Tillage Strategy and Nitrogen Fertilization Methods Influences on Selected Soil Quality Indicators and Spring Wheat Yield under Semi-Arid Environmental Conditions of the Loess Plateau, China
Abstract
:1. Introduction
2. Materials and Methods
2.1. Site Description
2.2. Research Design and Setup
2.3. Sample Collection and Measurements
2.3.1. Determination of Soil Water Content
2.3.2. Determination of Soil Organic Carbon
2.3.3. Determination of Soil Chemical Quality Indicators
2.3.4. Determination of Crop Agronomic Traits
2.4. Statistical Analysis
3. Results
3.1. Effect of Treatments on Gravimetric Soil Water Content
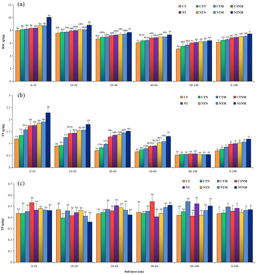
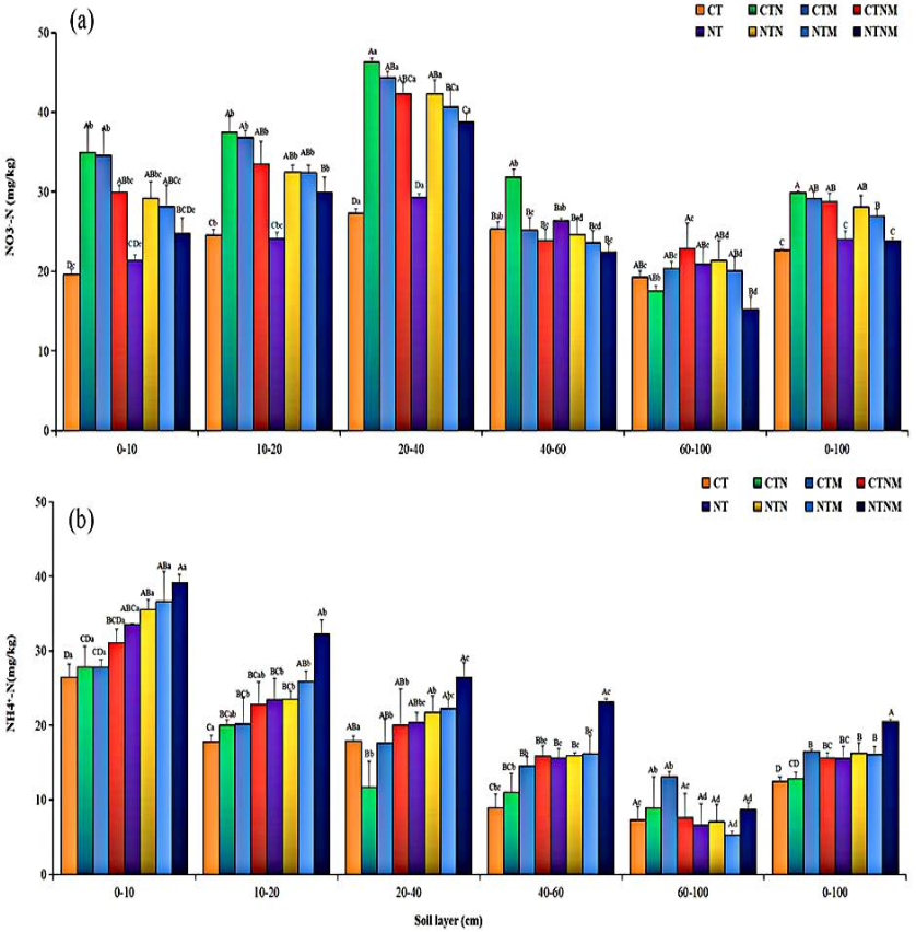
3.2. Effects of Treatments on Soil Chemical Properties under Wheat Agroecosystem
3.3. Response of Soil Stoichiometric Properties to Treatments under Wheat Mono-Cropping System Conditions
3.4. Effects of Treatments on Crop Agronomic Attributes
3.5. Principal Component Analysis and Correlation Analysis
4. Discussion
4.1. Soil Water Content as Affected by Different Treatments
4.2. SOC, TN, TP, N-NO3−, and N-NH4+
4.3. Soil Stoichiometric Ratios under Different Treatments
4.4. Effects of Treatments on Crop Agronomic Attributes
5. Conclusions
Author Contributions
Funding
Institutional Review Board Statement
Informed Consent Statement
Data Availability Statement
Acknowledgments
Conflicts of Interest
References
- Bleam, W.F. Soil and Environmental Chemistry; Academic Press: Cambridge, MA, USA, 2016. [Google Scholar]
- Zhang, H.; Shi, Y.; Dong, Y.; Lapen, D.R.; Liu, J.; Chen, W. Subsoiling and conversion to conservation tillage enriched nitrogen cycling bacterial communities in sandy soils under long-term maize monoculture. Soil Tillage Res. 2022, 215, 105197. [Google Scholar] [CrossRef]
- Sadiq, M.; Li, G.; Rahim, N.; Tahir, M.M.J.S. Sustainable Conservation Tillage Technique for Improving Soil Health by Enhancing Soil Physicochemical Quality Indicators under Wheat Mono-Cropping System Conditions. Sustainability 2021, 13, 8177. [Google Scholar] [CrossRef]
- Roy, D.; Datta, A.; Jat, H.; Choudhary, M.; Sharma, P.; Singh, P.; Jat, M. Impact of long term conservation agriculture on soil quality under cereal based systems of North West India. Geoderma 2022, 405, 115391. [Google Scholar] [CrossRef]
- Xu, G.; Fan, X.; Miller, A.J. Plant nitrogen assimilation and use efficiency. Annu. Rev. Plant Biol. 2012, 63, 153–182. [Google Scholar] [CrossRef] [Green Version]
- Guo, J.H.; Liu, X.J.; Zhang, Y.; Shen, J.L.; Han, W.X.; Zhang, W.F.; Christie, P.; Goulding, K.; Vitousek, P.M.; Zhang, F.S. Significant acidification in major Chinese croplands. Science 2010, 327, 1008–1010. [Google Scholar] [CrossRef] [Green Version]
- Schroder, J.L.; Zhang, H.; Girma, K.; Raun, W.R.; Penn, C.J.; Payton, M.E. Soil acidification from long-term use of nitrogen fertilizers on winter wheat. Soil Sci. Soc. Am. J. 2011, 75, 957–964. [Google Scholar] [CrossRef]
- Krauss, M.; Wiesmeier, M.; Don, A.; Cuperus, F.; Gattinger, A.; Gruber, S.; Haagsma, W.; Peigné, J.; Palazzoli, M.C.; Schulz, F. Reduced tillage in organic farming affects soil organic carbon stocks in temperate Europe. Soil Tillage Res. 2022, 216, 105262. [Google Scholar] [CrossRef]
- Liu, X.; Peng, C.; Zhang, W.; Li, S.; An, T.; Xu, Y.; Ge, Z.; Xie, N.; Wang, J. Subsoiling tillage with straw incorporation improves soil microbial community characteristics in the whole cultivated layers: A one-year study. Soil Tillage Res. 2022, 215, 105188. [Google Scholar] [CrossRef]
