Predictive Current Control for Switched Reluctance Motor Based on Local Linear Phase Voltage Model
Abstract
:1. Introduction
- (1)
- A local linear phase voltage model that describes the relationship between the phase voltage and the phase current slope in a short period;
- (2)
- Predictive current control combined with the voltage model identification online. Compared to the DBPC control mentioned above, the proposed PCC does not require a priori knowledge of the motor parameters and is insensitive to the parameter variation. Compared to HCC, the proposed PCC can greatly reduce the current and torque ripples in a wide speed range without increasing the current sampling rate.
2. Predictive Current Control
2.1. Local Linear Phase Voltage Model
2.2. Average Voltage Regulation
2.3. Predictive Current Control
2.3.1. Predictive Current Control in Stage III
2.3.2. Current Control in Stage II
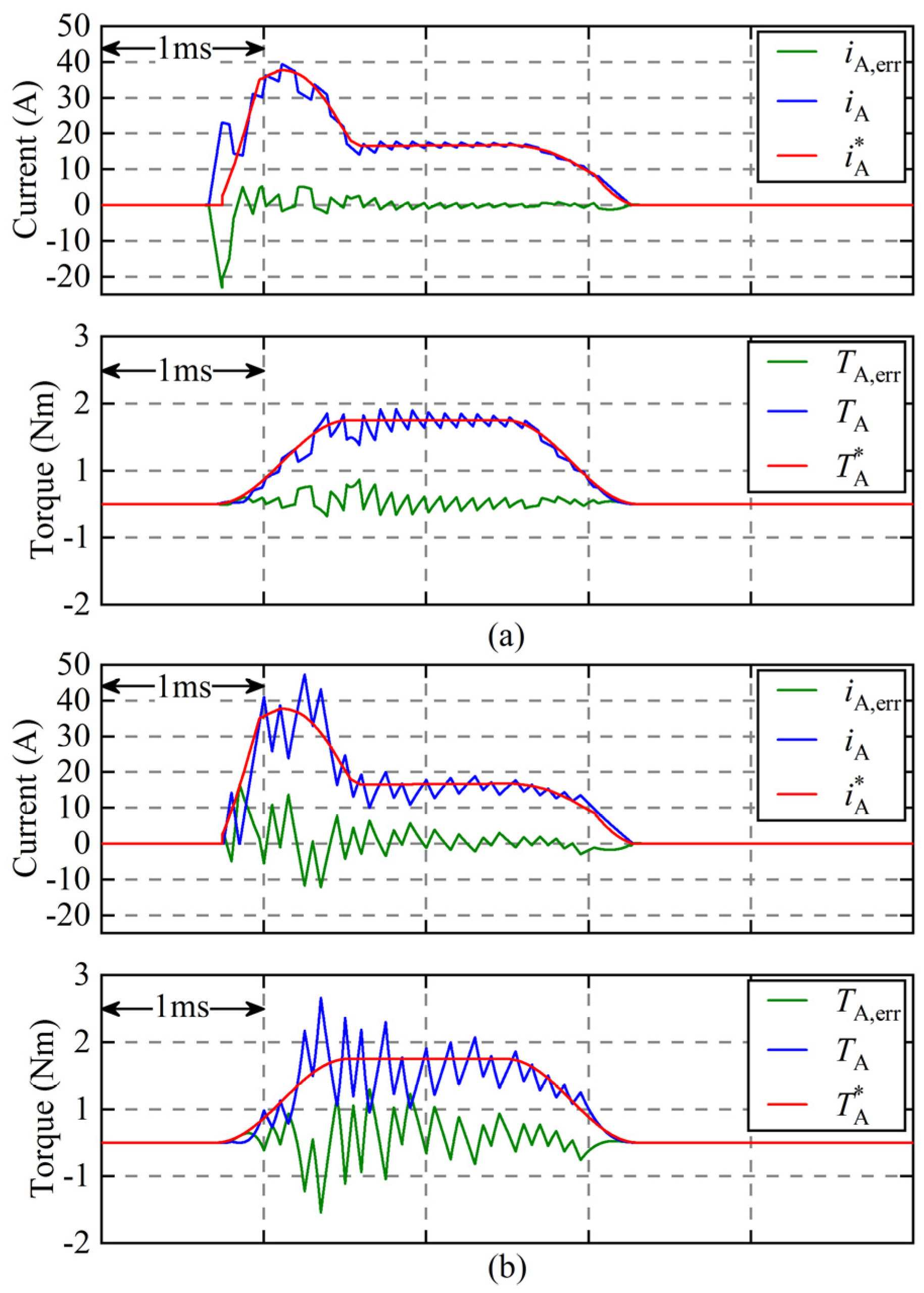
3. Experimental Verification
3.1. Experimental Results under Heavy Load
3.2. Experimental Results under Light Load
3.3. Computational Time
4. Conclusions
- (1)
- Given the same sampling rate, the current and torque ripples using the proposed PCC are significantly lower than those using hysteresis control. The current RMSE using the proposed method is 32.6% lower on average and 48.1% lower at most, and the torque RMSE using the proposed method is 50.9% lower on average and 62.96% lower at most.
