Characteristics of 2.45 GHz Surface-Wave-Sustained Argon Discharge for Bio-Medical Applications
Abstract
:Feature Application
Abstract
1. Introduction
2. Materials and Methods
2.1. Experimental
2.2. Modeling
3. Results
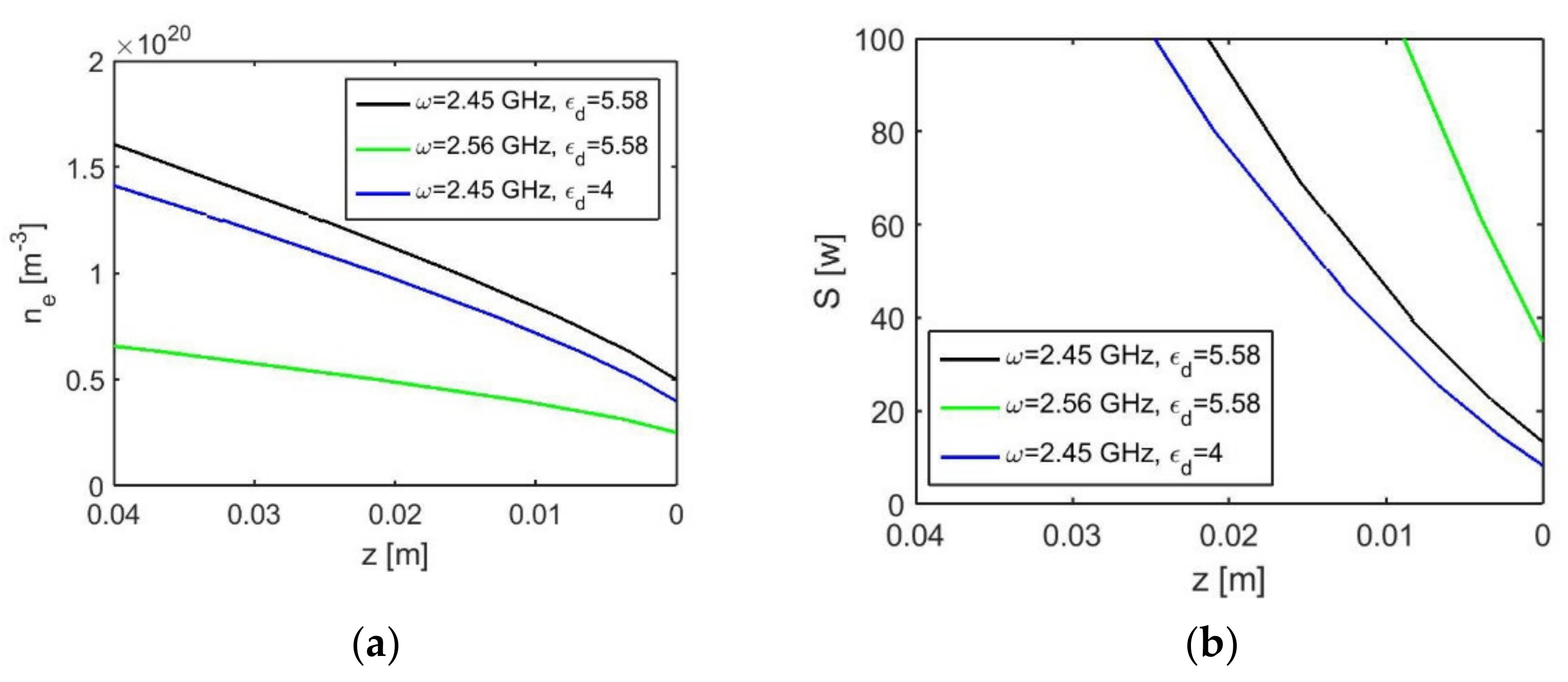
3.1. Effects of the Dielectric Tube Permittivity and the Wave Frequency
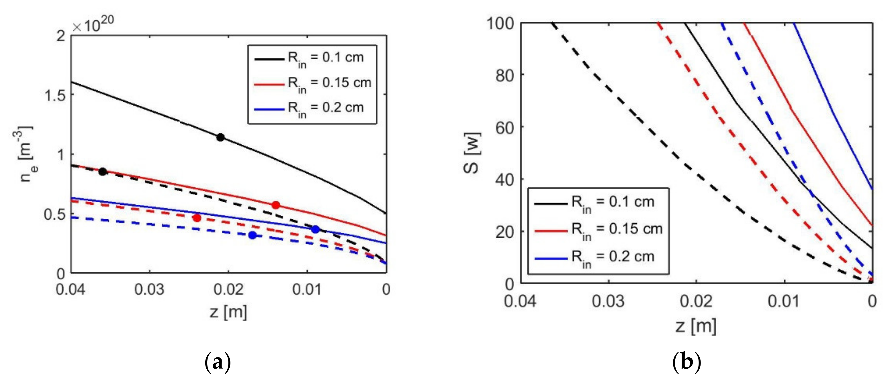
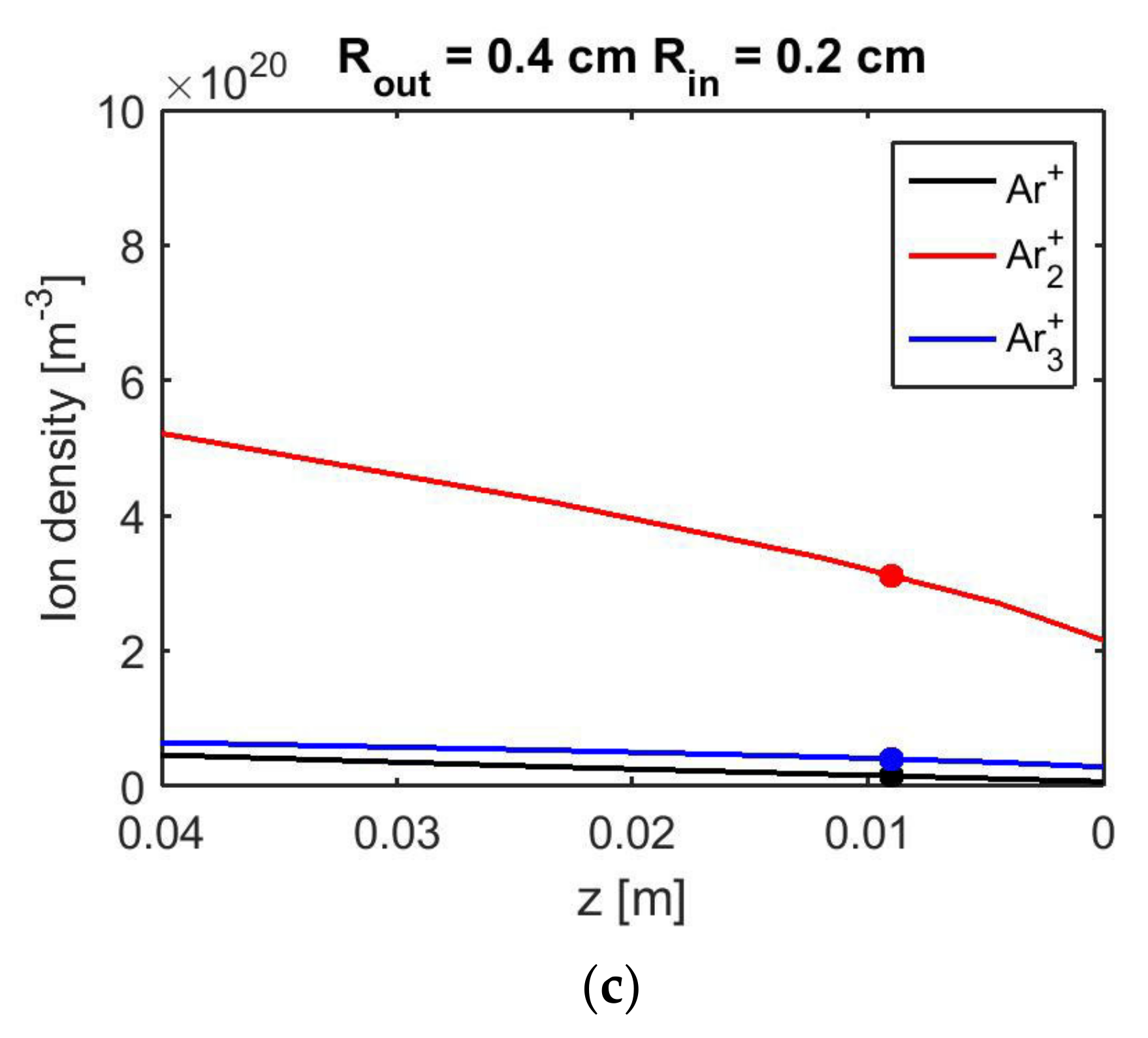
3.2. Effects of the Dielectric Tube Inner Diameter on the Plasma Column Size
3.3. Temperature at the Sample Position
3.4. Microwave Radiation at the Sample Position
4. Discussion
5. Conclusions
Author Contributions
Funding
Institutional Review Board Statement
Informed Consent Statement
Data Availability Statement
Conflicts of Interest
References
- Weltmann, K.-D.; von Woedtke, T. Plasma medicine—Current state of research and medical application. Plasma Phys. Control. Fusion 2017, 59, 014031. [Google Scholar] [CrossRef]
- Park, G.Y.; Park, S.J.; Choi, M.Y.; Koo, I.G.; Byun, J.H.; Hong, J.W.; Sim, J.Y.; Collins, G.J.; Lee, J.K. Atmospheric-pressure plasma sources for biomedical applications. Plasma Sources Sci. Technol. 2012, 21, 043001. [Google Scholar] [CrossRef]
- Isbary, G.; Shimizu, T.; Li, Y.-F.; Stolz, W.; Thomas, H.M.; Morfill, G.E.; Zimmermann, J.L. Cold atmospheric plasma devices for medical issues. Expert Rev. Med. Devices 2013, 10, 367–377. [Google Scholar] [CrossRef] [PubMed]
- Kong, M.G.; Kroesen, G.; Morfill, G.; Nosenko, T.; Shimizu, T.; van Dijk, J.; Zimmermann, J.L. Plasma medicine: An introductory review. New. J. Phys. 2009, 11, 115012. [Google Scholar] [CrossRef]
- Laroussi, M. Low-Temperature Plasma Jet for Biomedical Applications: A Review. IEEE Trans. Plasma Sci. 2015, 43, 703–712. [Google Scholar] [CrossRef]
- Laroussi, M.; Bekeschus, S.; Keidar, M.; Bogaerts, A.; Fridman, A.; Lu, X.-P.; Ostrikov, K.; Hori, M.; Stapelmann, K.; Miller, V.; et al. Low Temperature Plasma for Biology, Hygiene, and Medicine: Perspective and Roadmap. IEEE Trans. Radiat. Plasma Med. Sci. 2021. [Google Scholar] [CrossRef]
- Laroussi, M. Cold Plasma in Medicine and Healthcare: The New Frontier in Low Temperature Plasma Applications. Front. Phys. 2020, 8, 74. [Google Scholar] [CrossRef]
