The BCL Method for DSSC: Basis and Applications †
Abstract
:1. Introduction
2. Materials and Methods
2.1. Materials
2.2. Methods
3. Mapping Electronic Density in the Ligand Excited State
3.1. Theoretical Background
3.2. Results
4. A Big Challenge: Understanding the Absorption Band of Ruthenium Dyes
4.1. Results
4.1.1. Absorption Spectra of Ligands
4.1.2. Absorption Spectra of Complexes
4.1.3. Transition Density Analisys (TDA)
4.1.4. Analisys of MLCT Band
4.1.5. Triplet State
5. The IT Parameter: A Measure of the Electronic Density on the Anchor Group
5.1. Results
5.1.1. Analisys and Characterization of Ligands
Eletrophilicity
Charge Distribution in the SOMO
5.1.2. Analisys of Complexes
Molecular Orbitals
Evaluation of Complexes as Dye Sensitizers
6. Reproducing the Photo Conversion Efficiency of a series of Ruthenium Dyes with a Three-Parameter Model
6.1. Theoretical Background
6.1.1. The Global Efficiency Index
- D-Ti(OH)3− + hυ → D*-Ti(OH)3 (F1);
- D*-Ti(OH)3 → D+-Ti(OH)3(−) (F2);
- D+-Ti(OH)3 + R- → D+-Ti(OH)3 + R (F3).
6.1.2. Available Energy for Injection (F1)
6.1.3. Amount of Charge Injected (F2)
The Linker–Acceptor Interface
Electron Injection
6.1.4. Effectivness of Regeneration (F3)
6.2. Results
6.2.1. Aceptor–Donor Properties of a Ligand
6.2.2. Theoretical Evaluation of Complexes as Sensitizers
7. The Role of Lithium on the Photo Conversion Efficiency of Ruthenium Dyes
7.1. Adduct Generation
7.2. Results
7.2.1. Structure and Geometry
7.2.2. Molecular Orbitals
7.2.3. Absorption Spectra and Stark Shift
7.2.4. Effect on the Performance Index
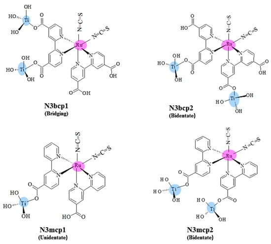
8. Improvement of the Performance of N3 with a Mono Carboxylate Ligand
8.1. Method
8.1.1. Molecular Design
8.1.2. Computationals Details
8.2. Results
Author Contributions
Funding
Acknowledgments
Conflicts of Interest
References