- (2)
- The execution time of the proposed control scheme is computationally efficient, so the proposed PCC can be implemented in a low-cost MCU.
- (3)
- The proposed PCC is easy to implement and does not need to know the motor characteristics in advance. It is insensitive to the characteristic changes caused by factors such as motor aging.
Author Contributions
Funding
Institutional Review Board Statement
Informed Consent Statement
Data Availability Statement
Conflicts of Interest
References
- Fang, G.; Scalcon, F.P.; Xiao, D.; Vieira, R.P.; Grundling, H.A.; Emadi, A. Advanced Control of Switched Reluctance Motors (SRMs): A Review on Current Regulation, Torque Control and Vibration Suppression. IEEE Open J. Ind. Electron. Soc. 2021, 2, 280–301. [Google Scholar] [CrossRef]
- Bostanci, E.; Moallem, M.; Parsapour, A.; Fahimi, B. Opportunities and Challenges of Switched Reluctance Motor Drives for Electric Propulsion: A Comparative Study. IEEE Trans. Transp. Electrif. 2017, 3, 58–75. [Google Scholar] [CrossRef]
- Abdel-Fadil, R.; Szamel, L. State of the Art of Switched Reluctance Motor Drives and Control Techniques. In Proceedings of the 2018 Twentieth International Middle East Power Systems Conference (MEPCON), Cairo, Egypt, 18–20 December 2018; pp. 779–784. [Google Scholar]
- Kim, S.; Kim, J.-H.; Kimf, R.-Y. Sensor-less direct torque control using inductance peak detection for switched reluctance motor. In Proceedings of the 2015 IEEE Conference on Energy Conversion (CENCON), Johor Bahru, Malaysia, 19–20 October 2015; pp. 7–12. [Google Scholar]
- Sahoo, S.K.; Dasgupta, S.; Panda, S.; Xu, J.-X. A Lyapunov Function-Based Robust Direct Torque Controller for a Switched Reluctance Motor Drive System. IEEE Trans. Power Electron. 2011, 27, 555–564. [Google Scholar] [CrossRef]
- Shah, V.; Payami, S. A Novel Direct Torque Control for 4-Phase Switched Reluctance Motor Considering the Actual Rotor Pole Arc with High Torque/Ampere Ratio. In Proceedings of the IECON 2020 The 46th Annual Conference of the IEEE Industrial Electronics Society, Singapore, 18–21 October 2020; pp. 826–831. [Google Scholar]
- Li, H.; Bilgin, B.; Emadi, A. An Improved Torque Sharing Function for Torque Ripple Reduction in Switched Reluctance Machines. IEEE Trans. Power Electron. 2019, 34, 1635–1644. [Google Scholar] [CrossRef]
- Ye, J.; Bilgin, B.; Emadi, A. An Offline Torque Sharing Function for Torque Ripple Reduction in Switched Reluctance Motor Drives. IEEE Trans. Energy Convers. 2015, 30, 726–735. [Google Scholar] [CrossRef]
- Fiedler, J.; Fuengwarodsakul, N.; De Doncker, R. Calculation of switching frequency in current hysteresis controlled switched reluctance drives. In Proceedings of the 2004 IEEE 35th Annual Power Electronics Specialists Conference (IEEE Cat. No. 04CH37551), Aachen, Germany, 20–25 June 2004; Volume 3, pp. 2270–2276. [Google Scholar]
- Gobbi, R.; Ramar, K. Optimisation techniques for a hysteresis current controller to minimise torque ripple in switched reluctance motors. IET Electr. Power Appl. 2009, 3, 453–460. [Google Scholar] [CrossRef]
- Pratapgiri, S. Comparative analysis of Hysteresis Current Control and Direct Instantaneous Torque Control of Switched Reluctance Motor. In Proceedings of the 2016 International Conference on Electrical, Electronics, and Optimization Techniques (ICEEOT), Chennai, India, 3–5 March 2016; pp. 2856–2860. [Google Scholar]