- Simek, M.; Homola, T. Plasma-assisted agriculture: History, presence, and prospects—A review. Eur. Phys. J. D 2021, 75, 210. [Google Scholar] [CrossRef]
- Sonawane, S.K.; Marar, T.; Sonal, P. Non-thermal plasma: An advanced technology for food industry. Food Sci. Technol. Int. 2020, 26, 727–740. [Google Scholar] [CrossRef]
- Misra, N.N.; Schluter, O.; Cullen, P.J. (Eds.) Cold Plasma in Food and Agriculture; Elsevier: Amsterdam, The Netherlands, 2016. [Google Scholar]
- Morrison, C.F., Jr. Electrosurgical Method and Apparatus for Initiating an Electrical Discharge in an Inert Gas Flow. U.S. Patent 4040426, 9 August 1977. [Google Scholar]
- Farin, G.; Grund, K.E. Technology of argon plasma coagulation with particular regard to endoscopic applications. Endoscop. Surg. Allied Technol. 1994, 2, 71–77. [Google Scholar]
- Romero-Mangado, J.; Dey, A.; Diaz-Cartagena, D.C.; Solis-Marcano, N.E.; Lopez-Nieves, M.; Santiago-Garcia, V.; Nordlund, D.; Krishnamurthy, S.; Meyyappan, M.; Koehne, J.E.; et al. Efficacy of atmospheric pressure dielectric barrier discharge for inactivating airborne pathogens. J. Vac. Sci. Technol. 2017, A35, 041101. [Google Scholar] [CrossRef] [Green Version]
- Kuzminova, A.; Kretková, T.; Kylián, O.; Hanuš, J.; Khalakhan, I.; Prukner, V.; Doležalová, E.; Šimek, M.; Biederman, H. Etching of polymers, proteins and bacterial spores by atmospheric pressure DBD plasma in air. J. Phys. D Appl. Phys. 2017, 50, 135201. [Google Scholar] [CrossRef]
- Babaeva, N.Y.; Kushner, M.J. Dynamics of dielectric barrier discharges over wounded skin. IEEE Trans. Plasma Sci. 2011, 39, 2964–2965. [Google Scholar] [CrossRef] [Green Version]
- Isbary, G.; Zimmermann, J.L.; Shimizu, T.; Li, Y.-F.; Morfill, G.E.; Thomas, H.M.; Steffes, B.; Heinlin, J.; Karrer, S.; Stolz, W. Non-thermal plasma—More than five years of clinical experience. Clin. Plasma Med. 2013, 1, 19–23. [Google Scholar] [CrossRef]
- Fridman, A.; Chirokov, A.; Gutsol, A. Non-thermal atmospheric pressure discharges. J. Phys. D Appl. Phys. 2005, 38, R1–R24. [Google Scholar] [CrossRef]
- Von Woedtkea, T.; Reuter, S.; Masura, K.; Weltmann, K.-D. Plasmas for medicine. Phys. Rep. 2013, 530, 291–320. [Google Scholar] [CrossRef]
