Electrical Conductivity and Compressive Strength of Cement Paste with Multiwalled Carbon Nanotubes and Graphene Nanoplatelets
Abstract
:1. Introduction
2. Experimental Design
2.1. Mix Proportions
2.2. Dispersion of MWCNTs and GNPs
2.3. Electrical Resistivity and Compressive Strength Test
3. Test Results and Discussion
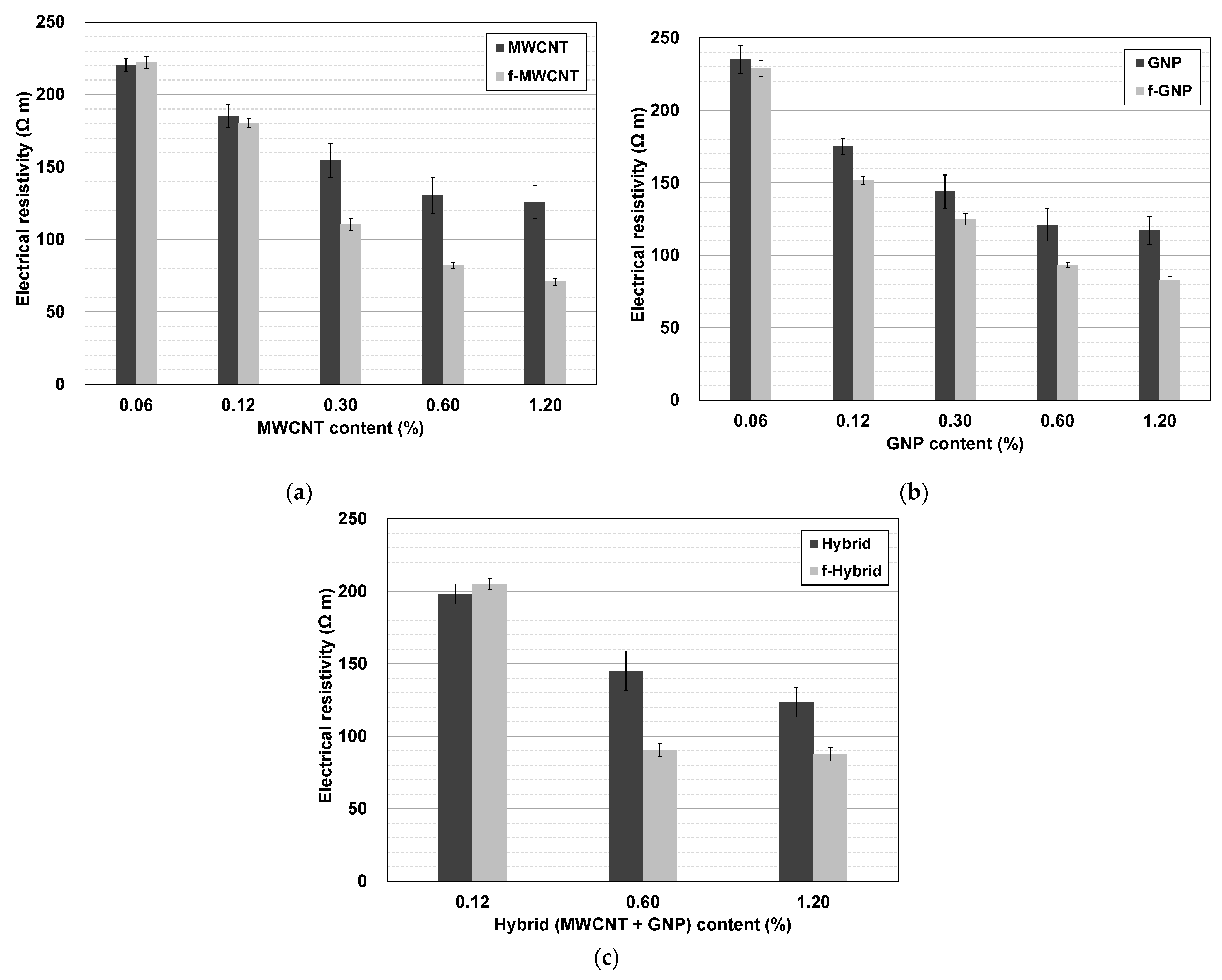
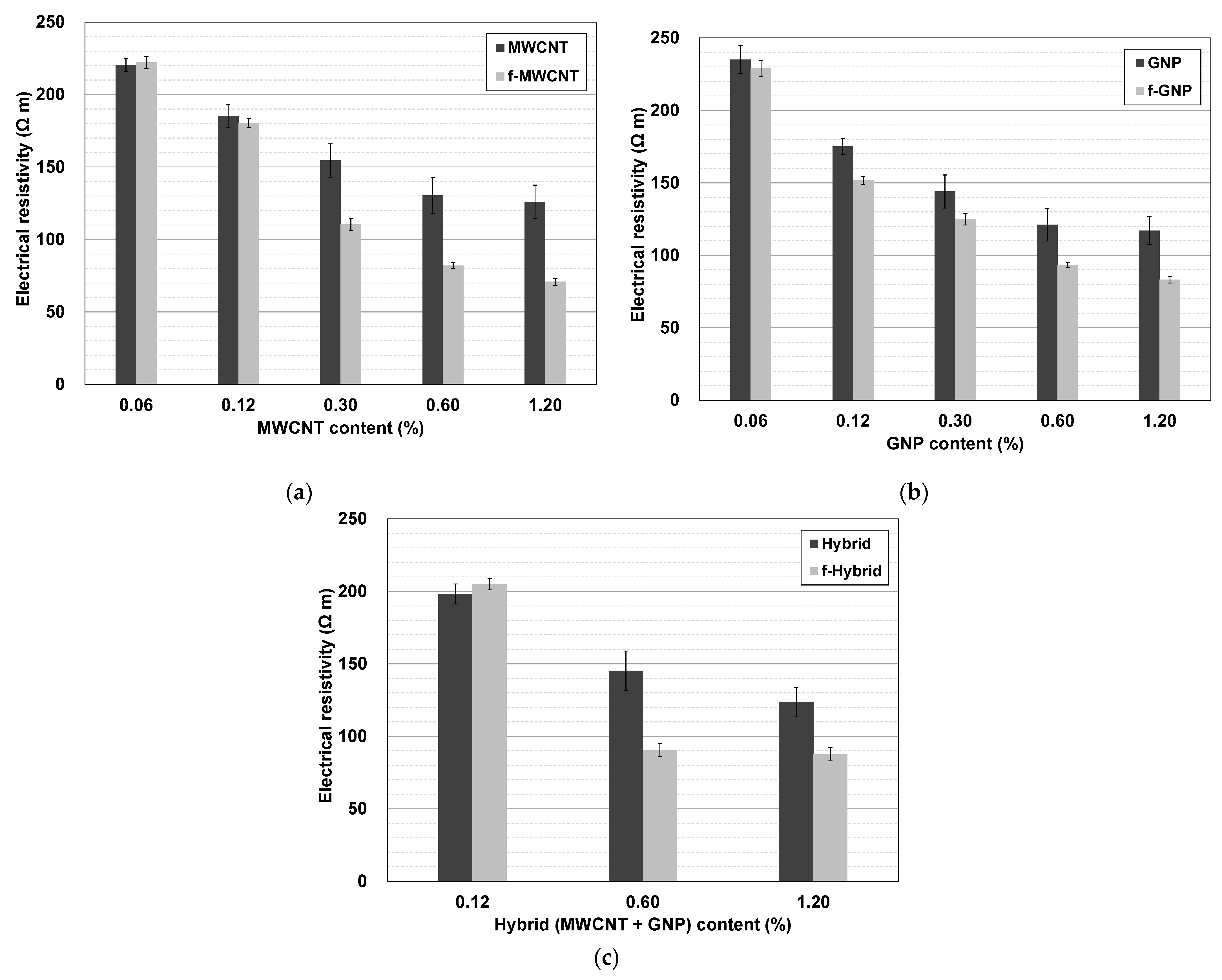
3.1. Electrical Resistivity
3.2. Compressive Strength
4. Conclusions
Author Contributions
Funding
Conflicts of Interest
References
- Lin, Y.; Du, H. Graphene reinforced cement composites: A review. Constr. Build. Mater. 2020, 265, 120312. [Google Scholar] [CrossRef]
- Raki, L.; Beaudoin, J.; Alizadeh, R.; Makar, J.; Sato, T. Cement and concrete nanoscience and nanotechnology. Materials 2010, 3, 918. [Google Scholar] [CrossRef] [Green Version]
- Iijima, S. Helical microtubules of graphitic carbon. Nature 1991, 354, 56–58. [Google Scholar] [CrossRef]
- Makar, J.M.; Beaudoin, J.J. Carbon nanotubes and their application in the construction industry. In Proceedings of the 1st International Symposium on Nanotechnology in Construction, Paisley, Scotland, 23–25 June 2003; pp. 331–341. [Google Scholar]
- Assi, L.; Alsalman, A.; Bianco, D.; Ziehl, P.; El-Khatib, J.; Bayat, M.; Hussein, F.H. Multiwall carbon nanotubes (MWCNTs) dispersion & mechanical effects in OPC mortar & paste: A review. J. Build. Eng. 2021, 43, 102512. [Google Scholar] [CrossRef]
- Kaspar, P.; Sobola, D.; Částková, K.; Dallaev, R.; Šťastná, E.; Sedlák, P.; Knápek, A.; Trčka, T.; Holcman, V. Case Study of Polyvinylidene Fluoride Doping by Carbon Nanotubes. Materials 2021, 14, 1428. [Google Scholar] [CrossRef]
- Jiang, Z.; Sevim, O.; Ozbulut, O.E. Mechanical properties of graphene nanoplatelets-reinforced concrete prepared with different dispersion techniques. Constr. Build. Mater. 2021, 303, 124472. [Google Scholar] [CrossRef]
- Mohsen, M.O.; Taha, R.; Abu Taqa, A.; Shaat, A. Optimum carbon nanotubes’ content for improving flexural and compressive strength of cement paste. Constr. Build. Mater. 2017, 150, 395–403. [Google Scholar] [CrossRef]
