A Cybersecurity Knowledge Graph Completion Method Based on Ensemble Learning and Adversarial Training
Abstract
1. Introduction
- We propose a new knowledge graph completion model that uses a variety of projection and rotation operations to model relationships between entities. In addition, it represents entities and relationships based on angle information. The utilization of ensemble learning improves the generalization of the model.
- We design a cooperative adversarial training method, which plays an important role in the training process of the model. The UCB multi-armed bandit method is used to set the adversarial perturbations, which improves the robustness of the model.
- A cybersecurity knowledge graph is built based on the CVE, CWE, and CAPEC databases. We measure the performance of our model using experiments, finding that it can effectively discover unknown facts through the creation of a cybersecurity knowledge graph.
2. Related Work
3. Methodology
3.1. Overview
3.2. Ensemble Model
| Algorithm 1: Weight optimization algorithm |
Input: The weights of previous training step The weight growth directions The big fixed constant T The small fixed constant , The loss of previous training step The loss of current training steps Output: The optimized weight ![]() |
| Algorithm 2: Forward procedure of CSEA |
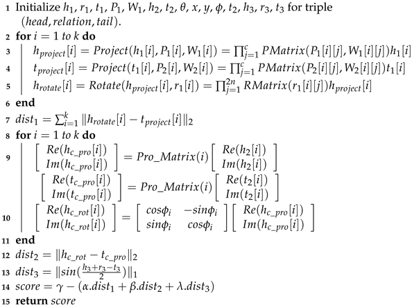
Input: The triple The fixed constant The weights: Parameters of size: k, c, m, n Output: The score of triple ![]() |
3.3. Cooperative Adversarial Training
| Algorithm 3: Perturbation selection algorithm |
Input: A set of perturbed values S and its set size K A balance factor and a small random factor The total number of times all perturbations are used T The set of times each perturbation is used , Output: Perturbation value P ![]() |
4. Experiment
4.1. Cyber Security Knowledge Graph
4.2. Results
5. Conclusions
Author Contributions
Funding
Institutional Review Board Statement
Informed Consent Statement
Data Availability Statement
Conflicts of Interest
References
- Endsley, M.R. Toward a Theory of Situation Awareness in Dynamic Systems; Human Factors and Ergonomics Society: Santa Monica, CA, USA, 1995. [Google Scholar]
- Özcan, A.; Çatal, Ç.; Togay, C.; Tekinerdogan, B.; Dönmez, E. Assessment of environmental factors affecting software reliability: A survey study. Turk. J. Electr. Eng. Comput. Sci. 2020, 28, 1841–1858. [Google Scholar] [CrossRef]
- Gao, M.; Lu, J.; Chen, F. Medical Knowledge Graph Completion Based on Word Embeddings. Information 2022, 13, 205. [Google Scholar] [CrossRef]
- Wang, W.; Xu, Y.; Du, C.; Chen, Y.; Wang, Y.; Wen, H. Data Set and Evaluation of Automated Construction of Financial Knowledge Graph. Data Intell. 2021, 3, 418–443. [Google Scholar] [CrossRef]
- Tan, J.; Qiu, Q.; Guo, W.; Li, T. Research on the Construction of a Knowledge Graph and Knowledge Reasoning Model in the Field of Urban Traffic. Sustainability 2021, 13, 3191. [Google Scholar] [CrossRef]
- Chen, J.; Yang, Y.; Peng, L.; Chen, L.; Ge, X. Knowledge Graph Representation Learning-Based Forest Fire Prediction. Remote Sens. 2022, 14, 4391. [Google Scholar] [CrossRef]
- Liu, P.; Tian, B.; Liu, X.; Gu, S.; Yan, L.; Bullock, L.; Ma, C.; Liu, Y.; Zhang, W. Construction of Power Fault Knowledge Graph Based on Deep Learning. Appl. Sci. 2022, 12, 6993. [Google Scholar] [CrossRef]