- Reuter, S.; Von Woedtke, T.; Weltmann, K.-D. The kINPen—A review on physics and chemistry of the atmospheric pressure plasma jet and its applications. J. Phys. D Appl. Phys. 2018, 51, 233001. [Google Scholar] [CrossRef] [Green Version]
- Foest, R.; Kindel, E.; Lange, H.; Ohl, A.; Stieber, M.; Weltmann, K.D. RF capillary jet—A tool for localized surface treatment. Contrib. Plasma Phys. 2007, 47, 119–128. [Google Scholar] [CrossRef]
- Fricke, K.; Steffen, H.; Von Woedtke, T.; Schroder, K.; Weltmann, K.D. High rate etching of polymers by means of an atmospheric pressure plasma jet. Plasma Process. Polym. 2011, 8, 51–58. [Google Scholar] [CrossRef]
- Jablonowski, L.; Fricke, K.; Matthes, R.; Holtfreter, B.; Schluter, R.; Von Woedtke, T.; Weltmann, K.D.; Kocher, T. Removal of naturally grown human biofilm with an atmospheric pressure plasma jet: An In Vitro study. J. Biophotonics 2016, 10, 718–726. [Google Scholar] [CrossRef] [PubMed] [Green Version]
- Arndt, S.; Schmidt, A.; Karrer, S.; Von Woedtke, T. Comparing two different plasma devices kINPen and Adtec SteriPlas regarding their molecular and cellular effects on wound healing. Clin. Plasma Med. 2018, 9, 24–33. [Google Scholar] [CrossRef]
- Benova, E.; Topalova, Y.; Marinova, P.; Todorova, Y.; Atanasova, M.; Bogdanov, T.; Yotinov, I. Surface-wave-sustained plasma for model biological systems treatment. In Proceedings of the XXXIII International Conference on Phenomena in Ionized Gases (ICPIG), Estoril, Portugal, 9–14 July 2017; Alves, L.L., Tejero-del-Caz, A., Eds.; Instituto de Plasmas e Fusão Nuclear, Instituto Superior Técnico, Universidade de Lisboa: Lisboa, Portugal, 2017. Topic Number: 17. p. 87. [Google Scholar]
- Krčma, F.; Tsonev, I.; Smejkalová, K.; Truchlá, D.; Kozáková, Z.; Zhekova, M.; Marinova, P.; Bogdanov, T.; Benova, E. Microwave micro torch generated in argon based mixtures for biomedical applications. J. Phys. D Appl. Phys. 2018, 51, 414001. [Google Scholar] [CrossRef]
- Tsvetkov, V.; Hinkov, A.; Todorov, D.; Benova, E.; Tsonev, I.; Bogdanov, T.; Shishkov, S.; Shishkova, K. Effect of Plasma-Activated Medium and Water on Replication and Extracellular Virions of Herpes Simplex Virus-1. Plasma Med. 2019, 9, 205–216. [Google Scholar] [CrossRef]
- Bogdanov, T.; Tsonev, I.; Traikov, L.L. Microwave plasma torch for wound treatment. J. Phys. Conf. Ser. 2020, 1598, 012001. [Google Scholar] [CrossRef]