- Xu, S.; Liu, J.; Li, Q. Mechanical properties and microstructure of multi-walled carbon nanotube-reinforced cement paste. Constr. Build. Mater. 2015, 76, 16–23. [Google Scholar] [CrossRef]
- Naqi, A.; Abbas, N.; Zahra, N.; Hussain, A.; Shabbir, S.Q. Effect of multi-walled carbon nanotubes (MWCNTs) on the strength development of cementitious materials. J. Mater. Res. Technol. 2019, 8, 1203–1211. [Google Scholar] [CrossRef]
- Jang, S.-H.; Kawashima, S.; Yin, H. Influence of carbon nanotube clustering on mechanical and electrical properties of cement pastes. Materials 2016, 9, 220. [Google Scholar] [CrossRef] [Green Version]
- Du, M.R.; Jing, H.W.; Duan, W.H.; Han, G.S.; Chen, S.J. Methylcellulose stabilized multi-walled carbon nanotubes dispersion for sustainable cement composites. Constr. Build. Mater. 2017, 146, 76–85. [Google Scholar] [CrossRef]
- Cui, H.; Yang, S.; Memon, S.A. Development of carbon nanotube modified cement paste with microencapsulated phase-change material for structural–functional integrated application. Int. J. Mol. Sci. 2015, 16, 8027–8039. [Google Scholar] [CrossRef]
- Sikora, P.; Abd Elrahman, M.; Chung, S.-Y.; Cendrowski, K.; Mijowska, E.; Stephan, D. Mechanical and microstructural properties of cement pastes containing carbon nanotubes and carbon nanotube-silica core-shell structures, exposed to elevated temperature. Cement Concr. Compos. 2019, 95, 193–204. [Google Scholar] [CrossRef]
- Guan, X.; Bai, S.; Li, H.; Ou, J. Mechanical properties and microstructure of multiwalled carbon nanotube-reinforced cementitious composites under the early-age freezing conditions. Constr. Build. Mater. 2020, 233, 117317. [Google Scholar] [CrossRef]
- Konsta-Gdoutos, M.S.; Batis, G.; Danoglidis, P.A.; Zacharopoulou, A.K.; Zacharopoulou, E.K.; Falara, M.G.; Shah, S.P. Effect of CNT and CNF loading and count on the corrosion resistance, conductivity and mechanical properties of nanomodified OPC mortars. Constr. Build. Mater. 2017, 147, 48–57. [Google Scholar] [CrossRef]
