Elastoplastic Analysis of Plates with Radial Point Interpolation Meshless Methods
Abstract
1. Introduction
2. Meshless Methods
2.1. The Radial Point Interpolation Method
2.2. Discrete System of Equations
3. Elastoplastic Analysis
- a yield criterion, indicating the stress level at which plastic flow initiates, and an initial yield surface, defining the elastic limit in a multiaxial stress state;
- a hardening law, describing the evolution of the subsequent yield surfaces; and
- a flow rule, relating the plastic deformation to the current stresses in the material and the stress increments outside the yield surface.
3.1. Elastoplastic Constitutive Model
3.2. Stress-Returning Algorithm
3.3. Nonlinear Solution Algorithm
- 1.
- Set the incremental load, .
- 2.
- Loop over all integration points, .
- 3.
- Assemble the global tangent stiffness matrix: .
- 4.
- Solve .
- 5.
- Update the displacement field: .
- 6.
- Loop over all integration points, .
- (a)
- Evaluate the strain increment: .
- (b)
- Considering the elastic constitutive matrix, Equation (46), obtain the incremental stress state: .
- (c)
- Calculate the trial stress state: .
- (d)
- Verify if: . If so, . Otherwise, the algorithm presented in Section 3.2 is applied, which will lead to .
- (e)
- Update the stress field: .
- 7.
- Calculate the residual force vector: .
- 8.
- Apply a residual force convergence criteria: .
- (a)
- if , being a small threshold value (such as ), then, the process moves to point 2, initialising a new increment: , and assuming a new force increment: .
- (b)
- If , then the iterative process begins, attempting to achieve . Thus, the process moves to point 2, initialising iteration j, assuming a new force increment: .
4. Numerical Results
4.1. Normalized Central Displacement
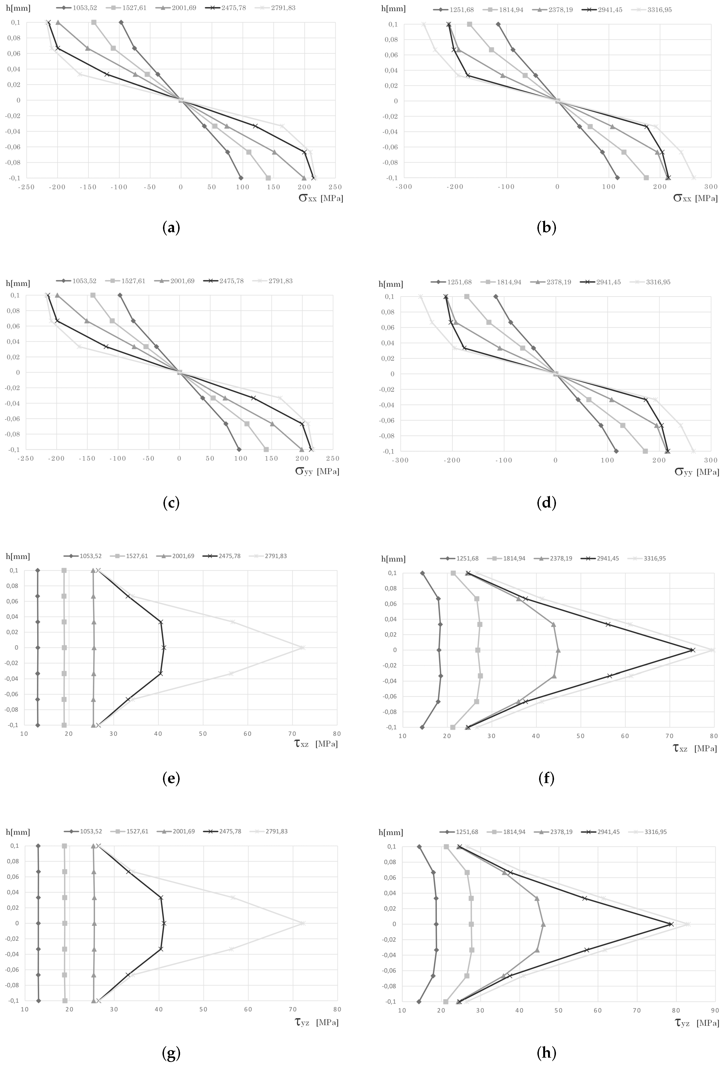
4.2. Stress Diagrams through the Plate’s Thickness
4.3. Effective Stress Maps
5. Conclusions
Author Contributions
Funding
Institutional Review Board Statement
Informed Consent Statement
Conflicts of Interest
References
- Belinha, J. Meshless Methods in Biomechanics; Springer International Publishing: Cham, Switzerland, 2014. [Google Scholar]
- Belytschko, T.; Krongauz, Y.; Organ, D.; Fleming, M.; Krysl, P. Meshless methods: An overview and recent developments. Comput. Methods Appl. Mech. Eng. 1996, 139, 3–47. [Google Scholar] [CrossRef]
- Gu, Y. Meshfree methods and their comparisons. Int. J. Comput. Methods 2005, 2, 477–515. [Google Scholar] [CrossRef]
- Nguyen, V.P.; Rabczuk, T.; Bordas, S.; Duflot, M. Meshless methods: A review and computer implementation aspects. Math. Comput. Simul. 2008, 79, 763–813. [Google Scholar] [CrossRef]
- Gingold, R.A.; Monaghan, J.J. Smoothed particle hydrodynamics: Theory and application to non-spherical stars. Mon. Not. R. Astron. Soc. 1977, 181, 375–389. [Google Scholar] [CrossRef]
- Libersky, L.D.; Petschek, A.G. Smooth particle hydrodynamics with strength of materials. In Advances in the Free-Lagrange Method Including Contributions on Adaptive Gridding and the Smooth Particle Hydrodynamics Method; Springer: Berlin/Heidelberg, Germany, 1991; pp. 248–257. [Google Scholar]
- Gharehdash, S.; Barzegar, M.; Palymskiy, I.B.; Fomin, P.A. Blast induced fracture modelling using smoothed particle hydrodynamics. Int. J. Impact Eng. 2020, 135, 103235. [Google Scholar] [CrossRef]