- Milusheva, S.; Nacheva, L.; Benova, E.; Marinova, P.; Dimitrova, N.; Georgieva-Hristeva, A. Experiments on Plum pox virus inactivation from micropropagated plum plants through non-thermal plasma treatment. Plant Prot. Bull. 2020, 60, 83–90. [Google Scholar]
- Nedyalkova, S.; Bozhanova, V.; Benova, E.; Marinova, P.; Tsonev, I.; Bogdanov, T.; Koleva, M. Study on the Effect of Cold Plasma on the Germination and Growth of Durum Wheat Seeds Contaminated with Fusarium Graminearum. Int. J. Innov. Approaches Agric. Res. 2019, 3, 623–635. [Google Scholar] [CrossRef]
- Bogdanov, T.; Tsonev, I.; Marinova, P.; Benova, E.; Rusanov, K.; Rusanova, M.; Atanassov, I.; Kozáková, Z.; Krčma, F. Microwave Plasma Torch Generated in Argon for Small Berries Surface Treatment. Appl. Sci. 2018, 8, 1870. [Google Scholar] [CrossRef] [Green Version]
- Moisan, M.; Beaudry, C.; Leprince, P. A new HF device for the production of long plasma columns at a high electron density. Phys. Lett. 1974, 55A, 125–126. [Google Scholar] [CrossRef]
- Moisan, M.; Beaudry, C.; Leprince, P. A small microwave plasma source for long column production without magnetic field. IEEE Trans. Plasma Sci. 1975, 3, 55–59. [Google Scholar] [CrossRef]
- Moisan, M.; Leprince, P.; Beaudry, C.; Bloyet, E. Devices and Methods of Using HF Wave to Energize a Column of Gas Enclosed in an Insulating Casing. U.S. Patent No. 4049940, 20 September 1977. [Google Scholar]
- Zakrzewski, Z.; Moisan, M.; Glaude, V.M.M.; Beaudry, C.; Leprince, P. Attenuation of a surface wave in an unmagnetized RF plasma column. Plasma Phys. 1977, 19, 77–83. [Google Scholar] [CrossRef]
- Moisan, M.; Zakrzewski, Z.; Pantel, R. The theory and characteristics of an efficient surface wave launcher (surfatron) producing long plasma columns. J. Phys. D Appl. Phys. 1979, 12, 219–237. [Google Scholar] [CrossRef]
- Zhelyazkov, I.; Atanassov, V. Axial structure of low-pressure high-frequency discharges sustained by travelling electromagnetic surface waves. Phys. Rep. 1995, 255, 79–201. [Google Scholar] [CrossRef]
- Moisan, M.; Nowakowska, H. Contribution of surface-wave (SW) sustained plasma columns to the modeling of RF and microwave discharges with new insight into some of their features. A survey of other types of SW discharges. Plasma Sources Sci. Technol. 2018, 27, 073001. [Google Scholar] [CrossRef]