- Sun, G.; Liang, R.; Lu, Z.; Zhang, J.; Li, Z. Mechanism of cement/carbon nanotube composites with enhanced mechanical properties achieved by interfacial strengthening. Constr. Build. Mater. 2016, 115, 87–92. [Google Scholar] [CrossRef]
- Hawreen, A.; Bogas, J.A.; Dias, A.P.S. On the mechanical and shrinkage behavior of cement mortars reinforced with carbon nanotubes. Constr. Build. Mater. 2018, 168, 459–470. [Google Scholar] [CrossRef]
- Falara, M.G.; Aza, C.A.; Danoglidis, P.A.; Konsta-Gdoutos, M.S.; Gdoutos, E.E. Measurement and modeling of the elastic modulus of advanced cement based nanocomposites. In Nanotechnology in Construction; Sobolev, K., Shah, S., Eds.; Springer: Cham, Switzerland, 2015. [Google Scholar] [CrossRef]
- Miller, H.D. Surface Treatment of Steel Fibres and Carbon Nanotubes to Develop Chemical Bonds with Concrete. Ph.D. Thesis, University of New South Wales, Sydney, Australia, 2019. [Google Scholar]
- Baomin, W.; Shuang, D. Effect and mechanism of graphene nanoplatelets on hydration reaction, mechanical properties and microstructure of cement composites. Constr. Build. Mater. 2019, 228, 116720. [Google Scholar] [CrossRef]
- Wang, B.; Shuang, D. Effect of graphene nanoplatelets on the properties, pore structure and microstructure of cement composites. Mater. Express 2018, 8, 407–416. [Google Scholar] [CrossRef]
- Wang, B.; Jiang, R.; Wu, Z. Investigation of the mechanical properties and microstructure of graphene nanoplatelet-cement composite. Nanomaterials 2016, 6, 200. [Google Scholar] [CrossRef]
- Tao, J.; Wang, X.; Wang, Z.; Zeng, Q. Graphene nanoplatelets as an effective additive to tune the microstructures and piezoresistive properties of cement-based composites. Constr. Build. Mater. 2019, 209, 665–678. [Google Scholar] [CrossRef]
- Liu, Q.; Xu, Q.; Yu, Q.; Gao, R.; Tong, T. Experimental investigation on mechanical and piezoresistive properties of cementitious materials containing graphene and graphene oxide nanoplatelets. Constr. Build. Mater. 2016, 127, 565–576. [Google Scholar] [CrossRef]