- Nayroles, B.; Touzot, G.; Villon, P. Generalizing the finite element method: Diffuse approximation and diffuse elements. Computat. Mech. 1992, 10, 307–318. [Google Scholar] [CrossRef]
- Belytschko, T.; Lu, Y.Y.; Gu, L. Element-free Galerkin methods. Int. J. Numer. Methods Eng. 1994, 37, 229–256. [Google Scholar] [CrossRef]
- Liu, W.K.; Jun, S.; Zhang, Y.F. Reproducing kernel particle methods. Int. J. Numer. Methods Fluids 1995, 20, 1081–1106. [Google Scholar] [CrossRef]
- Atluri, S.N.; Zhu, T. A new meshless local Petrov-Galerkin (MLPG) approach in computational mechanics. Comput. Mech. 1998, 22, 117–127. [Google Scholar] [CrossRef]
- Hu, W.; Gu, Y.; Zhang, C.; He, X. The generalized finite difference method for an inverse boundary value problem in three-dimensional thermo-elasticity. Adv. Eng. Softw. 2019, 131, 1–11. [Google Scholar] [CrossRef]
- Xing, Y.; Song, L.; Fan, C.M. A generalized finite difference method for solving elasticity interface problems. Eng. Anal. Bound. Elem. 2021, 128, 105–117. [Google Scholar] [CrossRef]
- Noorizadegan, A.; Young, D.L.; Chen, C.S. A novel local radial basis function collocation method for multi-dimensional piezoelectric problems. J. Intell. Mater. Syst. Struct. 2022, 33, 1574–1587. [Google Scholar] [CrossRef]
- Chiang, Y.; Young, D.; Sladek, J.; Sladek, V. Local radial basis function collocation method for bending analyses of quasicrystal plates. Appl. Math. Model. 2017, 50, 463–483. [Google Scholar] [CrossRef]
- Solyaev, Y.O.; Lurie, S.A. Trefftz collocation method for two-dimensional strain gradient elasticity. Int. J. Numer. Methods Eng. 2021, 122, 823–839. [Google Scholar] [CrossRef]
- Wang, G.; Dong, L.; Atluri, S.N. A Trefftz collocation method (TCM) for three-dimensional linear elasticity by using the Papkovich-Neuber solutions with cylindrical harmonics. Eng. Anal. Bound. Elem. 2018, 88, 93–103. [Google Scholar] [CrossRef]
- Sukumar, N.; Moran, B.; Belytschko, T. The natural element method in solid mechanics. Int. J. Numer. Methods Eng. 1998, 43, 839–887. [Google Scholar] [CrossRef]
- Liu, G.R.; Gu, Y. A point interpolation method for two-dimensional solids. Int. J. Numer. Methods Eng. 2001, 50, 937–951. [Google Scholar] [CrossRef]
- Wang, J.; Liu, G. A point interpolation meshless method based on radial basis functions. Int. J. Numer. Methods Eng. 2002, 54, 1623–1648. [Google Scholar] [CrossRef]
- Dinis, L.; Jorge, R.N.; Belinha, J. Analysis of 3D solids using the natural neighbour radial point interpolation method. Comput. Methods Appl. Mech. Eng. 2007, 196, 2009–2028. [Google Scholar] [CrossRef]
- Barry, W.; Saigal, S. A three-dimensional element-free Galerkin elastic and elastoplastic formulation. Int. J. Numer. Methods Eng. 1999, 46, 671–693. [Google Scholar] [CrossRef]
- Hinton, E.; Owen, D.R.J. Finite Elements in Plasticity: Theory and Practice; Pineridge Press: Swansea, Wales, 2017. [Google Scholar]
- Belinha, J.; Dinis, L. Análise elasto-plástica de problemas anisotrópicos considerando o método livre de elementos de Galerkin. Rev. Int. Métodos Numéricos Cálculo Diseño Ing. 2006, 22, 87–117. [Google Scholar]
- Belinha, J.; Dinis, L. Analysis of Plates and Laminates using the Element Free Galerkin Method. Comput. Struct. 2006, 84, 1547–1559. [Google Scholar] [CrossRef]