- O’Regan, B.; Grätzel, M. A low-cost, high-efficiency solar cell based on dye-sensitized colloidal TiO2 films. Nature 1991, 353, 737–740. [Google Scholar] [CrossRef]
- Aghazada, S.; Nazeeruddin, M. Ruthenium Complexes as Sensitizers in Dye-Sensitized Solar Cells. Inorganics 2018, 6, 52. [Google Scholar] [CrossRef] [Green Version]
- Nazeeruddin, M.; Péchy, P.; Renouard, T.; Zakeeruddin, S.M.; Humphry-Baker, R.; Comte, P.; Liska, P.; Cevey, L.; Costa, E.; Shklover, V.; et al. Engineering of efficient panchromatic sensitizers for nanocrystalline TiO2-based solar cells. J. Am. Chem. Soc. 2011, 123, 1613–1624. [Google Scholar] [CrossRef]
- Green, M.; Dunlop, E.; Hohl-Ebinger, J.; Yoshita, M.; Kopidakis, N.; Ho-Baillie, W.Y. Solar Cell Efficiency Tables (Version 55). Prog. Photovolt. 2020, 28, 3–15. [Google Scholar] [CrossRef]
- Arias, M.; Concepción, J.; Crivelli, I.; Delgadillo, A.; Díaz, R.; François, A.; Gajardo, F.; López, R.; Leiva, A.M.; Loeb, B. Influence of Ligand Structure and Molecular Geometry on the Properties of d6 Polypyridinic Transition Metal Complexes. Chem. Phys. 2006, 326, 54–70. [Google Scholar] [CrossRef] [Green Version]
- Norambuena, E.; Olea-Azar, C.; Delgadillo, A.; Barrera, M.; Loeb, B. Comparative evaluation of the acceptor properties of quinone derivatized polypyridinic ligands. Chem. Phys. 2009, 359, 92–100. [Google Scholar] [CrossRef]
- Gajardo, F.; Barrera, M.; Vargas, R.; Crivelli, I.; Loeb, B. Influence of the Nature of the Absorption Band on the Potential Performance of High Molar Extinction Coefficient Ruthenium(II) Polypyridinic Complexes as Dyes for Sensitized Solar Cells. Inorg. Chem. 2011, 50, 5910–5924. [Google Scholar] [CrossRef]
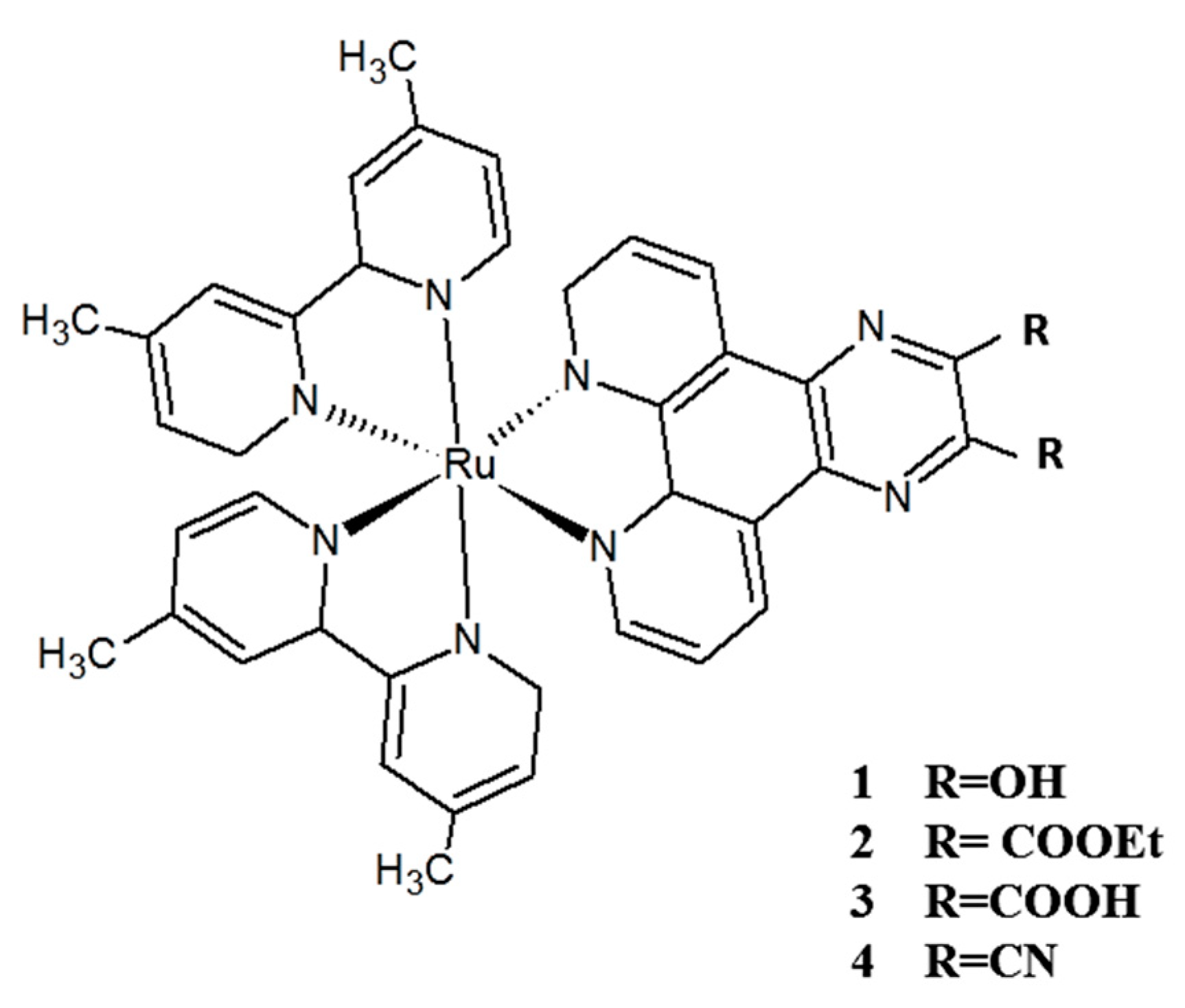
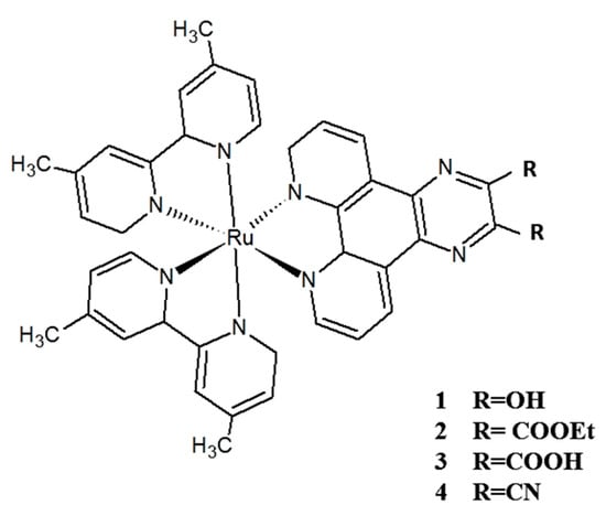
