Reply to Janssen, H. Comment on “Cabrera et al. A User-Friendly Tool to Characterize the Moisture Transfer in Porous Building Materials: FLoW1D. Appl. Sci. 2020, 10, 5090”
1. Introduction
2. Discussion
2.1. The Van Genuchten–Mualem Model
2.2. The FLoW1D Model
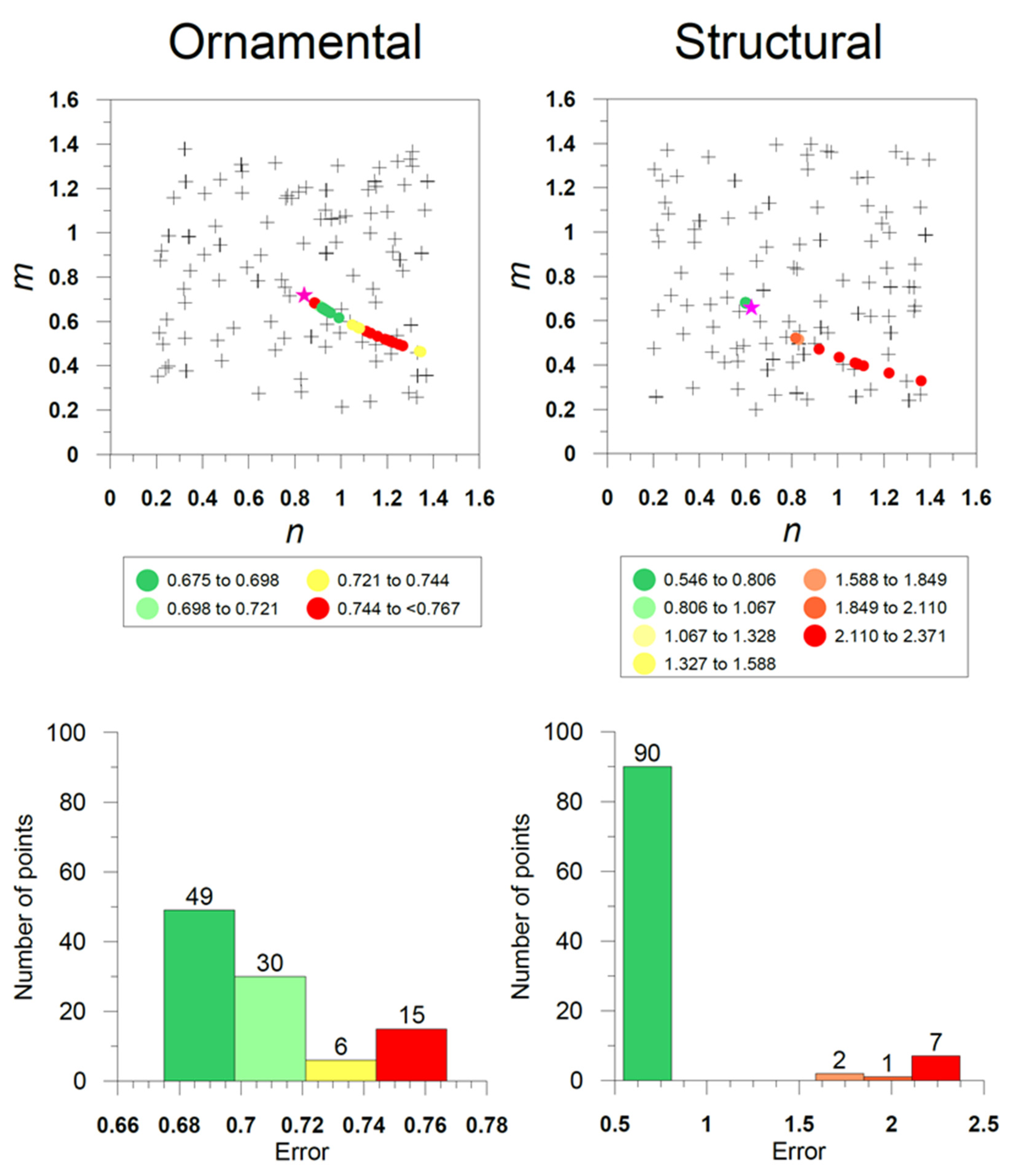
2.3. Parameter Estimation
2.4. Additional Remarks
3. Conclusions
Author Contributions
Funding
Institutional Review Board Statement
Informed Consent Statement
Data Availability Statement
Conflicts of Interest
References
- Cabrera, V.; López-Vizcaíno, R.; Yustres, Á.; Ruiz, M.Á.; Torrero, E.; Navarro, V. A User-Friendly Tool to Characterize the Moisture Transfer in Porous Building Materials: FLoW1D. Appl. Sci. 2020, 10, 5090. [Google Scholar] [CrossRef]
- Cabrera, V.; Yustres, Á.; López-Vizcaíno, R.; Merlo, Ó.; Ruiz, M.Á.; Torrero, E.; Navarro, V. Determination of the hygric properties of the heritage stone of the Cathedral of Cuenca through the water absorption by capillarity test. J. Cult. Herit. 2021, 48, 186–195. [Google Scholar] [CrossRef]
- Ho, C.K.; Webb, S.W. Review of porous media enhanced vapor-phase diffusion mechanisms, models, and data—Does enhanced vapor-phase diffusion exist? J. Porous Media 1998, 1, 71–92. [Google Scholar] [CrossRef] [Green Version]
- Shahraeeni, E.; Or, D. Pore scale mechanisms for enhanced vapor transport through partially saturated porous media. Water Resour. Res. 2012, 48. [Google Scholar] [CrossRef]



Publisher’s Note: MDPI stays neutral with regard to jurisdictional claims in published maps and institutional affiliations. |