- Jin, Y.; Liu, J.; Wang, X.; Li, P.; Wang, J. Technology Recommendations for an Innovative Agricultural Robot Design Based on Technology Knowledge Graphs. Processes 2021, 9, 1905. [Google Scholar] [CrossRef]
- Jiang, S.; Liu, Y.; Zhang, Y.; Luo, P.; Cao, K.; Xiong, J.; Zhao, H.; Wei, J. Reliable Semantic Communication System Enabled by Knowledge Graph. Entropy 2022, 24, 846. [Google Scholar] [CrossRef]
- Liu, K.; Wang, F.; Ding, Z.; Liang, S.; Yu, Z.; Zhou, Y. Recent Progress of Using Knowledge Graph for Cybersecurity. Electronics 2022, 11, 2287. [Google Scholar] [CrossRef]
- Catal, C.; Ozcan, A.; Donmez, E.; Kasif, A. Analysis of cyber security knowledge gaps based on cyber security body of knowledge. Educ. Inf. Technol. 2022. [Google Scholar] [CrossRef]
- Li, X.; Chen, J.; Lin, Z.; Zhang, L.; Wang, Z.; Zhou, M.; Xie, W. A Mining Approach to Obtain the Software Vulnerability Characteristics. In Proceedings of the Fifth International Conference on Advanced Cloud and Big Data, Shanghai, China, 13–16 August 2017; pp. 296–301. [Google Scholar] [CrossRef]
- Han, Z.; Li, X.; Liu, H.; Xing, Z.; Feng, Z. DeepWeak: Reasoning common software weaknesses via knowledge graph embedding. In Proceedings of the 25th International Conference on Software Analysis, Evolution and Reengineering, SANER 2018, Campobasso, Italy, 20–23 March 2018; pp. 456–466. [Google Scholar] [CrossRef]
- Xiao, H.; Xing, Z.; Li, X.; Guo, H. Embedding and Predicting Software Security Entity Relationships: A Knowledge Graph Based Approach. In Proceedings of the Neural Information Processing—26th International Conference, ICONIP 2019, Sydney, NSW, Australia, 12–15 December 2019; pp. 50–63. [Google Scholar] [CrossRef]
- Yuan, L.; Bai, Y.; Xing, Z.; Chen, S.; Li, X.; Deng, Z. Predicting Entity Relations across Different Security Databases by Using Graph Attention Network. In Proceedings of the IEEE 45th Annual Computers, Software, and Applications Conference, COMPSAC 2021, Madrid, Spain, 12–16 July 2021; pp. 834–843. [Google Scholar] [CrossRef]
- Zang, Y.; Hu, T.; Zhou, T.; Deng, W. An Automated Penetration Semantic Knowledge Mining Algorithm Based on Bayesian Inference. Comput. Mater. Contin. 2021, 66, 2573–2585. [Google Scholar] [CrossRef]
- Bridges, R.A.; Jones, C.L.; Iannacone, M.D.; Goodall, J.R. Automatic Labeling for Entity Extraction in Cyber Security. arXiv 2013, arXiv:1308.4941. [Google Scholar]
- Satyapanich, T.; Ferraro, F.; Finin, T. CASIE: Extracting Cybersecurity Event Information from Text. In Proceedings of the Thirty-Fourth AAAI Conference on Artificial Intelligence, AAAI 2020, New York, NY, USA, 7–12 February 2020; pp. 8749–8757. [Google Scholar]
- Liu, P.; Li, H.; Wang, Z.; Liu, J.; Ren, Y.; Zhu, H. Multi-features based Semantic Augmentation Networks for Named Entity Recognition in Threat Intelligence. arXiv 2022, arXiv:2207.00232. [Google Scholar]
- Rossi, A.; Firmani, D.; Matinata, A.; Merialdo, P.; Barbosa, D. Knowledge Graph Embedding for Link Prediction: A Comparative Analysis. arXiv 2020, arXiv:2002.00819. [Google Scholar] [CrossRef]
- Ott, S.; Meilicke, C.; Samwald, M. SAFRAN: An interpretable, rule-based link prediction method outperforming embedding models. In Proceedings of the 3rd Conference on Automated Knowledge Base Construction, AKBC 2021, Virtual, 4–8 October 2021. [Google Scholar] [CrossRef]