- Fang, Y.; Van Zwieten, L.; Rose, M.T.; Vasileiadis, S.; Donner, E.; Vancov, T.; Rigg, J.L.; Weng, Z.H.; Lombi, E.; Drigo, B. Unraveling microbiomes and functions associated with strategic tillage, stubble, and fertilizer management. Agric. Ecosyst. Environ. 2022, 323, 107686. [Google Scholar] [CrossRef]
- Huang, L.; Liu, Y.; Ferreira, J.F.; Wang, M.; Na, J.; Huang, J.; Liang, Z. Long-term combined effects of tillage and rice cultivation with phosphogypsum or farmyard manure on the concentration of salts, minerals, and heavy metals of saline-sodic paddy fields in Northeast China. Soil Tillage Res. 2022, 215, 105222. [Google Scholar] [CrossRef]
- Peng, Z.; Wang, L.; Xie, J.; Li, L.; Coulter, J.A.; Zhang, R.; Luo, Z.; Cai, L.; Carberry, P.; Whitbread, A. Conservation tillage increases yield and precipitation use efficiency of wheat on the semi-arid Loess Plateau of China. Agric. Water Manag. 2020, 231, 106024. [Google Scholar] [CrossRef]
- Yu, Z.; Yao, L.; Wu, M. Farmers’ attitude towards the policy of remediation during fallow in soil fertility declining and heavy metal polluted area of China. Land Use Policy 2020, 97, 104741. [Google Scholar] [CrossRef]
- Su, H.M.; He, A.X. Analysis and Forecast of the Arable Land Resource and Food Production Safety in Anhui Province; Applied Mechanics and Materials; Trans Tech Publications Ltd.: Schwyz, Switzerland, 2013; pp. 229–232. [Google Scholar]
- Xin, X.; Qin, S.; Zhang, J.; Zhu, A.; Yang, W.; Zhang, X. Yield, phosphorus use efficiency and balance response to substituting long-term chemical fertilizer use with organic manure in a wheat-maize system. Field Crops Res. 2017, 208, 27–33. [Google Scholar] [CrossRef]
- Liu, E.; Yan, C.; Mei, X.; He, W.; Bing, S.H.; Ding, L.; Liu, Q.; Liu, S.; Fan, T. Long-term effect of chemical fertilizer, straw, and manure on soil chemical and biological properties in northwest China. Geoderma 2010, 158, 173–180. [Google Scholar] [CrossRef]
- Sadiq, M.; Li, G.; Rahim, N.; Tahir, M.M. Effect of conservation tillage on yield of spring wheat (Triticum aestivum L.) and soil mineral nitrogen and carbon content. Int. Agrophys. 2021, 35, 83–95. [Google Scholar] [CrossRef]
- Barus, J.; Pujiharti, Y.; Novitasari, E. Effect of Differences in Soil Tillage and Application of Organic Fertilizers on Soil Water Content and Yield of Upland Rice; IOP Conference Series; Earth and Environmental Science; IOP Publishing: Bristol, UK, 2021; p. 012153. [Google Scholar]
- Pang, D.; Chen, J.; Jin, M.; Li, H.; Luo, Y.; Li, W.; Chang, Y.; Li, Y.; Wang, Z. Changes in soil micro-and macro-aggregate associated carbon storage following straw incorporation. Catena 2020, 190, 104555. [Google Scholar] [CrossRef]
- Kai, T.; Adhikari, D. Effect of organic and chemical fertilizer application on apple nutrient content and orchard soil condition. Agriculture 2021, 11, 340. [Google Scholar] [CrossRef]
- Han, Y.; Ma, W.; Zhou, B.; Yang, X.; Salah, A.; Li, C.; Cao, C.; Zhan, M.; Zhao, M. Effects of Straw-Return Method for the Maize–Rice Rotation System on Soil Properties and Crop Yields. Agronomy 2020, 10, 461. [Google Scholar] [CrossRef] [Green Version]
- Tan, D.; Liu, Z.; Jiang, L.; Luo, J.; Li, J. Long-term potash application and wheat straw return reduced soil potassium fixation and affected crop yields in North China. Nutr. Cycl. Agroecosyst. 2017, 108, 121–133. [Google Scholar] [CrossRef]
