Time-Dependence of the Mechanical Behavior of Loess after Dry-Wet Cycles
Abstract
:1. Introduction
2. Triaxial Creep Tests
2.1. Sampling Site and Dry-Wet Cycle Process
2.2. Testing Apparatus
2.3. Testing Scheme
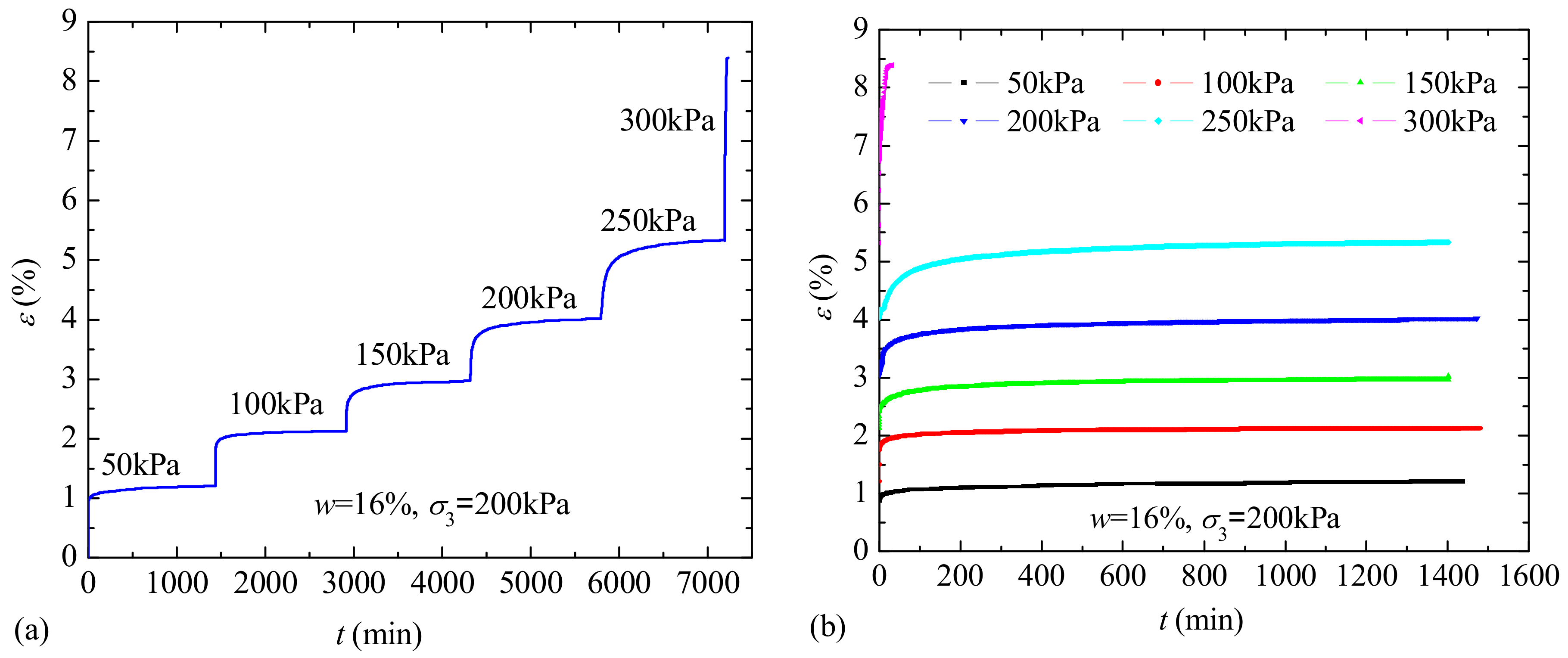
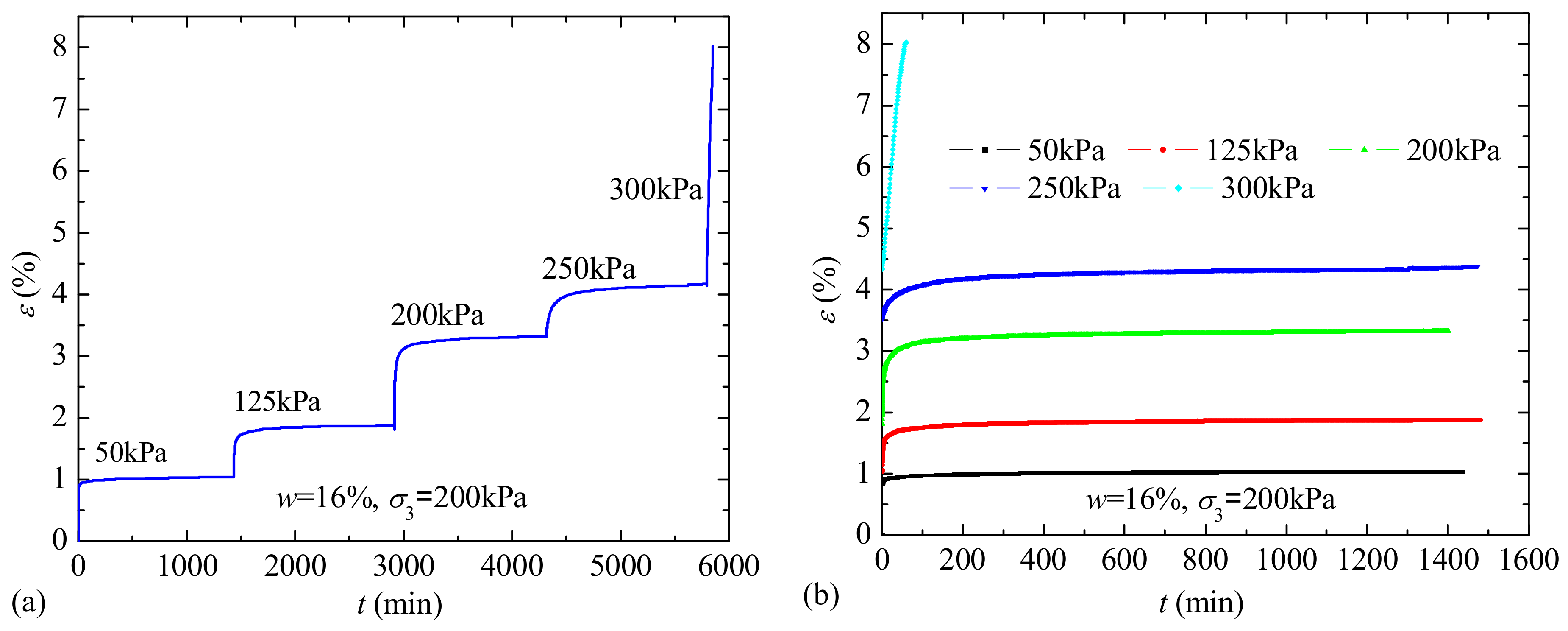
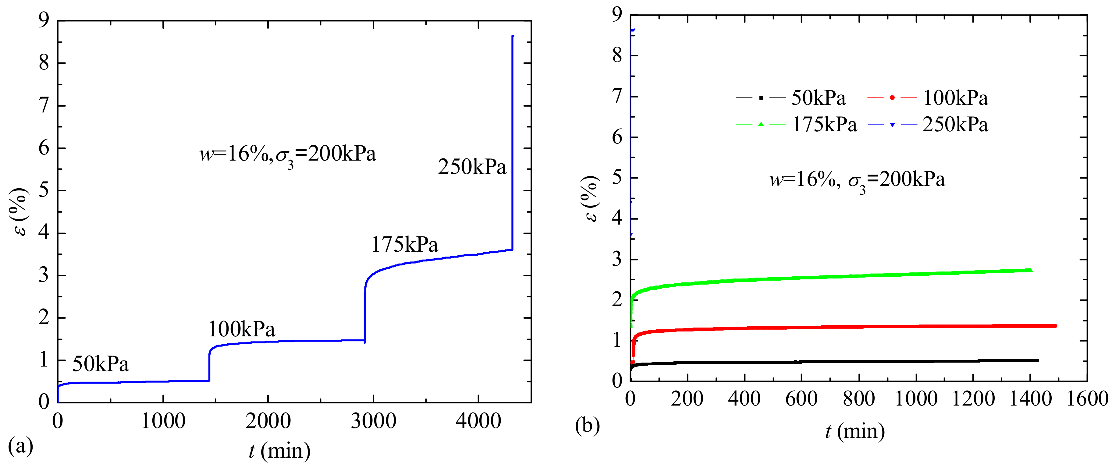
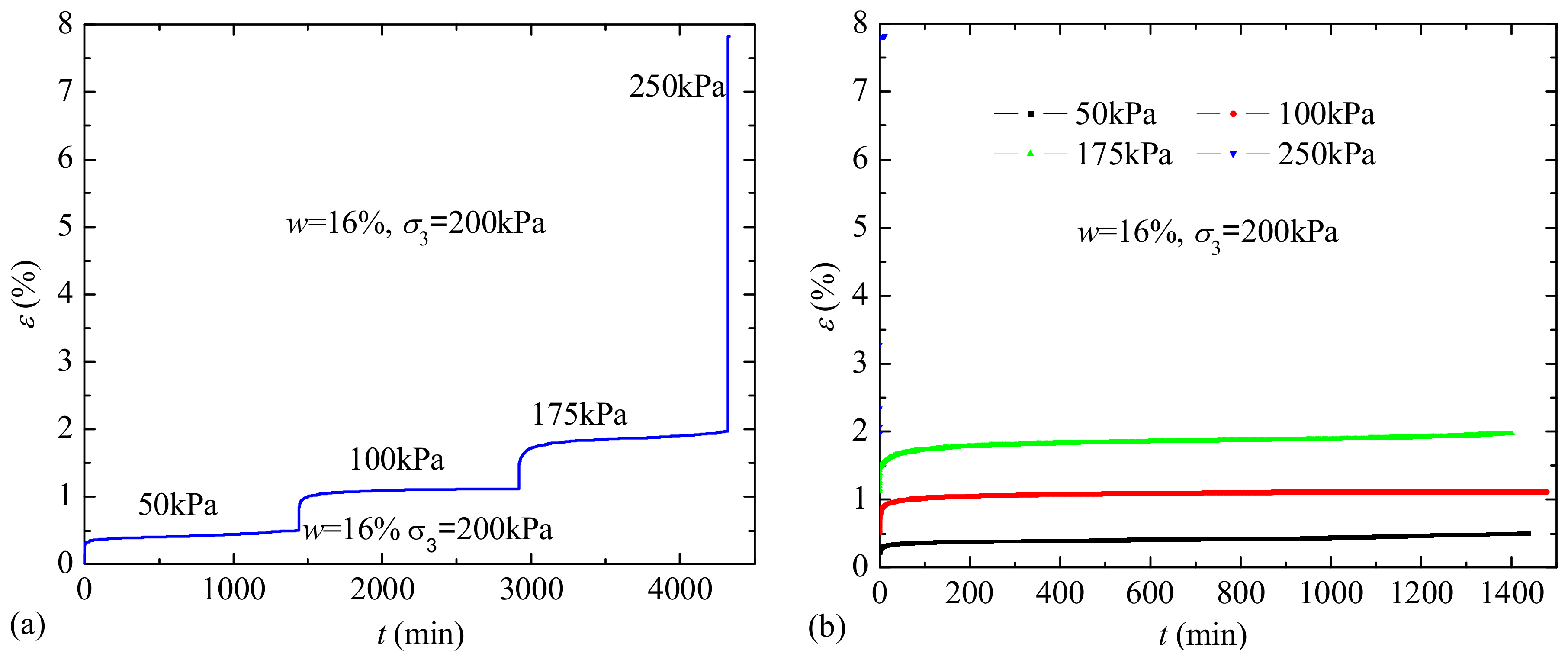
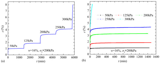
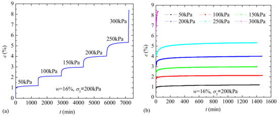
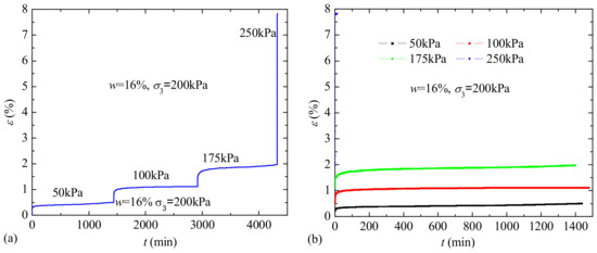
3. Test Results
4. Discussion