- Bordes, A.; Usunier, N.; García-Durán, A.; Weston, J.; Yakhnenko, O. Translating Embeddings for Modeling Multi-relational Data. In Proceedings of the Advances in Neural Information Processing Systems, Lake Tahoe, NV, USA, 5–8 December 2013; pp. 2787–2795. [Google Scholar]
- Wang, Z.; Zhang, J.; Feng, J.; Chen, Z. Knowledge Graph Embedding by Translating on Hyperplanes. In Proceedings of the Twenty-Eighth AAAI Conference on Artificial Intelligence, Québec City, QC, Canada, 27–31 July 2014; pp. 1112–1119. [Google Scholar]
- Lin, Y.; Liu, Z.; Sun, M.; Liu, Y.; Zhu, X. Learning Entity and Relation Embeddings for Knowledge Graph Completion. In Proceedings of the Twenty-Ninth AAAI Conference on Artificial Intelligence, Austin, TX, USA, 25–30 January 2015; pp. 2181–2187. [Google Scholar]
- Sun, Z.; Deng, Z.H.; Nie, J.Y.; Tang, J. RotatE: Knowledge Graph Embedding by Relational Rotation in Complex Space. arXiv 2019, arXiv:1902.10197. [Google Scholar]
- Li, X.; Wang, Z.; Zhang, Z. Complex Embedding with Type Constraints for Link Prediction. Entropy 2022, 24, 330. [Google Scholar] [CrossRef]
- Zhang, S.; Tay, Y.; Yao, L.; Liu, Q. Quaternion Knowledge Graph Embeddings. In Proceedings of the Advances in Neural Information Processing Systems, NeurIPS 2019, Vancouver, BC, Canada, 8–14 December 2019; pp. 2731–2741. [Google Scholar]
- Gao, L.; Zhu, H.; Zhuo, H.H.; Xu, J. Dual Quaternion Embeddings for Link Prediction. Appl. Sci. 2021, 11, 5572. [Google Scholar] [CrossRef]
- Yu, M.; Bai, C.; Yu, J.; Zhao, M.; Xu, T.; Liu, H.; Li, X.; Yu, R. Translation-Based Embeddings with Octonion for Knowledge Graph Completion. Appl. Sci. 2022, 12, 3935. [Google Scholar] [CrossRef]
- Zhang, Z.; Cai, J.; Zhang, Y.; Wang, J. Learning Hierarchy-Aware Knowledge Graph Embeddings for Link Prediction. In Proceedings of the Thirty-Fourth AAAI Conference on Artificial Intelligence 2020, New York, NY, USA, 7–12 February 2020; pp. 3065–3072. [Google Scholar]
- Li, R.; Zhao, J.; Li, C.; He, D.; Wang, Y.; Liu, Y.; Sun, H.; Wang, S.; Deng, W.; Shen, Y.; et al. HousE: Knowledge Graph Embedding with Householder Parameterization. In Proceedings of the International Conference on Machine Learning, ICML 2022, Baltimore, MD, USA, 17–23 July 2022; Volume 162, pp. 13209–13224. [Google Scholar]
- Nickel, M.; Tresp, V.; Kriegel, H. A Three-Way Model for Collective Learning on Multi-Relational Data. In Proceedings of the 28th International Conference on Machine Learning, ICML 2011, Bellevue, WA, USA, 28 June–2 July 2011; pp. 809–816. [Google Scholar]
- Yang, B.; Yih, W.; He, X.; Gao, J.; Deng, L. Embedding Entities and Relations for Learning and Inference in Knowledge Bases. In Proceedings of the 3rd International Conference on Learning Representations, ICLR 2015, San Diego, CA, USA, 7–9 May 2015. [Google Scholar]
- Trouillon, T.; Welbl, J.; Riedel, S.; Gaussier, É.; Bouchard, G. Complex Embeddings for Simple Link Prediction. In Proceedings of the 33nd International Conference on Machine Learning, ICML 2016, New York, NY, USA, 19–24 June 2016; Volume 48, pp. 2071–2080. [Google Scholar]
- Chen, Y.; Minervini, P.; Riedel, S.; Stenetorp, P. Relation Prediction as an Auxiliary Training Objective for Improving Multi-Relational Graph Representations. In Proceedings of the 3rd Conference on Automated Knowledge Base Construction, AKBC 2021, Virtual, 4–8 October 2021. [Google Scholar] [CrossRef]
- Dettmers, T.; Minervini, P.; Stenetorp, P.; Riedel, S. Convolutional 2D Knowledge Graph Embeddings. In Proceedings of the Thirty-Second AAAI Conference on Artificial Intelligence, (AAAI-18), New Orleans, LA, USA, 2–7 February 2018; pp. 1811–1818. [Google Scholar]
