Influence of Magnetic Field on Amplification without Inversion Induced by a Femtosecond Pulse Train
Abstract
1. Introduction
2. Theoretical Model
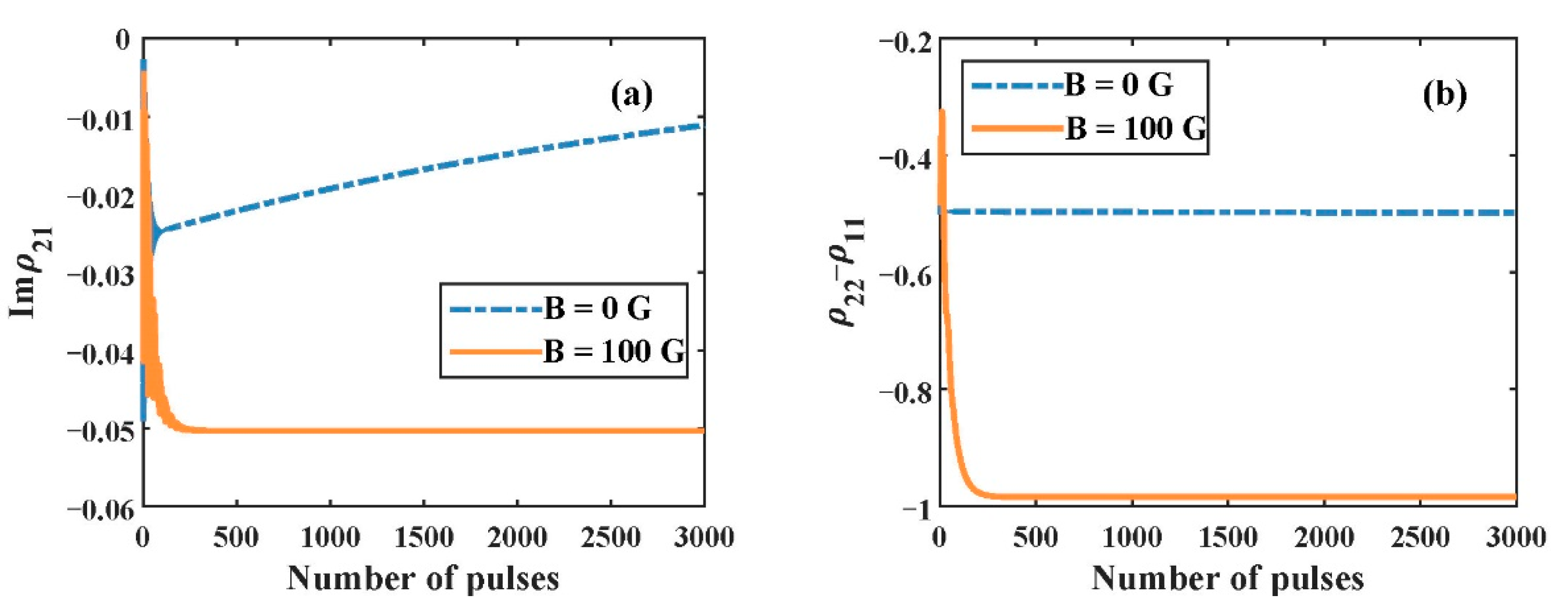
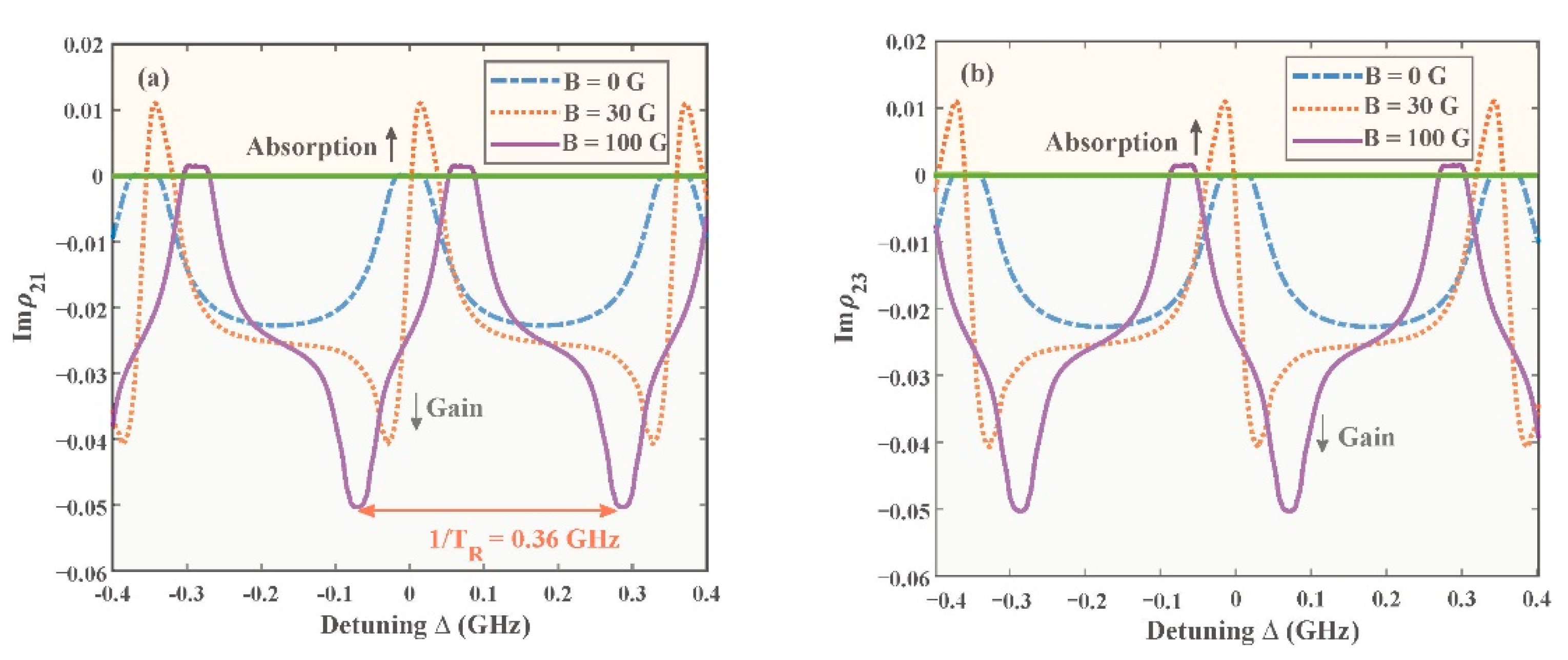
3. Results and Discussion
4. Conclusions
Author Contributions
Funding
Institutional Review Board Statement
Informed Consent Statement
Data Availability Statement
Conflicts of Interest
References
- Kocharovskaya, O. Amplification and lasing without inversion. Phys. Rep. 1992, 219, 175–190. [Google Scholar] [CrossRef]
- Mandel, P. Lasing without inversion: A useful concept? Contemp. Phys. 1993, 34, 235–246. [Google Scholar] [CrossRef]
- Zibrov, A.S.; Lukin, M.D.; Nikonov, D.E.; Hollberg, L.; Scully, M.O.; Velichansky, V.L.; Robinson, H.G. Experimental demonstration of laser oscillation without population inversion via quantum interference in Rb. Phys. Rev. Lett. 1995, 75, 1499–1502. [Google Scholar] [CrossRef]
- Wu, J.H.; Gao, J.Y. Phase control of light amplification without inversion in a Λ system with spontaneously generated coherence. Phys. Rev. A 2002, 65, 063807. [Google Scholar] [CrossRef]
- Jha, P.K. Effective unidirectional pumping for steady-state amplification without inversion. J. Mod. Opt. 2011, 58, 1957–1965. [Google Scholar] [CrossRef][Green Version]
- Sun, Z.; Jia, F.D.; Lv, S.F.; Ruan, Y.P.; Qing, B.; Xue, P.; Xu, X.Y.; Dai, X.C.; Zhong, Z.P. The Inversionless Amplification in a Tripod System of 87Rb Atoms in a Magneto-optical Trap. Chin. Phys. Lett. 2014, 31, 043201. [Google Scholar] [CrossRef]
- Al-Nashy, B.; Abdullah, M.; Al-Shatravi, A.G.; Al-Khursan, A.H. Lasing without population inversion in a four-level Y-type configuration in double quantum dot system. Pramana 2018, 91, 74. [Google Scholar] [CrossRef]
- Nottelmann, A.; Peters, C.; Lange, W. Inversionless amplification of picosecond pulses due to Zeeman coherence. Phys. Rev. Lett. 1993, 70, 1783–1786. [Google Scholar] [CrossRef]
- van der Veer, W.E.; van Diest, R.J.J.; Dönszelmann, A.; van Linden van den Heuvell, H.B. Experimental demonstration of light amplification without population inversion. Phys. Rev. Lett. 1993, 70, 3243–3246. [Google Scholar] [CrossRef]