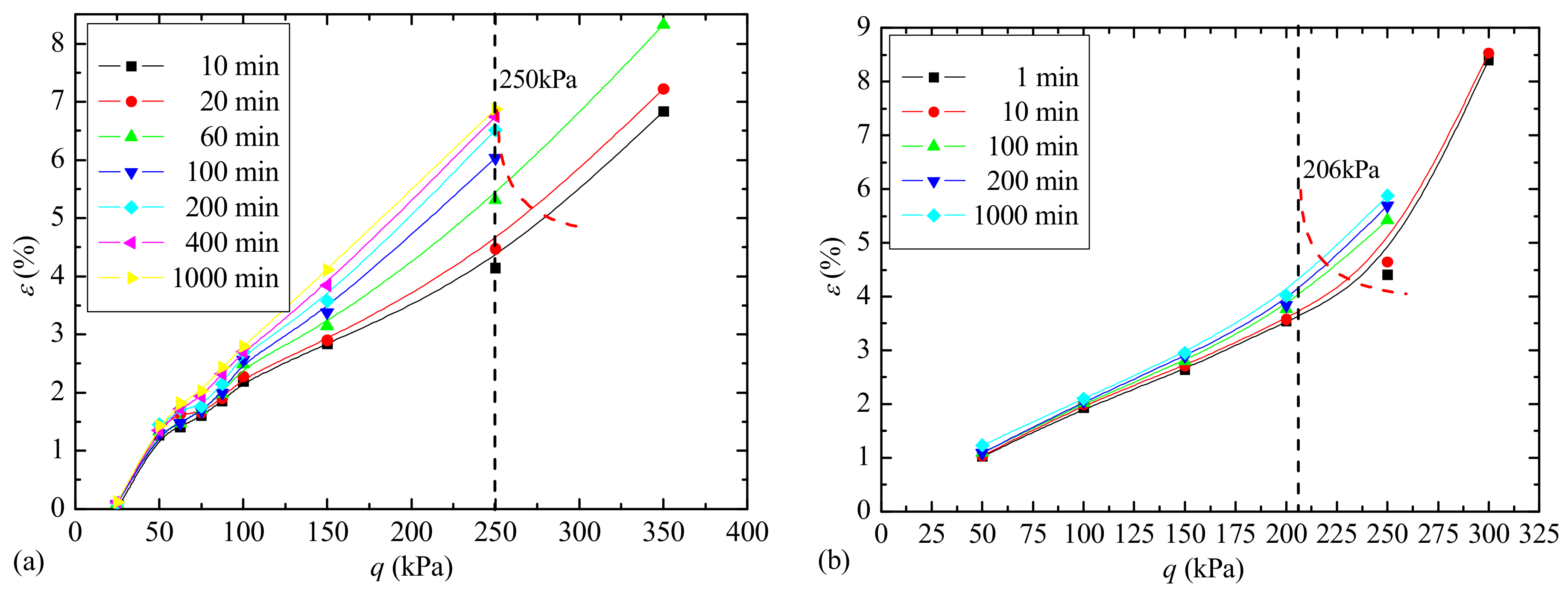
4.1. The Long-Term Strength of Loess Samples with Different Dry-Wet Cycles
4.2. Creep Damage Mechanism of Loess Samples Due to the Dry-Wet Cycles
4.3. Limitations of the Experimental Test in This Study
5. Conclusions
- (i)
- With the same number of dry-wet cycles, the strain-time curve of the loess samples shows a similar trend, where the strain eventually reaches a certain value with an increase of time when a small load is applied, whereas the creep curve of the stable phase increases linearly with time when the loess specimen is subjected to a higher loading. As the number of dry-wet cycles increases, the maximum value of the deviatoric stress corresponding to the creep failure gradually decreases, indicating that the deterioration of triaxial compressive strength is attributed to the dry-wet cycles.
- (ii)
- The long-term strength of loess samples with different dry-wet cycles was obtained by using the Isochronous Curve Method, and the long-term strength of loess samples and the number of dry-wet cycles showed an exponential decreasing relationship.
- (iii)
- The creep damage mechanism of loess samples due to dry-wet cycles can be explained as follows: the dry-wet cycle causes repeated migration and loss of soluble salts between soil particles in the loess sample, which results in damage of the sample’s microstructure. Consequently, the development and expansion of joint fractures within the loess samples were also aggravated. The combined effects of microstructural damage and expansion of joint fractures causes a greater deterioration in the creep properties of loess soils.