- Schulz, S.; Rahman, K. High performance digital PI current regulator for EV switched reluctance motor drives. IEEE Trans. Ind. Appl. 2003, 39, 1118–1126. [Google Scholar] [CrossRef]
- Lin, Z.; Reay, D.; Williams, B.; He, X. High-performance current control for switched reluctance motors based on on-line estimated parameters. IET Electr. Power Appl. 2010, 4, 67. [Google Scholar] [CrossRef]
- Hannoun, H.; Hilairet, M.; Marchand, C. Gain-scheduling PI current controller for a Switched Reluctance Motor. In Proceedings of the 2007 IEEE International Symposium on Industrial Electronics, Vigo, Spain, 4–7 June 2007; pp. 1177–1182. [Google Scholar]
- Hannoun, H.; Hilairet, M.; Marchand, C. High performance current control of a switched reluctance machine based on a gain-scheduling PI controller. Control Eng. Pr. 2011, 19, 1377–1386. [Google Scholar] [CrossRef]
- Ishikawa, H.; Komaki, R.; Naitoh, H.; Yamaba, A.; Katoh, H. Electric transfer function model of switched reluctance motors and model-based current control design. Electr. Eng. Jpn. 2010, 173, 51–59. [Google Scholar] [CrossRef]
- Ahmad, S.S.; Narayanan, G. Linearised modelling of switched reluctance motor for closed loop current control. In Proceedings of the 2014 IEEE 6th India International Conference on Power Electronics (IICPE), Kurukshetra, India, 8–10 December 2014; pp. 1–6. [Google Scholar]
- Ahmad, S.S.; Narayanan, G. Linearized Modeling of Switched Reluctance Motor for Closed-Loop Current Control. IEEE Trans. Ind. Appl. 2016, 52, 3146–3158. [Google Scholar] [CrossRef]
- Mughees, N.; Ashfgar, H.; Jawad, M.; Shabbir, N.; Rassõlkin, A.; Kutt, L. Optimal Fractional Order PI Controller for Field Oriented Current Control of Switched Reluctance Motor. In Proceedings of the 2021 IEEE 19th International Power Electronics and Motion Control Conference (PEMC), Gliwice, Poland, 25–29 April 2021; pp. 479–485. [Google Scholar]
- Mikail, R.; Husain, I.; Sozer, Y.; Islam, M.; Sebastian, T. A fixed switching frequency predictive current control method for switched reluctance machines. In Proceedings of the 2012 IEEE Energy Conversion Congress and Exposition (ECCE), Raleigh, NC, USA, 15–20 September 2012; pp. 843–847. [Google Scholar]
- Mikail, R.; Husain, I.; Sozer, Y.; Islam, M.S.; Sebastian, T. A Fixed Switching Frequency Predictive Current Control Method for Switched Reluctance Machines. IEEE Trans. Ind. Appl. 2014, 50, 3717–3726. [Google Scholar] [CrossRef]
- Bucolo, M.; Buscarino, A.; Famoso, C.; Fortuna, L.; Frasca, M. Control of imperfect dynamical systems. Nonlinear Dyn. 2019, 98, 2989–2999. [Google Scholar] [CrossRef]
- Ma, M.; Yang, Q.; Zhang, X.; Li, F.; Lin, Z. A Switched Reluctance Motor Torque Ripple Reduction Strategy with Deadbeat Current Control. In Proceedings of the 2019 14th IEEE Conference on Industrial Electronics and Applications (ICIEA), Xi’an, China, 19–21 June 2019; pp. 25–30. [Google Scholar]
- Zhang, X.; Yang, Q.; Ma, M.; Lin, Z.; Yang, S. A Switched Reluctance Motor Torque Ripple Reduction Strategy with Deadbeat Current Control and Active Thermal Management. IEEE Trans. Veh. Technol. 2020, 69, 317–327. [Google Scholar] [CrossRef] [Green Version]
- Yunsheng, F.; Yue, L.; Di, L. Predictive Current Control of Switched Reluctance Motor Based on Extended Observer. In Proceedings of the 2021 6th International Conference on Automation, Control and Robotics Engineering (CACRE), Dalian, China, 15–17 July 2021; pp. 150–156. [Google Scholar]