- Zhang, G.; Hu, S.; Li, J.; Jin, Y.; Liu, Y.; Li, S. Transient amplification without population inversion in a two-field-driven ladder-type three-level system. Optik 2020, 200, 163418. [Google Scholar] [CrossRef]
- Scully, M.O.; Zhu, S.Y.; Gavrielides, A. Degenerate quantum-beat laser: Lasing without inversion and inversion without lasing. Phys. Rev. Lett. 1989, 62, 2813. [Google Scholar] [CrossRef]
- Mysyrowicz, A.; Danylo, R.; Houard, A.; Tikhonchuk, V.; Zhang, X.; Fan, Z.; Liang, Q.; Zhuang, S.; Yuan, L.; Liu, Y. Lasing without population inversion in N2+. APL Photonics 2019, 4, 110807. [Google Scholar] [CrossRef]
- Richter, M.; Lytova, M.; Morales, F.; Haessler, S.; Smirnova, O.; Spanner, M.; Ivanov, M. Rotational quantum beat lasing without inversion. Optica 2020, 7, 586–592. [Google Scholar] [CrossRef]
- Moreno, M.P.; Vianna, S.S. Coherence induced by a train of ultrashort pulses in a Λ-type system. JOSA B 2011, 28, 1124–1129. [Google Scholar] [CrossRef]
- Aumiler, D. Coherent population trapping in 87Rb atoms induced by the optical frequency comb excitation. Phys. Rev. A 2010, 82, 055402. [Google Scholar] [CrossRef]
- Felinto, D.; Bosco, C.; Acioli, L.; Vianna, S. Coherent accumulation in two-level atoms excited by a train of ultrashort pulses. Opt. Commun. 2003, 215, 69–73. [Google Scholar] [CrossRef]
- Felinto, D.; Acioli, L.H.; Vianna, S.S. Accumulative effects in the coherence of three-level atoms excited by femtosecond-laser frequency combs. Phys. Rev. A 2004, 70, 043403. [Google Scholar] [CrossRef]
- Walls, D.F.; Milburn, G.J. Quantum Optics; Springer Science & Business Media: New York, NY, USA, 2007. [Google Scholar]
- Steck, D.A. Rubidium 87 D Line Data. 2001. Available online: https://steck.us/alkalidata/ (accessed on 10 November 2021).
- Soares, A.A.; de Araujo, L.E.E. Influence of propagation on the coherent accumulation of excitation induced by an ultrashort pulse train. Phys. Rev. A 2009, 80, 013832. [Google Scholar] [CrossRef]