- Belinha, J.; Dinis, L. Elasto-plastic analysis of plates by the element free Galerkin method. Eng. Comput. 2006, 23, 525–551. [Google Scholar] [CrossRef]
- Cheng, Y.; Bai, F.; Peng, M. A novel interpolating element-free Galerkin (IEFG) method for two-dimensional elastoplasticity. Appl. Math. Model. 2014, 38, 5187–5197. [Google Scholar] [CrossRef]
- Dinis, L.; Jorge, R.N.; Belinha, J. The Natural Neighbour Radial Point Interpolation Meshless Method Applied to the Non-Linear Analysis. AIP Conf. Proc. 2011, 1353, 1175–1178. [Google Scholar]
- Zhang, G.; Li, Y.; Gao, X.; Hui, D.; Wang, S.; Zong, Z. Smoothed Point Interpolation Method for Elastoplastic Analysis. Int. J. Computat. Methods 2015, 12, 1540013. [Google Scholar] [CrossRef]
- Farahani, B.V.; Belinha, J.; Amaral, R.; Tavares, P.J.; Moreira, P.M. Extending radial point interpolating meshless methods to the elastoplastic analysis of aluminium alloys. Eng. Anal. Bound. Elem. 2019, 100, 101–117. [Google Scholar] [CrossRef]
- Voronoi, G. Nouvelles Applications des Paramètres Continus à la Théorie des Formes Quadratiques. Deuxième Mémoire. Recherches sur les Parallélloèdres Primitifs. J. Reine Angew. Math. 1908, 134, 198–287. [Google Scholar] [CrossRef]
- Liu, G.; Zhang, G.; Gu, Y.; Wang, Y. A meshfree radial point interpolation method (RPIM) for three-dimensional solids. Comput. Mech. 2005, 36, 421–430. [Google Scholar] [CrossRef]
- Hardy, R.L. Theory and applications of the multiquadric-biharmonic method 20 years of discovery 1968–1988. Comput. Math. Appl. 1990, 19, 163–208. [Google Scholar] [CrossRef]
- Rodrigues, D.; Belinha, J.; Jorge, R. The elastoplastic analysis of 3D-printed thermoplastics using the NNRPIM and a modified hill yield criterion. Proc. Inst. Mech. Eng. Part L J. Mater. Des. Appl. 2021, 235, 1368–1381. [Google Scholar] [CrossRef]
- Rodrigues, D.; Belinha, J.; Jorge, R.N.; Dinis, L. Numerical simulation of compression and tensile tests on thermoplastics: A meshless approach. Proc. Inst. Mech. Eng. Part L J. Mater. Des. Appl. 2019, 233, 286–306. [Google Scholar] [CrossRef]
- Ochsner, A. Elastoplasticity of Frame Structure Elements; Springer: Berlin/Heidelberg, Germany, 2016. [Google Scholar]














Publisher’s Note: MDPI stays neutral with regard to jurisdictional claims in published maps and institutional affiliations. |
© 2022 by the authors. Licensee MDPI, Basel, Switzerland. This article is an open access article distributed under the terms and conditions of the Creative Commons Attribution (CC BY) license (https://creativecommons.org/licenses/by/4.0/).
Share and Cite
Belinha, J.; Aires, M. Elastoplastic Analysis of Plates with Radial Point Interpolation Meshless Methods. Appl. Sci. 2022, 12, 12842. https://doi.org/10.3390/app122412842
Belinha J, Aires M. Elastoplastic Analysis of Plates with Radial Point Interpolation Meshless Methods. Applied Sciences. 2022; 12(24):12842. https://doi.org/10.3390/app122412842
Chicago/Turabian StyleBelinha, Jorge, and Miguel Aires. 2022. "Elastoplastic Analysis of Plates with Radial Point Interpolation Meshless Methods" Applied Sciences 12, no. 24: 12842. https://doi.org/10.3390/app122412842
APA StyleBelinha, J., & Aires, M. (2022). Elastoplastic Analysis of Plates with Radial Point Interpolation Meshless Methods. Applied Sciences, 12(24), 12842. https://doi.org/10.3390/app122412842