- François, A.; Díaz, R.; Ramírez, A.; Loeb, B.; Barrera, M.; Crivelli, I. Evaluation of the potential effectiveness of Ruthenium(II) complexes with 2,3-disubtituted pyrazino[2,3-f][1,10]phenanthroline anchors, R2ppl (R = CN, COOH, COOEt, OH) as sensitizers for solar cells. Polyhedron 2013, 52, 62–71. [Google Scholar] [CrossRef]
- Te Velde, G.T.; Bickelhaupt, F.M.; Baerends, E.J.; Fonseca Guerra, C.; van Gisbergen, S.J.; Snijders, J.G.; Ziegler, T. Chemistry with ADF. J. Comput. Chem. 2001, 22, 931–967. [Google Scholar] [CrossRef]
- Parr, R.; Szentpaly, L.; Liu, S.J. Electrophilicity Index. J. Am. Chem. Soc. 1999, 121, 1922–1944. [Google Scholar] [CrossRef]
- Fukui, F. Role of frontier orbital in chemical reactions. Science 1982, 218, 747–754. [Google Scholar] [CrossRef] [PubMed] [Green Version]
- Bruker. Bruker Win-EPR System. Bruker–Franzen Analytik 6 mbH; Version 2.11; Copywrite 1990–1996; Bruker: Billerica, MA, USA, 1995. [Google Scholar]
- Grätzel, M. The Advent of Mesoscopic Injection Solar Cells. Prog. Photovolt Res. Appl. 2006, 14, 429–444. [Google Scholar] [CrossRef]
- Beer, P.D.; Kocian, O.; Mortimer, R.J.; Ridgway, C. New alkynyl- and vinyl-linked benzo- and aza-crown etherbipyridyl ruthenium(II) complexes which spectrochemically recognize Group IA and IIA metal cations. J. Chem. Soc. Dalton Trans. 1993, pp. 2629–2638. Available online: https://fdocuments.net/document/new-alkynyl-and-vinyl-linked-benzo-and-aza-crown-etherbipyridyl-rutheniumii.html?page=3 (accessed on 24 November 2021).
- Cook, M.J.; Lewis, A.P.; McAuliffe, G.S.G.; Skarda, V.; Thomson, A.J.; Glasper, J.L.; Robbins, D.J. Luminescent metal complexes. Part 1. Tris-chelates of substituted 2,2′-bipyridyls with ruthenium (II) as dyes for luminescent solar collectors. J. Chem. Soc., Perkin Trans II. 1984, pp. 1293–1301. Available online: https://www.semanticscholar.org/paper/Luminescent-metal-complexes.-Part-1.-Tris-chelates-Cook-Lewis/8a945b0317d7f4923bf76ae789d0f6b6c2bd126a (accessed on 24 November 2021).