- Jat, H.; Datta, A.; Choudhary, M.; Sharma, P.C.; Yadav, A.; Choudhary, V.; Gathala, M.; Jat, M.L.; McDonald, A. Climate Smart Agriculture practices improve soil organic carbon pools, biological properties and crop productivity in cereal-based systems of North-West India. Catena 2019, 181, 104059. [Google Scholar] [CrossRef]
- Li, J.; Wang, Y.-K.; Guo, Z.; Li, J.-B.; Tian, C.; Hua, D.-W.; Wang, H.-Y.; Han, J.-C.; Xu, Y. Effects of conservation tillage on soil physicochemical properties and crop yield in an arid Loess Plateau, China. Sci. Rep. 2020, 10, 4716. [Google Scholar] [CrossRef]
- Maher, H.; Moussadek, R.; Zouahri, A.; Douaik, A.; Dakak, H.; El Moudane, M.; Ghanimi, A. Effect of No Tillage on the Physico-Chemical Properties of Soils of the El Koudia Region, Rabat (Morocco); E3S Web of Conferences; EDP Sciences: Essonne, France, 2020; p. 03010. [Google Scholar]
- AL-mansour, B.; Kalaivanan, D.; Suryanarayana, M. Effects of organic and inorganic fertilizers on soil fertility, nutrient uptake and yield of French basil. Med. Plants Int. J. Phytomed. Relat. Ind. 2019, 11, 8–18. [Google Scholar] [CrossRef]
- Yu, Q.; Ma, J.; Zou, P.; Lin, H.; Sun, W.; Yin, J.; Fu, J. Effects of combined application of organic and inorganic fertilizers plus nitrification inhibitor DMPP on nitrogen runoff loss in vegetable soils. Environ. Sci. Pollut. Res. Int. 2015, 22, 472–481. [Google Scholar] [CrossRef] [PubMed]
- Xu, H.; Qu, Q.; Chen, Y.; Liu, G.; Xue, S. Responses of soil enzyme activity and soil organic carbon stability over time after cropland abandonment in different vegetation zones of the Loess Plateau of China. Catena 2021, 196, 104812. [Google Scholar] [CrossRef]
- Alhassan, A.-R.M.; Yang, C.; Ma, W.; Li, G. Influence of conservation tillage on Greenhouse gas fluxes and crop productivity in spring-wheat agroecosystems on the Loess Plateau of China. PeerJ 2021, 9, e11064. [Google Scholar] [CrossRef]
- Ge, J.; Wang, S.; Fan, J.; Gongadze, K.; Wu, L. Soil nutrients of different land-use types and topographic positions in the water-wind erosion crisscross region of China’s Loess Plateau. Catena 2020, 184, 104243. [Google Scholar] [CrossRef]
- Yan, S.-J.; Li, B.-Y.; Gao, D.-X.; Fu, S.-Y.; Lu, Y.-F.; Xu, M.-P.; Ren, C.-J.; Han, X.-H. Response of Ecoenzymatic Stoichiometry to Soil Physicochemical Properties after Afforestation on Loess Hilly Region. Eurasian Soil Sci. 2020, 53, 1669–1675. [Google Scholar]
- Liu, H.; Liang, C.; Ai, Z.; Zhang, J.; Wu, Y.; Xu, H.; Xue, S.; Liu, G. Plant-mycorrhizae association affects plant diversity, biomass, and soil nutrients along temporal gradients of natural restoration after farmland abandonment in the Loess Plateau, China. Land Degrad. Dev. 2019, 30, 1677–1690. [Google Scholar] [CrossRef]
- Yang, J.-M.; Zhang, Z.-Q.; Cao, G.-J. Soil nitrate and nitrite content determined by Skalar SAN~(++). Soil Fertil. Sci. China 2014, 2, 101–105. [Google Scholar]
- Dokuyucu, T.; Akkaya, A.; Akçura, M. The effects of intraplot competition on yield-related traits in wheat plots. Turk. J. Field Crops 2002, 7, 40–46. [Google Scholar]
- Demuner-Molina, G.; Cadena-Zapata, M.; Campos-Magaña, S.G.; Zermeño-González, A.; Sánchez-Pérez, F.D.J. Efecto de labranza y mejoradores de suelo en humedad y desarrollo radicular. Tecnol. Cienc. Agua 2014, 5, 123–130. [Google Scholar]
- He, Z.; Zhao, W.; Liu, H.; Chang, X. The response of soil moisture to rainfall event size in subalpine grassland and meadows in a semi-arid mountain range: A case study in northwestern China’s Qilian Mountains. J. Hydrol. 2012, 420, 183–190. [Google Scholar] [CrossRef]