Author Contributions
Funding
Institutional Review Board Statement
Informed Consent Statement
Data Availability Statement
Acknowledgments
Conflicts of Interest
References
- Derbyshire, E.; Dijkstra, T.; Smalley, I.; Li, Y. Failure mechanisms in loess and the effects of moisture content changes on remoulded strength. Quat. Int. 1994, 24, 5–15. [Google Scholar] [CrossRef]
- Lian, B.; Peng, J.; Zhan, H.; Huang, Q.; Wang, X.; Sheng, H. Formation mechanism analysis of irrigation-induced retrogressive loess Landslides. Catena 2020, 195, 104441. [Google Scholar] [CrossRef]
- Wang, X.; Wang, J.; Zhan, H.; Li, P.; Qiu, H.; Hu, S. Moisture content effect on the creep behavior of loess for the catastrophic Baqiao landslide. Catena 2020, 187, 104371. [Google Scholar] [CrossRef]
- Lian, B.; Wang, X.; Peng, J.; Huang, Q. Shear rate effect on the residual strength characteristics of saturated loess in naturally drained ring shear tests. Nat. Hazards Earth Syst. Sci. 2020, 20, 2843–2856. [Google Scholar] [CrossRef]
- Yates, K.; Fenton, C.H.; Bell, D.H. A review of the geotechnical characteristics of loess and loess-derived soils from Canterbury, South Island, New Zealand. Eng. Geol. 2018, 236, 11–21. [Google Scholar] [CrossRef]
- Pan, P.; Shang, Y.-Q.; Lü, Q.; Yu, Y. Periodic recurrence and scale-expansion mechanism of loess landslides caused by groundwater seepage and erosion. Bull. Int. Assoc. Eng. Geol. 2017, 78, 1143–1155. [Google Scholar] [CrossRef]
- Xu, J.; Li, Y.; Wang, S.; Wang, Q.; Ding, J. Shear strength and mesoscopic character of undisturbed loess with sodium sulfate after dry-wet cycling. Bull. Eng. Geol. Environ. 2020, 79, 1523–1541. [Google Scholar] [CrossRef]
- Fan, X.; Xu, Q.; Scaringi, G.; Li, S.; Peng, D. A chemo-mechanical insight into the failure mechanism of frequently occurred landslides in the Loess Plateau, Gansu Province, China. Eng. Geol. 2017, 228, 337–345. [Google Scholar] [CrossRef]
- Zhang, F.; Wang, G. Effect of irrigation-induced densification on the post-failure behavior of loess flowslides occurring on the Hei-fangtai area, Gansu, China. Eng. Geol. 2017, 236, 111–118. [Google Scholar] [CrossRef]
- Zhang, F.; Wang, G.; Kamai, T.; Chen, W.; Zhang, D.; Yang, J. Undrained shear behavior of loess saturated with different concen-trations of sodium chloride solution. Eng. Geol. 2013, 155, 69–79. [Google Scholar] [CrossRef] [Green Version]
- Wen, B.-P.; Yan, Y.-J. Influence of structure on shear characteristics of the unsaturated loess in Lanzhou, China. Eng. Geol. 2014, 168, 46–58. [Google Scholar] [CrossRef]
- Xu, L.; Coop, M.R. Influence of structure on the behavior of a saturated clayey loess. Can. Geotech. J. 2016, 53, 1026–1037. [Google Scholar] [CrossRef]
- Billard, A.; Muxart, T.; Derbyshire, E.; Wang, J.T.; Dijkstra, T. Landsliding and land use in the loess of Gansu Province, China. Supplementband 1993, 87, 117–131. [Google Scholar]
- Carey, J.M.; McSaveney, M.J.; Petley, D.N. Dynamic liquefaction of shear zones in intact loess during simulated earthquake loading. Landslides 2016, 14, 789–804. [Google Scholar] [CrossRef]
- Sorbino, G.; Nicotera, M.V. Unsaturated soil mechanics in rainfall-induced flow landslides. Eng. Geol. 2012, 165, 105–132. [Google Scholar] [CrossRef]
- Liu, X.; Jin, M.; Li, D.; Zhang, L. Strength deterioration of a Shaly sandstone under dry–wet cycles: A case study from the Three Gorges Reservoir in China. Bull. Eng. Geol. Environ. 2017, 77, 1607–1621. [Google Scholar] [CrossRef]
