||
| Test | (−) | (−) | (m/m) | (m/m) | RE (%) | (m/m) | RE (%) | |
| RB | 2300 | 0.61 | 1.00 | 1.17 | 1.21 | −3.42 | 1.64 | −40.17 |
| RN | 1960 | 1.35 | 1.00 | 0.75 | 0.76 | −1.33 | 0.82 | −9.33 |
| PS | 2105 | 0.69 | 0.30 | 1.46 | 1.42 | +2.74 | 1.41 | +3.42 |
| CCF | BW | |||||||
|---|---|---|---|---|---|---|---|---|
| Plasticity Model | (−) | (−) | (−) | (−) | SD (−) | (−) | (MPa) | SD (−) |
| JC | 0.44 | 0.89 | 0 | 1.00 | 1.1 × 10−2 | 0.49 | 470.24 | 0.28 |
| ZA | 0.56 | 0.63 | 0 | 1.00 | 4.1 × 10 −2 | 0.41 | 428.17 | 0.34 |
(MPa) | (MPa) | (−) | (MPa) | |
|---|---|---|---|---|
| 20 °C | 464 | 150 | 15 | 250 |
| 600 °C | 230 | 160 | 100 | 220 |
| 700 °C | 150 | 75 | 100 | 200 |
| RB | RN | PS | |
|---|---|---|---|
| 20 °C | 1.43 | 0.86 | 0.79 |
| 600 °C | 2.20 | 0.90 | 1.32 |
| 700 °C | 2.40 | 0.60 | 1.63 |
| 0.56 | 1.14 | 0.75 | |
| 1.00 | 1.00 | 0.10 | |
| SD CCF | SD WB | |||||
|---|---|---|---|---|---|---|
| 20 °C | 0.34 | 1.22 | 1.00 | 1.00 | 0.18 | 0.27 |
| 600 °C | 0.23 | 1.35 | 1.00 | 0.90 | 0.12 | 0.24 |
| 700 °C | 0.13 | 2.20 | 0.90 | 0.20 | 0.15 | 0.29 |
Publisher’s Note: MDPI stays neutral with regard to jurisdictional claims in published maps and institutional affiliations. |
© 2022 by the authors. Licensee MDPI, Basel, Switzerland. This article is an open access article distributed under the terms and conditions of the Creative Commons Attribution (CC BY) license (https://creativecommons.org/licenses/by/4.0/).
Share and Cite
Cortis, G.; Nalli, F.; Sasso, M.; Cortese, L.; Mancini, E. Effects of Temperature and Strain Rate on the Ductility of an API X65 Grade Steel. Appl. Sci. 2022, 12, 2444. https://doi.org/10.3390/app12052444
Cortis G, Nalli F, Sasso M, Cortese L, Mancini E. Effects of Temperature and Strain Rate on the Ductility of an API X65 Grade Steel. Applied Sciences. 2022; 12(5):2444. https://doi.org/10.3390/app12052444
Chicago/Turabian StyleCortis, Gabriele, Filippo Nalli, Marco Sasso, Luca Cortese, and Edoardo Mancini. 2022. "Effects of Temperature and Strain Rate on the Ductility of an API X65 Grade Steel" Applied Sciences 12, no. 5: 2444. https://doi.org/10.3390/app12052444
APA StyleCortis, G., Nalli, F., Sasso, M., Cortese, L., & Mancini, E. (2022). Effects of Temperature and Strain Rate on the Ductility of an API X65 Grade Steel. Applied Sciences, 12(5), 2444. https://doi.org/10.3390/app12052444