- Song, L.G.; Feng, J.; Wang, X.-S.; Yu, J.-H.; Hou, Y.-J.; Xie, P.-H.; Zhang, B.-W.; Xiang, J.-F.; Ai, X.-C.; Zhang, J.P. Dual Emission from 3MLCT and 3ILCT Excited States in a New Ru(II) Diimine Complex. Inorg. Chem. 2003, 42, 3393–3395. [Google Scholar] [CrossRef] [PubMed]
- Han, X.; Wu, L.-Z.; Si, G.; Pan, J.; Yang, Q.-Z.; Zhang, L.-P.; Tung, C.-H. Switching between Ligand-to-Ligand Charge-Transfer, Intraligand Charge-Transfer, and Metal-to-Ligand Charge-Transfer Excited States in Platinum(II) Terpyridyl Acetylide Complexes Induced by pH Change and Metal Ions. Chem. Eur. J. 2007, 13, 1231–1237. [Google Scholar] [CrossRef] [PubMed]
- Barrera, M.; Crivelli, I.; Loeb, B. On the performance of ruthenium dyes in dye sensitized solar cells: A free cluster approach based on theoretical indexes. J. Mol. Model. 2016, 22, 118. [Google Scholar] [CrossRef]
- Green, M.; Dunlop, E.; Hohl-Ebinger, J.; Yoshita, M.; Kopidakis, N.; Hao, X. Solar cell efficiency tables (version 57). Prog. Photovolt Res. Appl. 2021, 29, 3–15. [Google Scholar] [CrossRef]
- Staniszewski, A.; Ardo, S.; Sun, Y.; Castellano, F.; Meyer, G. Slow Cation Transfer Follows Sensitizer Regeneration at Anatase TiO2 Interfaces. J. Am. Chem. Soc. 2008, 130, 11586–11587. [Google Scholar] [CrossRef]
- Pastore, M.; De Angelis, P. Computational Modeling of Stark Effects in Organic Dye-Sensitized TiO2 Hetero interfaces. J. Phys. Chem. Lett. 2011, 2, 1261–1267. [Google Scholar] [CrossRef]
- Barrera, M.; Ardo, S.; Crivelli, I.; Loeb, B.; Meyer, G.J. The role of lithium cations on the photochemistry of Ruthenium complexes in dye-sensitized solar cells: A TDDFT study with the BCL model. J. Photochem. Photobiol. A. 2018, 364, 510–515. [Google Scholar] [CrossRef]
- Liu, J.; Wang, J.; Xu, C.; Jiang, H.; Li, C.H.; Zhang, L.; Lin, J.; Shen, Z.X. Advanced Energy Storage: Basic Principles, Analytical Methods, and Rationale Material Design. Adv. Sci. 2018, 5, 1700322. [Google Scholar] [CrossRef]
- Liang, X.; Liu, L.; Cai, G.; Yang, P.; Pei, Y.; Liu, C. Evidence for Pseudocapacitance and Faradaic Charge Transfer in High-Mobility Thin-Film Transistors with Solution-Processed Oxide Dielectrics. J. Phys. Chem. Lett. 2020, 11, 2765–2771. [Google Scholar] [CrossRef] [PubMed]
- Ardo, S.; Meyer, G.J. Photodriven heterogeneous charge transfer with transition-metal compounds anchored to TiO2 semiconductor surfaces. Chem. Soc. Rev. 2009, 38, 115–164. [Google Scholar] [CrossRef] [PubMed]
- Iturbe, C.; Loeb, B.; Barrera, M.; Brito, I.; Cañete, A. Design and synthesis of non-symmetric phenylpyridine type ligands. Experimental and theoretical studies of their corresponding iridium complexes. Polyhedron 2016, 118, 159–170. [Google Scholar] [CrossRef]
- Hewat, T.; McDonald, S.; Lee, J.; Rahman, M.; Cameron, P.; Hu, F.-C.; Chi, Y.; Yellowlees, L.J.; Robertson, N. Varying numbers and positions of carboxylate groups on Ru dyes for dye-sensitized solar cells: Uptake on TiO2, cell performance and cell stability. RSC Adv. 2014, 4, 10165–10175. [Google Scholar] [CrossRef] [Green Version]