- Jiang, Z.; Sherif, M.M.; Xing, G.; Ozbulut, O.E. Tensile characterization of graphene nanoplatelets (GNP) mortar using acoustic emissions. Mater. Today Commun. 2020, 25, 101433. [Google Scholar] [CrossRef]
- Peyvandi, A.; Soroushian, P.; Farhadi, N.; Balachandra, A.M. Evaluation of the reinforcement efficiency of low-cost graphite nanomaterials in high-performance concrete. KSCE J. Civ. Eng. 2018, 22, 3875–3882. [Google Scholar] [CrossRef]
- Chen, G.; Yang, M.; Xu, L.; Zhang, Y.; Wang, Y. Graphene nanoplatelets impact on concrete in improving freeze-thaw resistance. Appl. Sci. 2019, 9, 3582. [Google Scholar] [CrossRef] [Green Version]
- Du, H.; Gao, H.J.; Pang, S.D. Improvement in concrete resistance against water and chloride ingress by adding graphene nanoplatelet. Cem. Concr. Res. 2016, 83, 114–123. [Google Scholar] [CrossRef]
- Kim, J.; Cha, J.; Jun, G.H.; Yoo, S.C.; Ryu, S.; Hong, S.H. Fabrication of graphene nanoplatelet/epoxy nanocomposites for lightweight and high-strength structural applications. Part. Part. Syst. Charact. 2018, 35, 1700412. [Google Scholar] [CrossRef]
- Xu, J.; Ashraf, S.; Khan, S.; Chen, X.; Akbar, A.; Farooq, F. Micro-cracking pattern recognition of hybrid CNTs/GNPs cement pastes under three-point bending loading using acoustic emission technique. J. Build. Eng. 2021, 42, 102816. [Google Scholar] [CrossRef]
- Farcas, C.; Galao, O.; Navarro, R.; Zornoza, E.; Baeza, F.J.; Del Moral, B.; Pla, R.; Garcés, P. Heating and de-icing function in conductive concrete and cement paste with the hybrid addition of carbon nanotubes and graphite products. Smart Mater. Struct. 2021, 30, 045010. [Google Scholar] [CrossRef]
- Rao, R.; Sindu, B.S.; Sasmal, S. Synthesis, design and piezo-resistive characteristics of cementitious smart nanocomposites with different types of functionalized MWCNTs under long cyclic loading. Cement Concr. Compos. 2020, 108, 103517. [Google Scholar] [CrossRef]
- Testing Method for Compressive Strength of Hydraulic Cement Mortars; KS L 5105; Korean Standards Association: Seoul, Korea, 2017.