- Pan, Y.X.; Wang, X.P. Factors controlling the spatial variability of surface soil moisture within revegetated-stabilized desert ecosystems of the Tengger Desert, Northern China. Hydrol. Processes Int. J. 2009, 23, 1591–1601. [Google Scholar] [CrossRef]
- Tian, J.; Zhang, B.; He, C.; Han, Z.; Bogena, H.R.; Huisman, J.A. Dynamic response patterns of profile soil moisture wetting events under different land covers in the Mountainous area of the Heihe River Watershed, Northwest China. Agric. For. Meteorol. 2019, 271, 225–239. [Google Scholar] [CrossRef]
- Chen, N.; Li, X.; Shi, H.; Hu, Q.; Zhang, Y.; Leng, X. Effect of biodegradable film mulching on crop yield, soil microbial and enzymatic activities, and optimal levels of irrigation and nitrogen fertilizer for the Zea mays crops in arid region. Sci. Total Environ. 2021, 776, 145970. [Google Scholar] [CrossRef]
- Obia, A.; Cornelissen, G.; Martinsen, V.; Smebye, A.B.; Mulder, J. Conservation tillage and biochar improve soil water content and moderate soil temperature in a tropical Acrisol. Soil Tillage Res. 2020, 197, 104521. [Google Scholar] [CrossRef]
- Sun, L.; Li, J.; Wang, Q.; Zhang, Y.; Xu, Z.; Wang, R.; Wang, X.; Jia, G.; Zhang, X. The effects of eight years of conservation tillage on the soil physicochemical properties and bacterial communities in a rain-fed agroecosystem of the loess plateau, China. Land Degrad. Dev. 2020, 31, 2475–2489. [Google Scholar] [CrossRef]
- Wang, B.; Gao, L.; Yu, W.; Wei, X.; Li, J.; Li, S.; Song, X.; Liang, G.; Cai, D.; Wu, X. Distribution of soil aggregates and organic carbon in deep soil under long-term conservation tillage with residual retention in dryland. J. Arid Land 2019, 11, 241–254. [Google Scholar] [CrossRef] [Green Version]
- Lan, J.; Xie, S. Effects of Organic Compound Fertilizers on Soil Water Infiltration Characteristics. Agric. Biotechnol. 2020, 9, 104–167. [Google Scholar]
- Ernst, O.R.; Kemanian, A.R.; Mazzilli, S.R.; Cadenazzi, M.; Dogliotti, S. Depressed attainable wheat yields under continuous annual no-till agriculture suggest declining soil productivity. Field Crops Res. 2016, 186, 107–116. [Google Scholar] [CrossRef]
- Rani, A.; Bandyopadhyay, K.; Krishnan, P.; Sarangi, A.; Datta, S. Effect of tillage, residue and nitrogen management on soil mineral nitrogen dynamics and nitrogen use efficiency of wheat crop in an inceptisol. J. Agric. Phys. 2017, 17, 16–30. [Google Scholar]
- Xingchen, D.; Zhang, J.; Huizhen, Q.; Zhang, H.; Chaoyue, L.; Delei, D.; Qirong, S.; Zhongjun, J. Chronic nitrogen fertilization modulates competitive interactions among microbial ammonia oxidizers in a loess soil. Pedosphere 2019, 29, 24–33. [Google Scholar]
- Morris, N.; Miller, P.; Orson, J.; Froud-Williams, R. The adoption of non-inversion tillage systems in the United Kingdom and the agronomic impact on soil, crops and the environment—A review. Soil Tillage Res. 2010, 108, 1–15. [Google Scholar] [CrossRef]
- Meyer-Aurich, A.; Weersink, A.; Janovicek, K.; Deen, B. Cost efficient rotation and tillage options to sequester carbon and mitigate GHG emissions from agriculture in Eastern Canada. Agric. Ecosyst. Environ. 2006, 117, 119–127. [Google Scholar] [CrossRef]
- Nadal-Romero, E.; Rubio, P.; Kremyda, V.; Absalah, S.; Cammeraat, E.; Jansen, B.; Lasanta, T. Effects of agricultural land abandonment on soil organic carbon stocks and composition of soil organic matter in the Central Spanish Pyrenees. Catena 2021, 205, 105441. [Google Scholar] [CrossRef]
- Wang, Y.; Zhang, E.; Zhang, S.; Zhao, H.-L. Effects of long-term application of manure and nitrogen on soil fertility and sweet pepper yield. N. Hortic. 2008, 9, 63–65. [Google Scholar]