- Petrova, T.; Benova, E.; Petrov, G.; Zhelyazkov, I. Self-consistent axial modeling of surface-wave-produced discharges at low and intermediate pressures. Phys. Rev. E 1999, 60, 875–886. [Google Scholar] [CrossRef] [PubMed] [Green Version]
- Moisan, M.; Pantel, R.; Hubert, J.; Bloyet, E.; Leprince, P.; Marec, J.; Ricard, A. Production and Applications of Microwave Surface Wave Plasma at Atmospheric Pressure. J. Microw. Power 1979, 14, 57–61. [Google Scholar] [CrossRef]
- Al-Shamma’a, A.I.; Wylie, S.R.; Lucas, J.; Pau, C.F. Design and construction of a 2.45 GHz waveguide-based microwave plasma jet at atmospheric pressure for material processing. J. Phys. D Appl. Phys. 2001, 34, 2734–2741. [Google Scholar] [CrossRef]
- Uhm, H.S.; Kwak, H.S.; Hong, Y.C. Carbon dioxide elimination and regeneration of resources in a microwave plasma torch. Environ. Pollut. 2016, 211, 191–197. [Google Scholar] [CrossRef] [PubMed]
- Uhm, H.S.; Hong, Y.C.; Shin, D.H. Microwave plasma torch and its applications. Plasma Sources Sci. Technol. 2006, 15, S26–S34. [Google Scholar] [CrossRef]
- Castanos-Martiınez, E.; Moisan, M.; Kabouzi, Y. Achieving non-contracted and non-filamentary rare-gas tubular discharges at atmospheric pressure. J. Phys. D Appl. Phys. 2009, 42, 012003. [Google Scholar] [CrossRef]
- Henriques, J.; Tatarova, E.; Ferreira, C.M. Microwave N2–Ar plasma torch. J. Appl. Phys. 2011, 109, 023301. [Google Scholar] [CrossRef]
- Bruggeman, P.; Schram, D.C.; Kong, M.G.; Leys, C.H. Is the Rotational Temperature of OH(A–X) for Discharges in and in Contact with Liquids a Good Diagnostic for Determining the Gas Temperature? Plasma Process. Polym. 2009, 6, 751–762. [Google Scholar] [CrossRef]
- Bruggeman, P.J.; Sadeghi, N.; Schram, D.C.; Linss, V. Gas temperature determination from rotational lines in non-equilibrium plasmas: A review. Plasma Sources Sci. Technol. 2014, 23, 023001. [Google Scholar] [CrossRef] [Green Version]
- Benova, E.; Marinova, P.; Atanasova, M.; Petrova, T.Z. Surface-wave-sustained argon plasma kinetics from intermediate to atmospheric pressure. J. Phys. D Appl. Phys. 2018, 51, 474004. [Google Scholar] [CrossRef]