- Islam, A.; Sugihara, H.; Arakawa, H. Molecular design of Ruthenium(II) polypyridyl photosensitizers for efficient nanocrystalline TiO2 solar cells. J. Photochem. Photobiol. A 2003, 158, 131–138. [Google Scholar] [CrossRef]
- Kilså, K.; Mayo, E.; Brunschwig, B.; Gray, H.; Lewis, N.S.; Winkler, J.R. Anchoring Group and Auxiliary Ligand Effects on the Binding of Ruthenium Complexes to Nanocrystalline TiO2 Photoelectrodes. J. Phys. Chem. B 2004, 108, 15640–15651. [Google Scholar] [CrossRef] [Green Version]
- Koposov, A.Y.; Cardolaccia, T.; Albert, V.; Badaeva, E.; Kilina, S.; Meyer, T.J.; Tretiak, S.; Sykora, M. Formation of assemblies comprising Ru-polypyridine complexes and CdSe nanocrystals studied by ATR-FTIR spectroscopy and DFT modeling. Langmuir 2011, 27, 8377–8383. [Google Scholar] [CrossRef]
- Barrera, M. The BCL Approach for the Molecular Design of New Ruthenium Complexes for Dye Sensitized Solar Cells. J. Anal. Pharm. Res. 2017, 1, 4–6. [Google Scholar]
- Yanagida, M.; Yamaguchi, T.; Kurashige, M.; Fujihashi, G.; Hara, K.; Katoh, R.; Sugihara, H.; Arakawa, H. Nanocrystalline solar cells sensitized with monocarboxyl or dicarboxyl pyridylquinoline ruthenium(II) complexes. Inorg. Chim. Acta 2003, 351, 283–290. [Google Scholar] [CrossRef]









































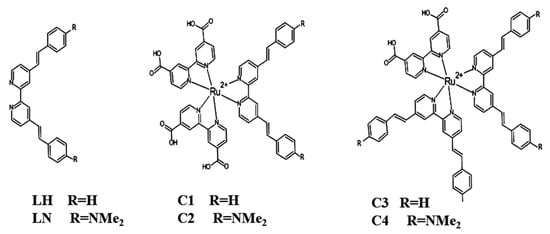
| Complex | Oxidation E1/2/V | Absorption λmax/nm (ε/103 M−1 cm−1) | Assignment | Emission λmax/nm |
|---|---|---|---|---|
| [Ru(bpy)3]2+ | 1.28 | 310 (80) 474 (18) | ILCT MLCT | 620 |
| C1 [Ru(bpy(COOH)2LH]2+ | 1.11 | 349 (43) 473 (24) | ILCT MLCT | 629 |
| C2 [Ru(bpy(COOH)(LH)2]2+ | 0.97 | 329 (92) 486 (35) | ILCT MLCT | 664 |
| C3 [Ru(bpy(COOH)2LN]2+ | 0.48 1.15 | 370 (41) 486 (35) | ILCT MLCT | - |
| C4 [Ru(bpy(COOH)(LN)2]2+ | 0.46 1.23 | 426 (67) 480(63) | ILCT MLCT | - |
| Complex | (eV) | (eV) | |||
|---|---|---|---|---|---|
| LUMO | SOMO | ||||
| Ru(bpy)3 | 2.07 | 2.30 | 1.00 | 1.00 | - |
| C1 | 1.97 | 1.76 | 0.95 | 0.64 | 1.2 |
| C2 | 1.87 | 1.54 | 0.94 | 0.43 | 0.4 |
| C3 | - | 0.88 | 0.97 | 0.76 | 2.6 |
| C4 | - | 1.04 | 0.94 | 0.55 | 1.1 |
| Complexes | Oxidation E1/2/V | Reduction E1/2/V | Absorption λmax/nm | Assignment | |
|---|---|---|---|---|---|
| [Ru(dmbpy)2 ppl(OH)2]2+ | (1) | 1.22 | −0.95, −1.11 | 457 | MLCT |
| [Ru(dmbpy)2 ppl(COOEt)2]2+ | (2) | 1.28 | −0.89, −1.19, −1.47 | 442 | MLCT |
| [Ru(dmbpy)2 ppl(COOH)2]2+ | (3) | 1.29 | −0.87 | 450 | MLCT |
| [Ru(dmbpy)2 ppl(CN)2]2+ | (4) | 1.39 | −0.86 | 446 | MLCT |
| [Ru(dmbpy)2 ppl]2+ | (5) | 1.24 | −1.23 | 450 | MLCT |
| [Ru(dmbpy)3]2+ | (6) | 1.09 | −1.47 | 560 | MLCT |
| Complexes | EA | ED | φT | IT | |
|---|---|---|---|---|---|
| [Ru(dmbpy)2 ppl(OH)2]2+ | (1) | 1.31 | 0.39 | 0 | 0 |
| [Ru(dmbpy)2 ppl(COOEt)2]2+ | (2) | 1.12 | 0.33 | 0.30 | 0.1 |
| [Ru(dmbpy)2 ppl(COOH)2]2+ | (3) | 1.89 | 0.44 | 0.31 | 0.14 |
| [Ru(dmbpy)2 ppl(CN)2]2+ | (4) | 1.10 | 0.23 | 0.52 | 0.12 |