- Vujičić, N.; Ban, T.; Kregar, G.; Aumiler, D.; Pichler, G. Velocity-selective double resonance in Doppler-broadened rubidium vapor. Phys. Rev. A 2013, 87, 013438. [Google Scholar] [CrossRef]
- Vujičić, N.; Kregar, G.; Ban, T.; Aumiler, D.; Pichler, G. Frequency comb polarization spectroscopy of multilevel rubidium atoms. Eur. Phys. J. D 2014, 68, 9. [Google Scholar] [CrossRef]
- Soares, A.; de Araujo, L.E. Coherent accumulation of excitation in the electromagnetically induced transparency of an ultrashort pulse train. Phys. Rev. A 2007, 76, 043818. [Google Scholar] [CrossRef]
- Dong, H.M.; Nga, L.T.Y.; Bang, N.H. Optical switching and bistability in a degenerated two-level atomic medium under an external magnetic field. Appl. Opt. 2019, 58, 4192–4199. [Google Scholar] [CrossRef] [PubMed]







Publisher’s Note: MDPI stays neutral with regard to jurisdictional claims in published maps and institutional affiliations. |
© 2022 by the authors. Licensee MDPI, Basel, Switzerland. This article is an open access article distributed under the terms and conditions of the Creative Commons Attribution (CC BY) license (https://creativecommons.org/licenses/by/4.0/).
Share and Cite
Ji, Q.; Ma, R.; Jiang, T.; Luo, B. Influence of Magnetic Field on Amplification without Inversion Induced by a Femtosecond Pulse Train. Appl. Sci. 2022, 12, 1780. https://doi.org/10.3390/app12041780
Ji Q, Ma R, Jiang T, Luo B. Influence of Magnetic Field on Amplification without Inversion Induced by a Femtosecond Pulse Train. Applied Sciences. 2022; 12(4):1780. https://doi.org/10.3390/app12041780
Chicago/Turabian StyleJi, Qianqian, Rui Ma, Tianwei Jiang, and Bin Luo. 2022. "Influence of Magnetic Field on Amplification without Inversion Induced by a Femtosecond Pulse Train" Applied Sciences 12, no. 4: 1780. https://doi.org/10.3390/app12041780
APA StyleJi, Q., Ma, R., Jiang, T., & Luo, B. (2022). Influence of Magnetic Field on Amplification without Inversion Induced by a Femtosecond Pulse Train. Applied Sciences, 12(4), 1780. https://doi.org/10.3390/app12041780