- Sawatsubashi, M.; Kiyota, T.; Katagiri, T. Effect of initial water content and shear stress on immersion-induced creep deformation and strength characteristics of gravelly mudstone. Soils Found. 2021, 61, 1223–1234. [Google Scholar] [CrossRef]
- Wang, X.-G.; Lian, B.-Q.; Wang, J.-D.; Feng, W.-K.; Gu, T.-F. Creep damage properties of sandstone under dry-wet cycles. J. Mt. Sci. 2020, 17, 3112–3122. [Google Scholar] [CrossRef]
- Zhang, F.; Jiang, A.; Yang, X. Shear creep experiments and modeling of granite under dry-wet cycling. Bull. Eng. Geol. Environ. 2021, 80, 5897–5908. [Google Scholar] [CrossRef]
- Khan, M.A.; Hossain, M.S.; Samir, S.; Aramoon, A. Impact of Wet-Dry Cycles on the Shear Strength of High Plastic Clay Based on Direct Shear Testing. Geotech. Front. 2017, 2017, 615–622. [Google Scholar] [CrossRef]
- Tang, C.; Shi, B.; Liu, C.; Zhao, L.; Wang, B. Influencing factors of geometrical structure of surface shrinkage cracks in clayey soils. Eng. Geol. 2008, 101, 204–217. [Google Scholar] [CrossRef]
- Malusis, M.A.; Yeom, S.; Evans, J.C. Hydraulic conductivity of model soil–bentonite backfills subjected to wet–dry cycling. Can. Geotech. J. 2011, 48, 1198–1211. [Google Scholar] [CrossRef] [Green Version]
- Yuan, Z.; Tang, C.; Yang, P.; Shu, A.; Yang, L. Experimental studies of compressive strength of undisturbed loess in drying-wetting cycle. J. Eng. Geol. 2018, 26, 155–161. (In Chinese) [Google Scholar]
- Mu, H.; Deng, Y.; Rongjian, L.I. Experimental study on strength characteristics of loess at ground fissures in xi’an under action of dry and wet cycle. J. Eng. Geol. 2018, 26, 1132–1137. (In Chinese) [Google Scholar]
- Yan, C.; Zhang, Z.; Jing, Y. Characteristics of strength and pore distribution of lime-flyash loess under freeze-thaw cycles and dry-wet cycles. Arab. J. Geosci. 2017, 10, 544. [Google Scholar] [CrossRef]
- Li, G.; Wang, F.; Ma, W.; Fortier, R.; Mu, Y.; Mao, Y.; Hou, X. Variations in strength and deformation of compacted loess exposed to wetting-drying and freeze-thaw cycles. Cold Reg. Sci. Technol. 2018, 151, 159–167. [Google Scholar] [CrossRef]
- Hu, C.; Yuan, Y.; Wang, X.; Mei, Y.; Liu, Z. Experimental study on strength deterioration model of compacted loess under wet-ting-drying cycles. Chin. J. Rock Mech. Eng. 2018, 37, 2804–2818. (In Chinese) [Google Scholar]
- Zhao, T.; Wang, J. Soil-water characteristic curve for unsaturated loess soil considering density and wetting-drying cycle effects. J. Cent. South Univ. Sci. Technol. 2012, 43, 2445–2453. [Google Scholar]
- Wang, F.; Li, G.; Mu, Y.; Zhang, P.; Fan, S. Experimental study of deformation characteristics of compacted loess subjected to dry-ing-wetting cycle. Rock Soil Mech. 2016, 37, 2306–2312. [Google Scholar]
- Xu, J.; Li, Y.; Ren, C.; Lan, W. Damage of saline intact loess after dry-wet and its interpretation based on SEM and NMR. Soils Found. 2020, 60, 911–928. [Google Scholar] [CrossRef]
- Wei, T.; Fan, W.; Yuan, W.; Wei, Y.-N.; Yu, B. Three-dimensional pore network characterization of loess and paleosol stratigraphy from South Jingyang Plateau, China. Environ. Earth Sci. 2019, 78, 333. [Google Scholar] [CrossRef]
- Duan, Z.; Cheng, W.-C.; Peng, J.-B.; Wang, Q.-Y.; Chen, W. Investigation into the triggering mechanism of loess landslides in the south Jingyang platform, Shaanxi province. Bull. Eng. Geol. Environ. 2019, 78, 4919–4930. [Google Scholar] [CrossRef]
- D4318-10; Standard Test Methods for Liquid Limit, Plastic Limit, and Plasticity Index of Soils. ASTM International: West Conshohocken, PA, USA, 2010.