- Nguyen, D.Q.; Nguyen, T.D.; Nguyen, D.Q.; Phung, D.Q. A Novel Embedding Model for Knowledge Base Completion Based on Convolutional Neural Network. In Proceedings of the 2018 Conference of the North American Chapter of the Association for Computational Linguistics: Human Language Technologies, NAACL-HLT, New Orleans, LA, USA, 1–6 June 2018; pp. 327–333. [Google Scholar] [CrossRef]
- Jiang, X.; Wang, Q.; Wang, B. Adaptive Convolution for Multi-Relational Learning. In Proceedings of the 2019 Conference of the North American Chapter of the Association for Computational Linguistics: Human Language Technologies, NAACL-HLT 2019, Minneapolis, MN, USA, 2–7 June 2019; pp. 978–987. [Google Scholar] [CrossRef]
- Nguyen, D.Q.; Nguyen, T.; Phung, D. A Relational Memory-based Embedding Model for Triple Classification and Search Personalization. In Proceedings of the 58th Annual Meeting of the Association for Computational Linguistics, ACL 2020, Online, 5–10 July 2020; pp. 3429–3435. [Google Scholar] [CrossRef]
- Schlichtkrull, M.S.; Kipf, T.N.; Bloem, P.; van den Berg, R.; Titov, I.; Welling, M. Modeling Relational Data with Graph Convolutional Networks. In Proceedings of the The Semantic Web–15th International Conference, ESWC 2018, Heraklion, Greece, 3–7 June 2018; Volume 10843, pp. 593–607. [Google Scholar] [CrossRef]
- Shang, C.; Tang, Y.; Huang, J.; Bi, J.; He, X.; Zhou, B. End-to-End Structure-Aware Convolutional Networks for Knowledge Base Completion. In Proceedings of the Thirty-Third AAAI Conference on Artificial Intelligence, AAAI 2019, Honolulu, HI, USA, 27 January–1 February 2019; pp. 3060–3067. [Google Scholar] [CrossRef]
- Nathani, D.; Chauhan, J.; Sharma, C.; Kaul, M. Learning Attention-based Embeddings for Relation Prediction in Knowledge Graphs. In Proceedings of the 57th Conference of the Association for Computational Linguistics, ACL 2019, Florence, Italy, 28 July–2 August 2019; pp. 4710–4723. [Google Scholar] [CrossRef]
- Wang, R.; Li, B.; Hu, S.; Du, W.; Zhang, M. Knowledge Graph Embedding via Graph Attenuated Attention Networks. IEEE Access 2020, 8, 5212–5224. [Google Scholar] [CrossRef]
- Wang, L.; Zhao, W.; Wei, Z.; Liu, J. SimKGC: Simple Contrastive Knowledge Graph Completion with Pre-trained Language Models. arXiv 2022, arXiv:2203.02167. [Google Scholar]
- Shen, J.; Wang, C.; Gong, L.; Song, D. Joint Language Semantic and Structure Embedding for Knowledge Graph Completion. In Proceedings of the Proceedings of the 29th International Conference on Computational Linguistics, COLING 2022, Gyeongju, Republic of Korea, 12–17 October 2022; pp. 1965–1978. [Google Scholar]
- Wang, B.; Shen, T.; Long, G.; Zhou, T.; Wang, Y.; Chang, Y. Structure-Augmented Text Representation Learning for Efficient Knowledge Graph Completion. In Proceedings of the WWW ’21: The Web Conference 2021, Ljubljana, Slovenia, 19–23 April 2021; pp. 1737–1748. [Google Scholar] [CrossRef]
- Clouâtre, L.; Trempe, P.; Zouaq, A.; Chandar, S. MLMLM: Link Prediction with Mean Likelihood Masked Language Model. In Proceedings of the Findings of the Association for Computational Linguistics: ACL/IJCNLP 2021, Online Event, 1–6 August 2021; Volume ACL/IJCNLP, pp. 4321–4331. [Google Scholar] [CrossRef]
- Mienye, I.D.; Sun, Y. A Survey of Ensemble Learning: Concepts, Algorithms, Applications, and Prospects. IEEE Access 2022, 10, 99129–99149. [Google Scholar] [CrossRef]