| [Ru(bpy)2 dcbpy]2+ | (5) | 1.87 | 0.77 | 0.83 | 0.64 |
| COMPLEX | EA | ED | Φt | F1 | Δε | ΔVDA | F2 | F3 | %GEI |
|---|---|---|---|---|---|---|---|---|---|
| C1 | 0.92 | 0.38 | 0.06 | 0.02 | 1.03 | −0.26 | 0.09 | 5.87 | 0.27 |
| C2 (N3) | 0.91 | 0.59 | 0.12 | 0.07 | 1.26 | −0.31 | 0.12 | 3.06 | 0.64 |
| C3 | 0.93 | 0.28 | 0.11 | 0.03 | 1.54 | −0.31 | 0.16 | 1.99 | 0.23 |
| C4 | 1.57 | 0.35 | 0.03 | 0.01 | 1.21 | −0.26 | 0.11 | 4.66 | 0.13 |
| C6 | 3.74 | 0.42 | 0.07 | 0.03 | 1.32 | −0.28 | 0.12 | 3.77 | 0.33 |
| C5 (ppf2) | 1.58 | 0.45 | 0.10 | 0.05 | 1.33 | −0.30 | 0.13 | 2.77 | 0.44 |
| BD | 1.06 | 0.96 | 0.15 | 0.15 | 1.11 | −0.32 | 0.11 | 3.13 | 1.25 |
| Compound |
Ti-O(CO) d1 |
C-O d2 |
C=O d3 |
(CO)O-O(CO) d4 |
(Py-Py) α |
|---|---|---|---|---|---|
| 1(S0) | 1.99 | 1.30 | 1.22 | 6.11 | 178 |
| 1(T1) | 1.99 | 1.30 | 1.23 | 6.23 | 181 |
| 1(T1)Li | 2.00 | 1.28 | 1.25 | 3.98 | 158 |
| 1(S0)Li | 2.00 | 1.27 | 1.25 | 4.03 | 161 |
| Compound | Electronic Transition (Γ) | Energy (eV) | Oscillator Strength | Main Excitation | Nature | |
|---|---|---|---|---|---|---|
| Exp | Calc | |||||
| 1(S0) | 2.55 | 2.55 | 0.05 | 61% H2 → L2 15% H0 → L3 12% H0 → L2 10% H2 → L1 | Ru → dcb Ru → dcb Ru → dmb Ru → dmb | |
| 1(S0)Li | 2.43 | 2.44 | 0.07 | 59% H2 → L2 26% H0 → L1 6% H0 → L2 | Ru → dcb Ru → dmb + dcb Ru → dmb + dcb | |
| COMPLEX | EA | ED | Φt | F1 | Δε | ΔVDA | F2 | F3 | %GEI * |
|---|---|---|---|---|---|---|---|---|---|
| 1(S0) | 0.96 | 0.36 | 0.06 | 0.021 | 1.31 | −0.26 | 0.12 | 4.43 | 0.27 |
| 1(S0)Li | 0.94 | 0.46 | 0.08 | 0.037 | 0.83 | −0.14 | 0.07 | 5.64 | 0.35 |
| COMPLEX | EA | ED | Φt | F1 | F2 | F3 | %GEI * |
|---|---|---|---|---|---|---|---|
| N3bcp1 | 0.91 | 0.59 | 0.12 | 0.069 | 0.124 | 3.059 | 0.64 |
| N3bcp2 | 0.81 | 0.76 | 0.10 | 0.074 | 0.124 | 3.034 | 0.68 |
| N3mcp2 | 0.61 | 0.56 | 0.15 | 0.084 | 0.134 | 2.915 | 0.80 |
| N3mcp1 | 0.73 | 0.29 | 0.05 | 0.015 | 0.140 | 2.633 | 0.13 |
Publisher’s Note: MDPI stays neutral with regard to jurisdictional claims in published maps and institutional affiliations. |
© 2022 by the authors. Licensee MDPI, Basel, Switzerland. This article is an open access article distributed under the terms and conditions of the Creative Commons Attribution (CC BY) license (https://creativecommons.org/licenses/by/4.0/).
Share and Cite
Barrera, M.; Crivelli, I.; Loeb, B. The BCL Method for DSSC: Basis and Applications. Appl. Sci. 2022, 12, 2358. https://doi.org/10.3390/app12052358
Barrera M, Crivelli I, Loeb B. The BCL Method for DSSC: Basis and Applications. Applied Sciences. 2022; 12(5):2358. https://doi.org/10.3390/app12052358
Chicago/Turabian StyleBarrera, Mauricio, Irma Crivelli, and Barbara Loeb. 2022. "The BCL Method for DSSC: Basis and Applications" Applied Sciences 12, no. 5: 2358. https://doi.org/10.3390/app12052358
APA StyleBarrera, M., Crivelli, I., & Loeb, B. (2022). The BCL Method for DSSC: Basis and Applications. Applied Sciences, 12(5), 2358. https://doi.org/10.3390/app12052358