- Ridenti, M.A.; Spyrou, N.; Amorim, J. The crucial role of molecular ions in the radial contraction of argon microwave-sustained plasma jets at atmospheric pressure. Chem. Phys. Lett. 2014, 595–596, 83–86. [Google Scholar] [CrossRef]
- Ridenti, M.A.; Amorim, J.; Pino, A.D. Causes of plasma column contraction in surface-wave-driven discharges in argon at atmospheric pressure. Phys. Rev. E 2018, 97, 013201. [Google Scholar] [CrossRef] [PubMed] [Green Version]












| Tube Notation | Outer Diameter | Inner Diameter |
|---|---|---|
| 8/2 | 8 mm | 2 mm |
| 8/3 | 8 mm | 3 mm |
| 8/4 | 8 mm | 4 mm |
Publisher’s Note: MDPI stays neutral with regard to jurisdictional claims in published maps and institutional affiliations. |
© 2022 by the authors. Licensee MDPI, Basel, Switzerland. This article is an open access article distributed under the terms and conditions of the Creative Commons Attribution (CC BY) license (https://creativecommons.org/licenses/by/4.0/).
Share and Cite
Benova, E.; Marinova, P.; Tafradjiiska-Hadjiolova, R.; Sabit, Z.; Bakalov, D.; Valchev, N.; Traikov, L.; Hikov, T.; Tsonev, I.; Bogdanov, T. Characteristics of 2.45 GHz Surface-Wave-Sustained Argon Discharge for Bio-Medical Applications. Appl. Sci. 2022, 12, 969. https://doi.org/10.3390/app12030969
Benova E, Marinova P, Tafradjiiska-Hadjiolova R, Sabit Z, Bakalov D, Valchev N, Traikov L, Hikov T, Tsonev I, Bogdanov T. Characteristics of 2.45 GHz Surface-Wave-Sustained Argon Discharge for Bio-Medical Applications. Applied Sciences. 2022; 12(3):969. https://doi.org/10.3390/app12030969
Chicago/Turabian StyleBenova, Evgenia, Plamena Marinova, Radka Tafradjiiska-Hadjiolova, Zafer Sabit, Dimitar Bakalov, Nikolay Valchev, Lubomir Traikov, Todor Hikov, Ivan Tsonev, and Todor Bogdanov. 2022. "Characteristics of 2.45 GHz Surface-Wave-Sustained Argon Discharge for Bio-Medical Applications" Applied Sciences 12, no. 3: 969. https://doi.org/10.3390/app12030969
APA StyleBenova, E., Marinova, P., Tafradjiiska-Hadjiolova, R., Sabit, Z., Bakalov, D., Valchev, N., Traikov, L., Hikov, T., Tsonev, I., & Bogdanov, T. (2022). Characteristics of 2.45 GHz Surface-Wave-Sustained Argon Discharge for Bio-Medical Applications. Applied Sciences, 12(3), 969. https://doi.org/10.3390/app12030969