© 2022 by the authors. Licensee MDPI, Basel, Switzerland. This article is an open access article distributed under the terms and conditions of the Creative Commons Attribution (CC BY) license (https://creativecommons.org/licenses/by/4.0/).
Share and Cite
Cabrera, V.; López-Vizcaíno, R.; Yustres, Á.; Ruiz, M.Á.; Torrero, E.; Navarro, V. Reply to Janssen, H. Comment on “Cabrera et al. A User-Friendly Tool to Characterize the Moisture Transfer in Porous Building Materials: FLoW1D. Appl. Sci. 2020, 10, 5090”. Appl. Sci. 2022, 12, 1124. https://doi.org/10.3390/app12031124
Cabrera V, López-Vizcaíno R, Yustres Á, Ruiz MÁ, Torrero E, Navarro V. Reply to Janssen, H. Comment on “Cabrera et al. A User-Friendly Tool to Characterize the Moisture Transfer in Porous Building Materials: FLoW1D. Appl. Sci. 2020, 10, 5090”. Applied Sciences. 2022; 12(3):1124. https://doi.org/10.3390/app12031124
Chicago/Turabian StyleCabrera, Virginia, Rubén López-Vizcaíno, Ángel Yustres, Miguel Ángel Ruiz, Enrique Torrero, and Vicente Navarro. 2022. "Reply to Janssen, H. Comment on “Cabrera et al. A User-Friendly Tool to Characterize the Moisture Transfer in Porous Building Materials: FLoW1D. Appl. Sci. 2020, 10, 5090”" Applied Sciences 12, no. 3: 1124. https://doi.org/10.3390/app12031124
APA StyleCabrera, V., López-Vizcaíno, R., Yustres, Á., Ruiz, M. Á., Torrero, E., & Navarro, V. (2022). Reply to Janssen, H. Comment on “Cabrera et al. A User-Friendly Tool to Characterize the Moisture Transfer in Porous Building Materials: FLoW1D. Appl. Sci. 2020, 10, 5090”. Applied Sciences, 12(3), 1124. https://doi.org/10.3390/app12031124