- Logsdon, S.D.; Karlen, D.L. Bulk density as a soil quality indicator during conversion to no-tillage. Soil Tillage Res. 2004, 78, 143–149. [Google Scholar] [CrossRef]
- Qi, J.-Y.; Zhang, X.-Z.; Li, S.-S.; Virk, A.L.; Wang, X.; Kan, Z.-R.; Zhao, X.; Xiao, X.-P.; Zhang, H.-L. Effects of different tillage practices on the distribution of soil total nitrogen and carbon/nitrogen ratio at different soil depths in a double rice cropping system. Arch. Agron. Soil Sci. 2021, 67, 714–725. [Google Scholar] [CrossRef]
- Fiorini, A.; Boselli, R.; Maris, S.C.; Santelli, S.; Ardenti, F.; Capra, F.; Tabaglio, V. May conservation tillage enhance soil C and N accumulation without decreasing yield in intensive irrigated croplands? Results from an eight-year maize monoculture. Agric. Ecosyst. Environ. 2020, 296, 106926. [Google Scholar] [CrossRef]
- Xue, J.-F.; Pu, C.; Liu, S.-L.; Chen, Z.-D.; Chen, F.; Xiao, X.-P.; Lal, R.; Zhang, H.-L. Effects of tillage systems on soil organic carbon and total nitrogen in a double paddy cropping system in Southern China. Soil Tillage Res. 2015, 153, 161–168. [Google Scholar] [CrossRef]
- Gupta, N.; Humphreys, E.; Eberbach, P.; Singh, B.; Yadav, S. Effects of tillage and mulch on soil evaporation in a dry seeded rice-wheat cropping system. Soil Tillage Res. 2021, 209, 104976. [Google Scholar] [CrossRef]
- Wang, H.; Deng, N.; Wu, D.; Hu, S.; Kou, M. Long-term net transformation and quantitative molecular mechanisms of soil nitrogen during natural vegetation recovery of abandoned farmland on the Loess Plateau of China. Sci. Total Environ. 2017, 607, 152–159. [Google Scholar] [CrossRef] [PubMed]
- Zhao, X.; Yuan, G.; Wang, H.; Lu, D.; Chen, X.; Zhou, J. Effects of full straw incorporation on soil fertility and crop yield in rice-wheat rotation for silty clay loamy cropland. Agronomy 2019, 9, 133. [Google Scholar] [CrossRef] [Green Version]
- Ge, X.-G.; Xiao, W.-F.; Zeng, L.-X.; Huang, Z.-L.; Huang, L.-L.; Tan, B.-W. Relationships between soil nutrient contents and soil enzyme activities in Pinus massoniana stands with different ages in Three Gorges Reservoir Area. J. Appl. Ecol. 2012, 23, 445–451. [Google Scholar]
- Samaresh, S.; Mukhopadhyay, P.; Sinha, A.; Dewali, R.; Rakesh, S. Soil Mineral and Nitrate Nitrogen, Plant N Uptake, N Use Efficiencies and Yield as Influenced by Tillage and Nitrogen Management under Wheat Crop in Sub-Tropical Eastern India. Int. Res. J. Pure Appl. Chem. 2020, 21, 23–40. [Google Scholar] [CrossRef]
- Nafi, E.; Webber, H.; Danso, I.; Naab, J.B.; Frei, M.; Gaiser, T. Interactive effects of conservation tillage, residue management, and nitrogen fertilizer application on soil properties under maize-cotton rotation system on highly weathered soils of West Africa. Soil Tillage Res. 2020, 196, 104473. [Google Scholar] [CrossRef]
- Gami, S.; Ladha, J.; Pathak, H.; Shah, M.; Pasuquin, E.; Pandey, S.; Hobbs, P.; Joshy, D.; Mishra, R. Long-term changes in yield and soil fertility in a twenty-year rice-wheat experiment in Nepal. Biol. Fertil. Soils 2001, 34, 73–78. [Google Scholar]
- Feng, Y.; Ning, T.; Li, Z.; Han, B.; Han, H.; Li, Y.; Sun, T.; Zhang, X. Effects of tillage practices and rate of nitrogen fertilization on crop yield and soil carbon and nitrogen. Plant Soil Environ. 2014, 60, 100–104. [Google Scholar] [CrossRef] [Green Version]