- Li, X.; Shamsi, P. Model Predictive Current Control of Switched Reluctance Motors with Inductance Auto-Calibration. IEEE Trans. Ind. Electron. 2016, 63, 3934–3941. [Google Scholar] [CrossRef]
- Li, X.; Shamsi, P. Inductance Surface Learning for Model Predictive Current Control of Switched Reluctance Motors. IEEE Trans. Transp. Electrif. 2015, 1, 287–297. [Google Scholar] [CrossRef]
- Li, B.; Ling, X.; Huang, Y.; Gong, L.; Liu, C. An Improved Model Predictive Current Controller of Switched Reluctance Machines Using Time-Multiplexed Current Sensor. Sensors 2017, 17, 1146. [Google Scholar] [CrossRef] [PubMed] [Green Version]
- Dos Santos, F.L.M.; Anthonis, J.; Naclerio, F.; Gyselinck, J.J.C.; Van Der Auweraer, H.; Goes, L. Multiphysics NVH Modeling: Simulation of a Switched Reluctance Motor for an Electric Vehicle. IEEE Trans. Ind. Electron. 2013, 61, 469–476. [Google Scholar] [CrossRef]
- Pop, A.-C.; Petrus, V.; Martis, C.S.; Iancu, V.; Gyselinck, J. Comparative study of different torque sharing functions for losses minimization in Switched Reluctance Motors used in electric vehicles propulsion. In Proceedings of the 2012 13th International Conference on Optimization of Electrical and Electronic Equipment (OPTIM), Brasov, Romania, 24–26 May 2012; pp. 356–365. [Google Scholar]
















| Symbol | Meaning |
|---|---|
| DC-link voltage | |
| Voltage and current of a phase winding | |
| Resistance, inductance and incremental inductance of a phase winding | |
| Rotor position and speed | |
| Slope and intercept of the local linear phase voltage model | |
| PWM cycle and frequency | |
| Maximum value of the PWM counter | |
| Comparison values for the PWM drive signals of the upper and lower power switches in phase A converter | |
| Calculation time of the comparison values | |
| k, A | Subscripts denoting current time index and quantities related to phase A |
| *, ¯ | Superscripts denoting referenced and average quantities |
| Δ | Triangle on the left of other symbols denoting incremental quantities |
| Parameter Name | Value | Parameter Name | Value |
|---|---|---|---|
| Rated power | 1 kW | Number of phases | 3 |
| Rated voltage | 72 V | Number of stator poles | 12 |
| Rated speed | 4300 rpm | Number of rotor poles | 8 |
Publisher’s Note: MDPI stays neutral with regard to jurisdictional claims in published maps and institutional affiliations. |
© 2022 by the authors. Licensee MDPI, Basel, Switzerland. This article is an open access article distributed under the terms and conditions of the Creative Commons Attribution (CC BY) license (https://creativecommons.org/licenses/by/4.0/).
Share and Cite
Shen, S.; Wang, H.; Feng, Y.; Li, M.; Zhong, Y. Predictive Current Control for Switched Reluctance Motor Based on Local Linear Phase Voltage Model. Appl. Sci. 2022, 12, 1688. https://doi.org/10.3390/app12031688
Shen S, Wang H, Feng Y, Li M, Zhong Y. Predictive Current Control for Switched Reluctance Motor Based on Local Linear Phase Voltage Model. Applied Sciences. 2022; 12(3):1688. https://doi.org/10.3390/app12031688
Chicago/Turabian StyleShen, Shiqi, Hui Wang, Yaojing Feng, Mengqiu Li, and Yichang Zhong. 2022. "Predictive Current Control for Switched Reluctance Motor Based on Local Linear Phase Voltage Model" Applied Sciences 12, no. 3: 1688. https://doi.org/10.3390/app12031688
APA StyleShen, S., Wang, H., Feng, Y., Li, M., & Zhong, Y. (2022). Predictive Current Control for Switched Reluctance Motor Based on Local Linear Phase Voltage Model. Applied Sciences, 12(3), 1688. https://doi.org/10.3390/app12031688