- D 854; Standard Test Methods for Specific Gravity of Soil Solids by Water Pycnometer. ASTM International: West Conshohocken, PA, USA, 2014.
- D 2216; Standard Test Methods for Laboratory Determination of Water (Moisture) Content of Soil and Rock by Mass. ASTM International: West Conshohocken, PA, USA, 2010.
- D 6836; Standard Test Methods for Determination of the Soil Water Characteristic Curve for Desorption Using a Hanging Column, Pressure Extractor, Chilled Mirror Hygrometer, and/or Centrifuge. ASTM International: West Conshohocken, PA, USA, 2002.
- Sadeghi, H.; Hossen, S.B.; Chiu, A.C.; Cheng, Q.; Ng, C. Water retention curves of intact and re-compacted loess at different net stresses. Jpn. Geotech. Soc. Spéc. Publ. 2016, 2, 221–225. [Google Scholar] [CrossRef] [Green Version]
- Guo, S.; Wu, J.; Dang, T.; Liu, W.; Li, Y.; Wei, W.; Syers, J.K. Impacts of fertilizer practices on environmental risk of nitrate in semiarid farmlands in the Loess Plateau of China. Plant Soil 2010, 330, 1–13. [Google Scholar] [CrossRef]
- Xu, P.; Zhang, Q.; Qian, H.; Yang, F.; Zheng, L. Investigating the mechanism of pH effect on saturated permeability of remolded loess. Eng. Geol. 2021, 284, 105978. [Google Scholar] [CrossRef]
- Hu, W.; Cheng, W.-C.; Wen, S.; Rahman, M. Effects of chemical contamination on microscale structural characteristics of intact loess and resultant macroscale mechanical properties. Catena 2021, 203, 105361. [Google Scholar] [CrossRef]
- Nan, J.; Peng, J.; Zhu, F.; Ma, P.; Liu, R.; Leng, Y.; Meng, Z. Shear behavior and microstructural variation in loess from the Yan’an area, China. Eng. Geol. 2021, 280, 105964. [Google Scholar] [CrossRef]
- Chen, X.; DU, S.; Zhang, D.; Li, B.; Ji, T. Triaxial creep properties of fiber reinforced expansive soil. J. Eng. Geol. 2017, 25, 80–87. [Google Scholar]
- Yang, S.-Q.; Hu, B. Creep and Long-Term Permeability of a Red Sandstone Subjected to Cyclic Loading After Thermal Treatments. Rock Mech. Rock Eng. 2018, 51, 2981–3004. [Google Scholar] [CrossRef]
- Xie, X.; Qi, S.; Zhao, F.; Wang, D. Creep behavior and the microstructural evolution of loess-like soil from Xi’an area, China. Eng. Geol. 2018, 236, 43–59. [Google Scholar] [CrossRef]
- Shukla, A.; Joshi, Y.M. Boltzmann superposition principle for a time-dependent soft material: Assessment under creep flow field. Rheol. Acta 2017, 56, 927–940. [Google Scholar] [CrossRef]
- Wang, J.; Wang, X.; Zhan, H.; Qiu, H.; Hu, S. A new superlinear viscoplastic shear model for accelerated rheological deformation. Comput. Geotech. 2019, 114, 103132. [Google Scholar] [CrossRef]
- Betten, J. Creep Mechanics; Springer Science & Business Media: Berlin/Heidelberg, Germany, 2008. [Google Scholar]
- Vinogradov, V.; Milton, G. The total creep of viscoelastic composites under hydrostatic or antiplane loading. J. Mech. Phys. Solids 2005, 53, 1248–1279. [Google Scholar] [CrossRef]
- Al-Zubaydi, A.H.; Al-Atalla, M.A.; Al-Kiki, I.M. Long term strength and durability of clayey soil stabilized with lime. Eng. Technol. J. 2011, 29, 725–735. [Google Scholar]
- Fatahi, B.; Le, T.M.; Le, M.Q.; Khabbaz, H. Soil creep effects on ground lateral deformation and pore water pressure under em-bankments. Geomech. Geoengin. 2013, 8, 107–124. [Google Scholar] [CrossRef]