- Jat, H.; Datta, A.; Sharma, P.; Kumar, V.; Yadav, A.; Choudhary, M.; Choudhary, V.; Gathala, M.; Sharma, D.; Jat, M. Assessing soil properties and nutrient availability under conservation agriculture practices in a reclaimed sodic soil in cereal-based systems of North-West India. Arch. Agron. Soil Sci. 2018, 64, 531–545. [Google Scholar] [CrossRef]
- Tian, J.; Sheng, M.-Y.; Wang, P.; Wen, P.-C. Influence of land use change on litter and soil C, N, P stoichiometric characteristics and soil enzyme activity in karst ecosystem, Southwest China. Huan Jing Ke Xue Huanjing Kexue 2019, 40, 4278–4286. [Google Scholar]
- Koerselman, W.; Meuleman, A.F. The vegetation N: P ratio: A new tool to detect the nature of nutrient limitation. J. Appl. Ecol. 1996, 33, 1441–1450. [Google Scholar] [CrossRef]
- Wang, W.; Sardans, J.; Wang, C.; Pan, T.; Zeng, C.; Lai, D.Y.; Bartrons, M.; Peñuelas, J. Straw application strategy to optimize nutrient release in a southeastern China rice cropland. Agronomy 2017, 7, 84. [Google Scholar] [CrossRef] [Green Version]
- Tongshuai, Z.; Lijuan, Y.; Guang, L.; Guopeng, C.; Yongzhong, L. Effects of no tillage and straw mulching on soil nitrogen, water content and yield of spring wheat in dryland farming area. Acta Agric. Zhejiangensis 2020, 32, 1329. [Google Scholar]
- Vizioli, B.; Cavalieri-Polizeli, K.M.V.; Tormena, C.A.; Barth, G. Effects of long-term tillage systems on soil physical quality and crop yield in a Brazilian Ferralsol. Soil Tillage Res. 2021, 209, 104935. [Google Scholar] [CrossRef]
- Khorami, S.S.; Kazemeini, S.A.; Afzalinia, S.; Gathala, M.K. Changes in soil properties and productivity under different tillage practices and wheat genotypes: A short-term study in Iran. Sustainability 2018, 10, 3273. [Google Scholar] [CrossRef] [Green Version]
- Li, Z.; Lai, X.; Yang, Q.; Yang, X.; Cui, S.; Shen, Y. In search of long-term sustainable tillage and straw mulching practices for a maize-winter wheat-soybean rotation system in the Loess Plateau of China. Field Crops Res. 2018, 217, 199–210. [Google Scholar] [CrossRef]
- Brennan, J.; Hackett, R.; McCabe, T.; Grant, J.; Fortune, R.; Forristal, P. The effect of tillage system and residue management on grain yield and nitrogen use efficiency in winter wheat in a cool Atlantic climate. Eur. J. Agron. 2014, 54, 61–69. [Google Scholar] [CrossRef]
- Christian, D.; Bacon, E.; Brockie, D.; Glen, D.; Gutteridge, R.; Jenkyn, J. Interactions of straw disposal methods and direct drilling or cultivations on winter wheat (Triticum aestivum) grown on a clay soil. J. Agric. Eng. Res. 1999, 73, 297–309. [Google Scholar] [CrossRef]
- Mandal, K.G.; Misra, A.K.; Hati, K.M.; Bandyopadhyay, K.K.; Ghosh, P.K.; Mohanty, M. Rice residue-management options and effects on soil properties and crop productivity. J. Food Agric. Environ. 2004, 2, 224–231. [Google Scholar]
- Bartaula, S.; Panthi, U.; Adhikari, A.; Mahato, M.; Joshi, D.; Aryal, K. Effect of different tillage practices and nitrogen level on wheat production under inner terai of Nepal. J. Agric. Nat. Resour. 2020, 3, 233–239. [Google Scholar] [CrossRef] [Green Version]
- Cao, L.Y.; Zhang, X.X.; Zhao, Y.L.; Chen, G.F. Study on the Relationship between Soil Nutrient and Yield Analysis Based on Bivariate Correlation between; Advanced Materials Research; Trans Tech Publications Ltd.: Schwyz, Switzerland, 2014; pp. 1466–1469. [Google Scholar]
- Ba, Y.; Cheng, K. Regional Difference for Soil Fertility after Land Consolidation in the Guanzhong Plain; IOP Conference Series; Materials Science and Engineering; IOP Publishing: Bristol, UK, 2018; p. 052048. [Google Scholar]