- Dietterich, T.G. Ensemble Methods in Machine Learning. In Multiple Classifier Systems; Springer: Berlin/Heidelberg, Germany, 2000; pp. 1–15. [Google Scholar]
- Qian, Z.; Huang, K.; Wang, Q.; Zhang, X. A survey of robust adversarial training in pattern recognition: Fundamental, theory, and methodologies. Pattern Recognit. 2022, 131, 108889. [Google Scholar] [CrossRef]
- Zhao, W.; Alwidian, S.; Mahmoud, Q.H. Adversarial Training Methods for Deep Learning: A Systematic Review. Algorithms 2022, 15, 283. [Google Scholar] [CrossRef]
- Zamini, M.; Reza, H.; Rabiei, M. A Review of Knowledge Graph Completion. Information 2022, 13, 396. [Google Scholar] [CrossRef]
- Song, T.; Luo, J.; Huang, L. Rot-Pro: Modeling Transitivity by Projection in Knowledge Graph Embedding. In Proceedings of the Advances in Neural Information Processing Systems 34: Annual Conference on Neural Information Processing Systems 2021, NeurIPS 2021, Virtual, 6–14 December 2021; pp. 24695–24706. [Google Scholar]
- Goodfellow, I.J.; Shlens, J.; Szegedy, C. Explaining and Harnessing Adversarial Examples. In Proceedings of the 3rd International Conference on Learning Representations, ICLR 2015, San Diego, CA, USA, 7–9 May 2015. [Google Scholar]
- Miyato, T.; Dai, A.M.; Goodfellow, I.J. Adversarial Training Methods for Semi-Supervised Text Classification. In Proceedings of the 5th International Conference on Learning Representations, ICLR 2017, Toulon, France, 24–26 April 2017. [Google Scholar]
- Shafahi, A.; Najibi, M.; Ghiasi, A.; Xu, Z.; Dickerson, J.P.; Studer, C.; Davis, L.S.; Taylor, G.; Goldstein, T. Adversarial training for free! In Proceedings of the Advances in Neural Information Processing Systems 32: Annual Conference on Neural Information Processing Systems 2019, NeurIPS 2019, Vancouver, BC, Canada, 8–14 December 2019; pp. 3353–3364. [Google Scholar]
- Zhu, C.; Cheng, Y.; Gan, Z.; Sun, S.; Goldstein, T.; Liu, J. FreeLB: Enhanced Adversarial Training for Natural Language Understanding. In Proceedings of the 8th International Conference on Learning Representations, ICLR 2020, Addis Ababa, Ethiopia, 26–30 April 2020. [Google Scholar]
- Madry, A.; Makelov, A.; Schmidt, L.; Tsipras, D.; Vladu, A. Towards Deep Learning Models Resistant to Adversarial Attacks. In Proceedings of the 6th International Conference on Learning Representations, ICLR 2018, Vancouver, BC, Canada, 30 April–3 May 2018. [Google Scholar]
- Vermorel, J.; Mohri, M. Multi-armed Bandit Algorithms and Empirical Evaluation. In Proceedings of the Machine Learning: ECML 2005, 16th European Conference on Machine Learning, Porto, Portugal, 3–7 October 2005; Volume 3720, pp. 437–448. [Google Scholar] [CrossRef]



| Relationships | Head → Tail | Number |
|---|---|---|
| InstanceOf | CVE → CWE | 2298 |
| ObservedExample | CWE → CVE | 2298 |
| PeerOf | CWE → CWE,CAPEC → CAPEC | 206 |
| AttackTo | CAPEC → CWE | 1145 |
| TargetOf | CWE → CAPEC | 1145 |
| CanFollow | CWE → CWE,CAPEC → CAPEC | 293 |
| CanPrecede | CWE → CWE,CAPEC → CAPEC | 293 |
| Childof | CWE → CWE,CAPEC → CAPEC | 1654 |
| ParentOf | CWE → CWE,CAPEC → CAPEC | 1654 |
| Dataset | #E | #R | #TR | #VA | #TE |
|---|---|---|---|---|---|
| CybersecurityKG | 4095 | 9 | 7686 | 1100 | 2200 |
| Hyperparameter | Value |
|---|---|
| Max Steps | 20,000 |
| Valid Steps | 1000 |
| Learning Rate | 0.00005 |
| Batch Size | 128 |