- Liu, L.; Xu, W. Experimental Researches on Long-Term Strength of Granite Gneiss. Adv. Mater. Sci. Eng. 2015, 2015, 187616. [Google Scholar] [CrossRef] [Green Version]
- Kowalewski, Z.L. Assessment of the Multiaxial Creep Data Based on the Isochronous Creep Surface Concept. In IUTAM Symposium on Creep in Structures; Springer: Dordrecht, The Netherlands, 2001; pp. 401–410. [Google Scholar] [CrossRef]
- Metri, V.; Briels, W. Brownian dynamics investigation of the Boltzmann superposition principle for orthogonal superposition rheology. J. Chem. Phys. 2019, 150, 014903. [Google Scholar] [CrossRef] [Green Version]
- Cong, L.; Hu, X. Triaxial rheological property of sandstone under low confining pressure. Eng. Geol. 2017, 231, 45–55. [Google Scholar] [CrossRef]
- Jury, W.A. Simulation of solute transport using a transfer function model. Water Resour. Res. 1982, 18, 363–368. [Google Scholar] [CrossRef]
- Kong, R.; Gao, L.; Zhao, W.; Zhao, B. Multi-scale analysis of geotechnical and physicochemical changes in loess caused by nano-SiO2 pile migration. Front. Earth Sci. 2021, 9, 820. [Google Scholar] [CrossRef]
- Yao, R.-J.; Yang, J.-S.; Zhang, T.-J.; Hong, L.-Z.; Wang, M.-W.; Yu, S.-P.; Wang, X.-P. Studies on soil water and salt balances and scenarios simulation using SaltMod in a coastal reclaimed farming area of eastern China. Agric. Water Manag. 2014, 131, 115–123. [Google Scholar] [CrossRef]













| Moisture Content (%) | Dry Density (g/cm3) | Density (g/cm3) | Specific Gravity | Void Ratio | 
|---|---|---|---|---|
| 16 | 1.503 | 1.858 | 2.711 | 0.768 | 
| The Number of Dry-Wet Cycles | Deviatoric Stress/kPa | 
|---|---|
| 0 | 25, 50, 62.5, 75, 87.5, 100, 150, 250, 350 | 
| 5 | 50, 100, 150, 200, 250, 300 | 
| 10 | 50, 125, 200, 250, 300 | 
| 15 | 50, 100, 175, 250 | 
| 20 | 50, 100, 175, 250 | 
| n | 0 | 5 | 10 | 15 | 20 | 
|---|---|---|---|---|---|
| qL | 250 | 206 | 172 | 150 | 148 | 
| Publisher’s Note: MDPI stays neutral with regard to jurisdictional claims in published maps and institutional affiliations. | 
© 2022 by the authors. Licensee MDPI, Basel, Switzerland. This article is an open access article distributed under the terms and conditions of the Creative Commons Attribution (CC BY) license (https://creativecommons.org/licenses/by/4.0/).
Share and Cite
Liu, K.; Gu, T.; Wang, X.; Wang, J. Time-Dependence of the Mechanical Behavior of Loess after Dry-Wet Cycles. Appl. Sci. 2022, 12, 1212. https://doi.org/10.3390/app12031212
Liu K, Gu T, Wang X, Wang J. Time-Dependence of the Mechanical Behavior of Loess after Dry-Wet Cycles. Applied Sciences. 2022; 12(3):1212. https://doi.org/10.3390/app12031212
Chicago/Turabian StyleLiu, Kai, Tianfeng Gu, Xingang Wang, and Jiading Wang. 2022. "Time-Dependence of the Mechanical Behavior of Loess after Dry-Wet Cycles" Applied Sciences 12, no. 3: 1212. https://doi.org/10.3390/app12031212
APA StyleLiu, K., Gu, T., Wang, X., & Wang, J. (2022). Time-Dependence of the Mechanical Behavior of Loess after Dry-Wet Cycles. Applied Sciences, 12(3), 1212. https://doi.org/10.3390/app12031212
 
         
                                                

 
       