- Nunes, M.R.; van Es, H.M.; Schindelbeck, R.; Ristow, A.J.; Ryan, M. No-till and cropping system diversification improve soil health and crop yield. Geoderma 2018, 328, 30–43. [Google Scholar] [CrossRef]






| Soil Property | Soil Layer (cm) | Measurement Method | ||
|---|---|---|---|---|
| 0–10 | 10–20 | 20–40 | ||
| NO3−-N (mg kg−1) | 25.72 | 25.77 | 25.88 | Colorimetric method |
| NH4+-N (mg kg−1) | 10.15 | 10.08 | 10.02 | Colorimetric method |
| TN (g kg−1) | 0.62 | 0.59 | 0.56 | Semimicro-Kjeldahl method |
| TP (mg kg1) | 0.44 | 0.41 | 0.38 | Colorimetric method |
| TK (g kg−1) | 18.47 | 18.52 | 18.40 | Colorimetric method |
| SOC (g kg−1) | 5.93 | 5.81 | 5.64 | Walkley-Black dichromate oxidation |
| C:N ratio | 9.56 | 9.84 | 10.07 | SOC/TN |
| pH | 8.37 | 8.40 | 8.44 | pH meter |
| SWC (%) | 15.65 | 14.76 | 14.46 | Oven-dry method |
| ECe (dSm−1) | 0.35 | 0.38 | 0.32 | EC meter |
| B.D (g cm−3) | 1.38 | 1.41 | 1.44 | Core sampler method |
| P (%) | 47.92 | 46.79 | 45.66 | (1 − (B.D/P.D)) × 100 equation |
| SWS (mm) | 21.59 | 41.62 | 83.28 | SWC × BD × d/ρw |
| ST (°C) | 6.40 | 6.22 | 6.04 | Geothermometer |
| Soil texture | Sandy-loam | Hydrometer method | ||
| Tillage Techniques | Fertilization Treatment | Fertilization Method |
|---|---|---|
| CT: Conventional tillage | CK | No fertilizer |
| N | The inorganic N at the rate of 105 kg N ha−1y−1 in the form of urea was applied. | |
| M | The organic N at the rate of 105 kg N ha−1y−1 in the form of farmyard manure was applied. | |
| NM | Combined application of inorganic and organic N fertilizers in the form of urea and farmyard manure was applied. Both were equivalent to an annual N application rate of 52.5 kg N ha−1y−1 | |
| NT: No-tillage | CK | No fertilizer |
| N | The inorganic N at the rate of 105 kg N ha−1y−1 in the form of urea was applied. | |
| M | The organic N at the rate of 105 kg N ha−1y−1 in the form of farmyard manure was applied. | |
| NM | Combined application of inorganic and organic N fertilizers in the form of urea and farmyard manure was applied. Both were equivalent to an annual N application rate of 52.5 kg N ha−1y−1 |
| Parameter | Treatment | Soil Layer (cm) | ||||
|---|---|---|---|---|---|---|
| 0–10 | 10–20 | 20–40 | 40–60 | 60–100 | ||
| Water content (%) | CT | 7.26 ± 0.06 Ea | 6.40 ± 0.28 Cb | 5.24 ± 0.24 Bc | 4.63 ± 0.14 Cc | 3.38 ± 0.20 Ad |
| CTN | 8.24 ± 0.38 DEa | 7.43 ± 1.33 BCa | 6.52 ± 0.20 ABa | 5.50 ± 1.38 BCab | 3.35 ± 0.36 Ab | |
| CTM | 8.94 ± 0.59 DEa | 7.93 ± 0.64 BCa | 7.23 ± 1.33 ABa | 6.57 ± 0.23 ABCa | 3.39 ± 0.25 Ab | |
| CTNM | 10.19 ± 0.70 CDa | 8.86 ± 0.73 BCab | 7.33 ± 1.34 ABab | 7.03 ± 0.98 ABb | 3.26 ± 0.35 Ac | |
| NT | 12.27 ± 0.33 BCa | 9.20 ± 0.22 ABCb | 7.92 ± 0.60 ABbc | 7.26 ± 0.33 ABc | 3.25 ± 0.53 Ad | |
| NTN | 13.17 ± 1.39 ABa | 9.45 ± 1.73 ABb | 8.59 ± 1.18 Ab | 6.41 ± 0.37 ABCbc | 3.32 ± 0.22 Ac | |
| NTM | 13.87 ± 0.90 ABa | 10.10 ± 0.43 ABb | 8.60 ± 1.00 Abc | 7.26 ± 0.76 ABc | 3.35 ± 0.35 Ad | |
| NTNM | 14.55 ± 0.26 Aa | 11.81 ± 0.20 Ab | 9.54 ± 0.52 Ac | 7.93 ± 0.32 Ad | 3.29 ± 0.35 Ae | |
| Factor | Item | SOC | TN | TP | NO3−-N | NH4+-N |
|---|---|---|---|---|---|---|
| Tillage practice | df | 1 | 1 | 1 | 1 | 1 |
| F | 10.132 | 18.019 | 0.053 | 10.653 | 14.734 | |
| Sig | <0.01 | <0.01 | 0.819 | <0.01 | <0.01 | |
| Fertilization method | df | 3 | 3 | 3 | 3 | 3 |
| F | 2.044 | 3.184 | 0.518 | 18.509 | 6.564 | |
| Sig | 0.112 | <0.01 | 0.671 | <0.01 | <0.01 | |
| Tillage practice + fertilization method | df | 3 | 3 | 3 | 3 | 3 |
| F | 0.121 | 0.156 | 0.898 | 4.997 | 1.516 | |