| 6.0 |
| Model | MRR | MR | Hits@1 | Hits@3 | Hits@10 |
|---|---|---|---|---|---|
| TransE [22] | 0.713 | 308 | 0.673 | 0.734 | 0.777 |
| DistMult [33] | 0.690 | 622 | 0.639 | 0.735 | 0.760 |
| ComplEx [34] | 0.735 | 673 | 0.720 | 0.745 | 0.762 |
| HAKE [30] | 0.741 | 411 | 0.727 | 0.749 | 0.769 |
| Rot-Pro [53] | 0.745 | 377 | 0.730 | 0.753 | 0.770 |
| HousE [31] | 0.747 | 314 | 0.732 | 0.753 | 0.775 |
| CSEA | 0.756 | 148 | 0.735 | 0.764 | 0.793 |
| Prediction | Model | MRR | MR | Hits@1 | Hits@3 | Hits@10 |
|---|---|---|---|---|---|---|
| Head Entity <?, r, t> | TransE [22] | 0.713 | 302 | 0.674 | 0.734 | 0.777 |
| DistMult [33] | 0.690 | 623 | 0.638 | 0.738 | 0.760 | |
| ComplEx [34] | 0.735 | 670 | 0.720 | 0.745 | 0.760 | |
| HAKE [30] | 0.740 | 400 | 0.725 | 0.750 | 0.769 | |
| Rot-Pro [53] | 0.743 | 373 | 0.728 | 0.753 | 0.769 | |
| HousE [31] | 0.747 | 309 | 0.731 | 0.754 | 0.774 | |
| CSEA | 0.756 | 147 | 0.735 | 0.764 | 0.794 | |
| Tail Entity <h, r, ?> | TransE [22] | 0.713 | 313 | 0.672 | 0.733 | 0.777 |
| DistMult [33] | 0.689 | 621 | 0.640 | 0.732 | 0.759 | |
| ComplEx [34] | 0.735 | 677 | 0.719 | 0.745 | 0.765 | |
| HAKE [30] | 0.742 | 422 | 0.729 | 0.747 | 0.770 | |
| Rot-Pro [53] | 0.746 | 382 | 0.731 | 0.754 | 0.770 | |
| HousE [31] | 0.748 | 319 | 0.732 | 0.753 | 0.776 | |
| CSEA | 0.756 | 148 | 0.736 | 0.765 | 0.793 |
| InstanceOf | Observed Example | PeerOf | AttackTo | TargetOf | CanFollow | CanPrecede | ChildOf | ParentOf | |
|---|---|---|---|---|---|---|---|---|---|
| TransE [22] | 0.682 | 0.668 | 0.194 | 0.820 | 0.827 | 0.692 | 0.811 | 0.706 | 0.725 |
| DistMult [33] | 0.693 | 0.683 | 0.638 | 0.781 | 0.802 | 0.634 | 0.730 | 0.606 | 0.647 |
| ComplEx [34] | 0.694 | 0.683 | 0.553 | 0.777 | 0.794 | 0.734 | 0.827 | 0.752 | 0.784 |
| HAKE [30] | 0.689 | 0.679 | 0.655 | 0.810 | 0.821 | 0.742 | 0.848 | 0.753 | 0.778 |
| Rot-Pro [53] | 0.697 | 0.681 | 0.624 | 0.822 | 0.835 | 0.744 | 0.860 | 0.750 | 0.775 |
| HousE [31] | 0.699 | 0.688 | 0.614 | 0.822 | 0.832 | 0.746 | 0.856 | 0.754 | 0.780 |
| CSEA | 0.721 | 0.713 | 0.646 | 0.819 | 0.830 | 0.739 | 0.850 | 0.751 | 0.773 |
Publisher’s Note: MDPI stays neutral with regard to jurisdictional claims in published maps and institutional affiliations. |
© 2022 by the authors. Licensee MDPI, Basel, Switzerland. This article is an open access article distributed under the terms and conditions of the Creative Commons Attribution (CC BY) license (https://creativecommons.org/licenses/by/4.0/).
Share and Cite
Wang, P.; Liu, J.; Hou, D.; Zhou, S. A Cybersecurity Knowledge Graph Completion Method Based on Ensemble Learning and Adversarial Training. Appl. Sci. 2022, 12, 12947. https://doi.org/10.3390/app122412947
Wang P, Liu J, Hou D, Zhou S. A Cybersecurity Knowledge Graph Completion Method Based on Ensemble Learning and Adversarial Training. Applied Sciences. 2022; 12(24):12947. https://doi.org/10.3390/app122412947
Chicago/Turabian StyleWang, Peng, Jingju Liu, Dongdong Hou, and Shicheng Zhou. 2022. "A Cybersecurity Knowledge Graph Completion Method Based on Ensemble Learning and Adversarial Training" Applied Sciences 12, no. 24: 12947. https://doi.org/10.3390/app122412947
APA StyleWang, P., Liu, J., Hou, D., & Zhou, S. (2022). A Cybersecurity Knowledge Graph Completion Method Based on Ensemble Learning and Adversarial Training. Applied Sciences, 12(24), 12947. https://doi.org/10.3390/app122412947