- Cao, J.; Chung, D.D.L. Electric polarization and depolarization in cement-based materials, studied by apparent electrical resistance measurement. Cem. Concr. Res. 2004, 34, 481–485. [Google Scholar] [CrossRef]
- Musso, S.; Tulliani, J.-M.; Ferro, G.; Tagliaferro, A. Influence of carbon nanotubes structure on the mechanical behavior of cement composites. Compos. Sci. Technol. 2009, 69, 1985–1990. [Google Scholar] [CrossRef]
- Farooq, F.; Akbar, A.; Khushnood, R.A.; Muhammad, W.L.B.; Rehman, S.K.U.; Javed, M.F. Experimental Investigation of Hybrid Carbon Nanotubes and Graphite Nanoplatelets on Rheology, Shrinkage, Mechanical, and Microstructure of SCCM. Materials 2020, 13, 230. [Google Scholar] [CrossRef] [PubMed] [Green Version]
- Abedi, M.; Fangueiro, R.; Camões, A.; Correia, A.G. Evaluation of CNT/GNP’s synergic effects on the Mechanical, Microstructural, and durability properties of a cementitious composite by the novel dispersion method. Constr. Build. Mater. 2020, 260, 120486. [Google Scholar] [CrossRef]
- Zhou, C.; Li, F.; Hu, J.; Ren, M.; Wei, J.; Yu, Q. Enhanced mechanical properties of cement paste by hybrid graphene oxide/carbon nanotubes. Constr. Build. Mater. 2017, 134, 336–345. [Google Scholar] [CrossRef]
- Li, X.; Wei, W.; Qin, H.; Hu, Y.H. Co-effects of graphene oxide sheets and single wall carbon nanotubes on mechanical properties of cement. J. Phys. Chem. Solids. 2015, 85, 39–43. [Google Scholar] [CrossRef]






| Specific Surface Area (m2/g) | Bulk Density (g/cm3) | Purity (%) | Outer Diameter (nm) | Length (μm) |
|---|---|---|---|---|
| 150–250 | 0.04–0.08 | >90 | 5–20 | 10–30 |
| Specific Surface Area (m2/g) | Bulk Density (g/cm3) | Purity (%) | Diameter (μm) |
|---|---|---|---|
| 30–60 | 0.03–0.1 | >95 | 7–25 |
| Mix ID. | Dispersion | MWCNTs (wt%) | GNPs (wt%) |
|---|---|---|---|
| MWCNT | Ultrasonication | 0.06 | - |
| 0.12 | - | ||
| 0.30 | - | ||
| 0.60 | - | ||
| 1.20 | - | ||
| GNP | - | 0.06 | |
| - | 0.12 | ||
| - | 0.30 | ||
| - | 0.60 | ||
| - | 1.20 | ||
| Hybrid | 0.06 | 0.06 | |
| 0.30 | 0.30 | ||
| 0.60 | 0.60 | ||
| f-MWCNT | Noncovalent functionalization + ultrasonication | 0.06 | - |
| 0.12 | - | ||
| 0.30 | - | ||
| 0.60 | - | ||
| 1.20 | - | ||
| f-GNP | - | 0.06 | |
| - | 0.12 | ||
| - | 0.30 | ||
| - | 0.60 | ||
| - | 1.20 | ||
| f-Hybrid | 0.06 | 0.06 | |
| 0.30 | 0.30 | ||
| 0.60 | 0.60 |
Publisher’s Note: MDPI stays neutral with regard to jurisdictional claims in published maps and institutional affiliations. |
© 2022 by the authors. Licensee MDPI, Basel, Switzerland. This article is an open access article distributed under the terms and conditions of the Creative Commons Attribution (CC BY) license (https://creativecommons.org/licenses/by/4.0/).
Share and Cite
Lim, K.M.; Lee, J.H. Electrical Conductivity and Compressive Strength of Cement Paste with Multiwalled Carbon Nanotubes and Graphene Nanoplatelets. Appl. Sci. 2022, 12, 1160. https://doi.org/10.3390/app12031160
Lim KM, Lee JH. Electrical Conductivity and Compressive Strength of Cement Paste with Multiwalled Carbon Nanotubes and Graphene Nanoplatelets. Applied Sciences. 2022; 12(3):1160. https://doi.org/10.3390/app12031160
Chicago/Turabian StyleLim, Kwang Mo, and Joo Ha Lee. 2022. "Electrical Conductivity and Compressive Strength of Cement Paste with Multiwalled Carbon Nanotubes and Graphene Nanoplatelets" Applied Sciences 12, no. 3: 1160. https://doi.org/10.3390/app12031160
APA StyleLim, K. M., & Lee, J. H. (2022). Electrical Conductivity and Compressive Strength of Cement Paste with Multiwalled Carbon Nanotubes and Graphene Nanoplatelets. Applied Sciences, 12(3), 1160. https://doi.org/10.3390/app12031160