| Sig | 0.947 | <0.01 | 0.445 | 0.015 | 0.103 |
| Treatment | C/N | C/P | N/P |
|---|---|---|---|
| CT | 8.93 ± 0.19 A | 14.36 ± 1.36 AB | 1.62 ± 0.19 C |
| CTN | 8.50 ± 0.41 A | 14.59 ± 0.29 AB | 1.72 ± 0.05 C |
| CTM | 7.69 ± 0.26 B | 13.26 ± 0.25 B | 1.73 ± 0.05 C |
| CTNM | 7.02 ± 0.19 BC | 15.04 ± 0.83 AB | 2.14 ± 0.08 B |
| NT | 6.95 ± 0.21 BC | 14.36 ± 0.64 AB | 2.07 ± 0.13 B |
| NTN | 6.81 ± 0.19 C | 15.73 ± 0.60 AB | 2.31 ± 0.02 AB |
| NTM | 6.65 ± 0.30 C | 15.25 ± 0.61 AB | 2.30 ± 0.11 AB |
| NTNM | 6.28 ± 0.12 C | 15.90 ± 0.93 A | 2.53 ± 0.12 A |
| Treatment | Plant Height (cm) | Grain Number Per Spike | Thousand Grain Weight (g) | Biological Yield (kg/ha) | Grain Yield (kg/ha) |
|---|---|---|---|---|---|
| CT | 75.97 ± 0.23 D | 29.33 ± 2.03 D | 40.72 ± 1.27 D | 3123.51 ± 142.93 F | 1429.05 ± 38.02 E |
| CTN | 87.27 ± 1.56 C | 33.33 ± 1.76 CD | 44.22 ± 1.35 CD | 3496.80 ± 17.96 EF | 1511.88 ± 35.40 DE |
| CTM | 91.53 ± 2.27 C | 33.67 ± 2.73 CD | 45.74 ± 1.07 BCD | 3934.71 ± 194.58 E | 1540.88 ± 47.10 CDE |
| CTNM | 105.3 ± 3.19 B | 40.33 ± 3.48 BC | 47.37 ± 2.98 ABC | 4936.08 ± 184.40 D | 1622.51 ± 11.58 BCD |
| NT | 102.1 ± 5.95 B | 43.67 ± 1.20 B | 48.69 ± 2.81 ABC | 5264.73 ± 410.50 CD | 1649.12 ± 34.07 BC |
| NTN | 104.8 ± 3.20 B | 45 ± 2.08 AB | 49.03 ± 0.45 ABC | 5779.29 ± 125.64 BC | 1703.19 ± 37.17 B |
| NTM | 106 ± 3.57 B | 47.67 ± 2.73 AB | 50.46 ± 1.36 AB | 6296.63 ± 403.60 B | 1744.51 ± 72.10 AB |
| NTNM | 116.2 ± 2.76 A | 51.33 ± 1.76 A | 52.79 ± 0.84 A | 7163.95 ± 112.73 A | 1843.88 ± 34.40 A |
| Factor | Item | Yield |
|---|---|---|
| Tillage measure | df | 1 |
| F | 50.788 | |
| Sig | <0.01 | |
| Fertilization method | df | 3 |
| F | 7.581 | |
| Sig | <0.01 | |
| Tillage measure and Fertilization method | df | 3 |
| F | 0.06 | |
| Sig | <0.01 |
Publisher’s Note: MDPI stays neutral with regard to jurisdictional claims in published maps and institutional affiliations. |
© 2022 by the authors. Licensee MDPI, Basel, Switzerland. This article is an open access article distributed under the terms and conditions of the Creative Commons Attribution (CC BY) license (https://creativecommons.org/licenses/by/4.0/).
Share and Cite
Yuan, J.; Sadiq, M.; Rahim, N.; Li, G.; Yan, L.; Wu, J.; Xu, G. Tillage Strategy and Nitrogen Fertilization Methods Influences on Selected Soil Quality Indicators and Spring Wheat Yield under Semi-Arid Environmental Conditions of the Loess Plateau, China. Appl. Sci. 2022, 12, 1101. https://doi.org/10.3390/app12031101
Yuan J, Sadiq M, Rahim N, Li G, Yan L, Wu J, Xu G. Tillage Strategy and Nitrogen Fertilization Methods Influences on Selected Soil Quality Indicators and Spring Wheat Yield under Semi-Arid Environmental Conditions of the Loess Plateau, China. Applied Sciences. 2022; 12(3):1101. https://doi.org/10.3390/app12031101
Chicago/Turabian StyleYuan, Jianyu, Mahran Sadiq, Nasir Rahim, Guang Li, Lijuan Yan, Jiangqi Wu, and Guorong Xu. 2022. "Tillage Strategy and Nitrogen Fertilization Methods Influences on Selected Soil Quality Indicators and Spring Wheat Yield under Semi-Arid Environmental Conditions of the Loess Plateau, China" Applied Sciences 12, no. 3: 1101. https://doi.org/10.3390/app12031101
APA StyleYuan, J., Sadiq, M., Rahim, N., Li, G., Yan, L., Wu, J., & Xu, G. (2022). Tillage Strategy and Nitrogen Fertilization Methods Influences on Selected Soil Quality Indicators and Spring Wheat Yield under Semi-Arid Environmental Conditions of the Loess Plateau, China. Applied Sciences, 12(3), 1101. https://doi.org/10.3390/app12031101
